兼顾公平与效率?北大NeurIPS 19论文提出多智能体强化学习方法FEN

2019 年 10 月 11 日 机器之心

机器之心报道

机器之心编辑部

近日,北京大学卢宗青团队提出了一种新的多智能体强化学习方法 Fair-Efficient Network(FEN,「分」),用于多个智能体学习提升系统效率并同时保持公平。这一新方法对任务调度、马太效应和工厂生产等实际情景具有重要意义,该论文已被人工智能顶会 NeurIPS 2019 录用。
公平有助于人类社会的稳定和生产力的提高,同样对于多智能体系统也十分重要。 然而让一组智能体学习提升系统效率并同时保持公平是一个复杂的、多目标的、联合策略优化问题。 目前主流的多智能体强化学习算法没有考虑公平性的问题,一些针对特定情景公平性的方法又依赖专家知识,这对于一般性情景并不适用。


作者提出一种分层多智能体强化学习方法 Fair-Efficient Network(FEN,「分」),从三个方面解决这一问题:


  • 提出 fair-efficient reward,用于学习效率与公平。

  • 提出一种 hierarchy 架构,降低学习难度。

  • 提出 FEN 的分布式训练方法。



论文链接: https://z0ngqing.github.io/publication/nips19/

在作者的设定中,环境中存在若干智能体和有限的资源,如内存、带宽等。 每个智能体获得的环境外部奖励只与自己所占据的资源相关。 每个智能体的效用 u 定义为在时间域上的平均奖励,使用 coefficient of variation 来衡量系统公平性。


Fair-efficient reward


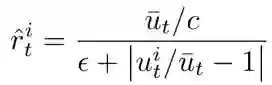
每个智能体的 fair-efficient reward 设计为:



其中分子项表示系统的平均效用,用来促进效率,分母项表示该智能体效用偏离平均值的偏差。 因此 fair-efficient reward 兼顾了公平与效率。 另外,作者证明了在强化学习设定下,若每个智能体使自己的 fair-efficient reward 最大化,可以实现帕累托最优和资源的平均分配。


Hierarchy


然而学习 fair-efficient reward 依然是困难的,因为效率与公平在某些状态下是冲突的,因此作者提出一种 hierarchy 架构,用于降低学习难度。


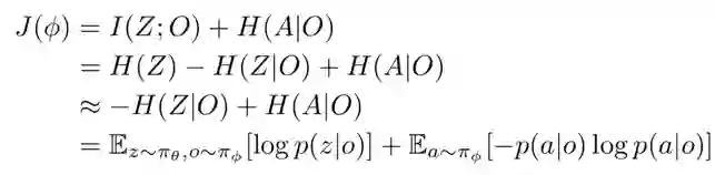
每个智能体拥有一个 hierarchy 结构,包含一个 controller 和若干 sub-policies。 每经过 T 时间步,controller 选择一个 sub-policy 与环境交互,并获得 fair-efficient reward。 1 号 sub-policy 获得环境外部奖励,专注于学习如何占据资源。 而对于其他 sub-policies 来说,作者提出一种信息论优化目标,用于探索多样的公平行为。 目标包括两项,第一项是 sub-policy 的序号与 sub-policy 下观察的互信息,第二项是动作的熵正则。



对于 controller 来说,避免了与环境的直接交互,能够实现长远规划; 对于 sub-policy 来说,只需要专注于自己易于优化的目标,降低了学习难度。


Hierarchy 架构


实验


作者在三个情景中进行了实验



  • Job Scheduling 环境中存在 4 个智能体和 1 个资源,智能体占据资源会获得奖励,资源在同一时刻只能被一个智能体占据。

  • The Matthew Effect 环境中存在 10 个 Pac-men 和若干 ghosts。Pac-man 吃掉 ghost 会获得奖励,并且体积和速度变大,更容易吃其他 ghost,因此强者越强。

  • Manufacturing Plant 环境中存在 5 个智能体和不同种类的矿石,每个智能体采集不同的矿石来生产不同的零件,最终的产量取决于数目最少的零件。


在实验中,相比其他的 baselines,FEN 取得了接近最高的资源利用率和最低的 CV,并且在第三个实验中取得了最高的产量,这说明 FEN 智能体学会了兼顾效率与公平。


Job Scheduling


Manufacturing Plant


对比使用或者不使用 hierarchy 结构的 FEN,发现使用了 hierarchy 以后学习速度更快且收敛到更高的 fair-efficient reward,证明 hierarchy 能够显著降低学习难度。



随后作者分析了 controller 的行为模式,发现当智能体效用低于平均效用时,controller 倾向于选择 1 号 sub-policy 来占据更多资源,否则倾向于选择其他 sub-policy 来保持公平。 这说明 controller 能够理智地切换策略使 fair-efficient reward 最大化。



为了分析除去 1 号之外其他 sub-policies 的行为,作者将三个 ghosts 置于环境中央,可视化三个 sub-policies 的分布(左)和随机策略的分布(右),可以发现:


  • Sub-policies 能够远离三个 ghosts 来保持公平。

  • 三个 sub-policies 分布互不相同,达到了信息论目标的预期。



下面是在实验 Job Scheduling 中,「分」智能体(上)和独立决策智能体(下)的行为可视化比较。
 




文为机器之心报道,转载请联系本公众号获得授权
✄------------------------------------------------
加入机器之心(全职记者 / 实习生):[email protected]
投稿或寻求报道:content@jiqizhixin.com
广告 & 商务合作:[email protected]
登录查看更多
0

相关内容

多智能体深度强化学习的若干关键科学问题
专知会员服务
195+阅读 · 2020年5月24日
可解释强化学习,Explainable Reinforcement Learning: A Survey
专知会员服务
132+阅读 · 2020年5月14日
【Uber AI新论文】持续元学习,Learning to Continually Learn
专知会员服务
37+阅读 · 2020年2月27日
专知会员服务
214+阅读 · 2019年8月30日
RL 真经
CreateAMind
6+阅读 · 2018年12月28日
强化学习十大原则
专知
12+阅读 · 2018年9月17日
【ICML2018】63篇强化学习论文全解读
专知
7+阅读 · 2018年7月24日
【学界】伯克利吴翼&FAIR田渊栋等人提出强化学习环境Hourse3D
GAN生成式对抗网络
5+阅读 · 2018年1月13日
【强化学习】强化学习+深度学习=人工智能
产业智能官
55+阅读 · 2017年8月11日
Meta-Learning with Implicit Gradients
Arxiv
13+阅读 · 2019年9月10日
Arxiv
7+阅读 · 2018年9月27日
Hierarchical Deep Multiagent Reinforcement Learning
Arxiv
8+阅读 · 2018年9月25日
Multi-task Deep Reinforcement Learning with PopArt
Arxiv
4+阅读 · 2018年9月12日
Paraphrase Generation with Deep Reinforcement Learning
Arxiv
19+阅读 · 2018年3月28日
VIP会员
最新内容
内省扩散语言模型
专知会员服务
1+阅读 · 今天14:42
国外反无人机系统与技术动态
专知会员服务
2+阅读 · 今天12:48
大规模作战行动中的战术作战评估(研究论文)
专知会员服务
3+阅读 · 今天12:21
未来的海战无人自主系统
专知会员服务
2+阅读 · 今天12:05
美军多域作战现状分析:战略、概念还是幻想?
专知会员服务
4+阅读 · 今天11:52
无人机与反无人机系统(书籍)
专知会员服务
16+阅读 · 今天6:45
美陆军2026条令:安全与机动支援
专知会员服务
6+阅读 · 今天5:49
相关资讯
RL 真经
CreateAMind
6+阅读 · 2018年12月28日
强化学习十大原则
专知
12+阅读 · 2018年9月17日
【ICML2018】63篇强化学习论文全解读
专知
7+阅读 · 2018年7月24日
【学界】伯克利吴翼&FAIR田渊栋等人提出强化学习环境Hourse3D
GAN生成式对抗网络
5+阅读 · 2018年1月13日
【强化学习】强化学习+深度学习=人工智能
产业智能官
55+阅读 · 2017年8月11日
相关论文
Meta-Learning with Implicit Gradients
Arxiv
13+阅读 · 2019年9月10日
Arxiv
7+阅读 · 2018年9月27日
Hierarchical Deep Multiagent Reinforcement Learning
Arxiv
8+阅读 · 2018年9月25日
Multi-task Deep Reinforcement Learning with PopArt
Arxiv
4+阅读 · 2018年9月12日
Paraphrase Generation with Deep Reinforcement Learning
Arxiv
19+阅读 · 2018年3月28日
Top
微信扫码咨询专知VIP会员