没有好的实验数据也能发顶刊论文吗?

2019 年 6 月 16 日 材料科学与工程
点击上方「材料科学与工程」快速关注
材料类综合、全面、专业的微信平台


相信广大的材料化学科研工作者的主要工作精力都放在了实验上,好的实验结果当然是一篇优秀文章的保障。但很多时候花了很大力气依然得不到理想的数据,亦或是对于得到的数据不知道如何分析和解释。


那么大家有没有想过,如果没有理想的实验数据如何提升自己文章的档次呢?

下面我们来看一篇最近发表在高影响因子期刊 Energy Environmental Science上的一篇论文(Energy Environ. Sci., 2019, 12, 1668.),这篇研究了银催化剂对二氧化碳的选择性电催化还原,但是文章全篇没有一个实验数据,所有的数据和结论都是通过COMSOL模拟得到,依然能够发表在高影响因子期刊上。





具有反蛋白石结构的介孔结构的银催化剂在选择性的将二氧化碳转化为燃料方面显示出了潜在的应用价值。如何通过优化银催化剂的形貌和结构来最大化生成一氧化碳的选择性是一个挑战性的课题。


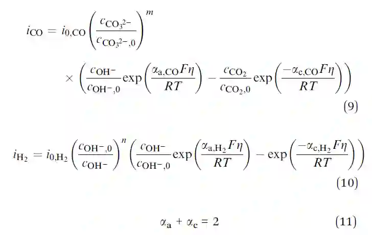
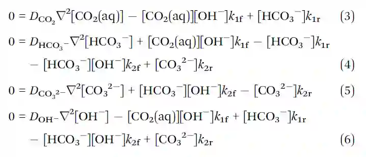
这篇文章的作者通过COMSOL建模开发了一个三维质量输运模型,利用准确的电极几何计算局部的CO2,OH-,HCO3和CO32-浓度分布。建模基于Butler-Volmer相关性的局部表面催化反应动力学方程,并且考虑缓冲反应在电解质率中的作用。与文献实验数据验证,该模型预测了抑制析氢反应的逆依赖氢氧根浓度关系和促进CO生产的反应与碳酸盐浓度成比例。并且文章在理论上证明了引入一个额外的扩散层的银电极可以将CO的选择性从39% 提高到90%。

 

文章中全面的考虑了溶液中涉及到的化学反应,和电极表面的电化学反应




这些反应对应着相应的扩散反应方程和电极表面的动力学方程



 

不要看以上方程形式复杂,但其实在使用COMSOL建模的时候,以上方程在软件中全部是内置好的,并不需要我们自己推导!


以下是COMSOL中的软件界面,我们可以看到有内置的边界条件可以方便地实现上述方程的功能! 


而我们需要做的就是将化学反应的一些参数输入到软件中。


最后软件能直接计算出各种化学物质的浓度分布。在经过一些后处理就是可以放在文章中的数据图了!


下面就是这面文章同COMSOL计算得到的

部分数据图



所以说学会使用COMSOL能极大地帮助我们分析相关的问题,并能为文章提供许多支持的理论计算数据。其实除了电化学方向,COMSOL仿真模拟在很多科研领域都有重要应用!

它是一款功能强大的通用多物理场仿真软件,用于仿真模拟工程、科学研究、数值计算等各个领域的设计、设备及过程

COMSOL 的功能非常齐全,其功能涵盖了力学、流体、电磁、传热、化工、电化学、声学等各个领域。能够满足不同研究领域科研人员的需求

对于不同的物理问题,其软件界面操作和建模方式是完全相同的,大大降低了使用者的学习成本


为了让更多科研人员能够迅速且科学地掌握这一前沿高效的数据分析软件,北京中科幻彩动漫科技有限公司举办主题为“科研模拟•学术仿真”的文章档次提升

专题培训!!!


科研模拟·学术仿真专题培训会


2019年07月6-7日     北京·中科院过程所

2019年07月13-14日 上海·复旦大学

2019年08月24-25日 北京·中科院过程所

2019年08月31-09月1日 上海·复旦大学



1

课程概要


提高文章中稿率、冲高影响因子的关键,在于数据的说服力是否足够强大。实验结果不理想,数据不够完美,论文内容缺乏支撑,这些问题有限元仿真模拟都可以轻松解决。帮助文章轻轻松松更上一区,让你的实验结果从此告别“差强人意”,高影响因子不是梦!


在当今的高档次科研论文中我们能够见到许多工作都使用到了仿真模拟来阐述科学问题。一直以来仿真模拟就是一项重要的科研技能,在许多物理和工程类学科(力学,光学,流体力学,电磁学,声学,化工)中发挥着不可替代的作用。许多科研工作的理论分析,结构设计和优化都依靠仿真模拟来完成。近年来随着交叉学科的发展,仿真模拟的需求也不限于上述的学科,在新兴的材料科学,能源科学,生命科学的研究工作中也越来越多的应用到仿真模拟这一工具。另一方面随着友好易用的商用仿真模拟软件COMSOL的出现,仿真模拟不再是一项需要深厚理论基础的高门槛技术。通过COMSOL软件的使用,越来越多的科研工作者可以利用仿真模拟帮助自己的研究工作。


本课程专门针对科研学术领域,为学员提供仿真模拟软件COMSOL Multiphysics 软件使用的全面详细讲解。课程从入门级内容开始,循序渐进地讲解数值仿真中的模型分析方法,以及建模操作流程(其中包括创建几何、网格剖分、设定物理场、求解及结果的后处理等),让学员全面掌握整个建模流程,并能够独立地使用 COMSOL 求解相关仿真问题。有无基础的学员均可参加培训,我们将根据学员的专业背景和软件基础量身定制课程内容。


2

课程内容


1.入门有限元仿真模拟


有限元方法的基本内涵,仿真模拟基本理论的讲解,以及该方法在科学研究中的广泛应用领域和重要意义,能够帮助科研人员解决的实际问题,不同仿真模拟软件(COMSOL ANSYS Abaqus)的特点和在科研上运用的优缺点比较;

COMSOL 软件介绍及基本操作演示和教学,包括软件界面学习、创建和导入几何模型、物理场设置、网格剖分与求解和结果后处理等。


2.有限元模拟的一般思路和通用方法


理解线性和非线性有限元法的理论基础,了解COMSOL 多物理场仿真软件的基本知识,以典型的多物理场模拟为入门教学案例,帮助学员迅速入门并掌握有限元分析方法的基本思路,并能够灵活应用于自己的研究领域。


3.COMSOL软件的高级使用技巧


结合大量科研实际案例进行实践操作过程的演示教学,包括几何建模注意事项,优化网格划分的方法与技巧,结果后处理与复杂图表的绘制方法,多物理场耦合的方法与技巧,通过函数、变量与自定义方程的使用模拟复杂的问题等,深入学习COMSOL软件的高级操作技巧,并结合学员科研背景进行案例演示,进一步挖掘实操中的常用技巧。


4.多物理场仿真建模的高效技术解决方案


结合实例学习多物理场仿真有限元法的数学理论基础,多物理场耦合的分析方法和注意事项,添加方程式及耦合分析;求解时域,频域和特征值问题;移动网格和自适应网格方法,查找,理解和排除建模中的错误,用户工作效率最大化的有效建模,仿真模拟在科研中的实战演练,结合学员背景与最新顶级期刊案例进行仿真模拟实战训练,进一步深入学习COMSOL软件的指导与建议,针对科研工作中的问题和老师当面交流,理清思路,解决模拟困难。


3

部分教学案例展示


几何建模注意事项


优化网格划分的方法与技巧


结果后处理与复杂图表绘制


多物理场耦合的方法与技巧


通过函数、变量与自定义方程

的使用模拟复杂问题


纳米摩擦发电机仿真模拟


微流体物质混合模拟


金属光栅衍射


4

课程试听


https://v.qq.com/x/page/v0862en0zbb.html


5

学员作品



6

模拟案例


 更多案例:http://www.zhongkehuancai.com


讲师简介


Dr. Li

中科幻彩仿真模拟事业部技术总监

中国科学院博士

美国加州大学洛杉矶分校博士后


全国物理奥林匹克竞赛金牌

美国数学建模大赛一等奖(Final Winner)

以第一作者身份著述的多篇论文在众多顶级杂志发表:

《Nature Communications》

《Science Advances》

《Advanced Materials》

《JACS》

  ……

8年化学/材料/物理/工程/生物仿真模拟经验

100+通过模拟显著提升文章档次的案例


凡报名培训的学员将免费获赠COMSOL高级建模指导资料,科研常用有限元模拟案例模型文件及各学科领域计算公式资料文件,课后学员交流群持续讨论学习/专业讲师答疑指导

学员群课后交流 讲师随时解答


7

课程特色


★特色一:COMSOL可以更好地服务于科研群体。我们课程将从科研实例出发,帮助学员掌握各种技巧和套路,轻松玩转有限元模拟软件。

★特色二:讲师总结八年有限元模拟经验,带领学员快速入门,学会如何从实际问题中提炼出物理模型,建立物理建模思维,掌握仿真模拟的一般方法和通用思路。

★特色三:将化学、物理、生物、材料等领域中典型模型作为实战案例,同时根据学员专业背景进行素材整理,量身定制课程内容,将学以致用发挥到极致。

★特色四:建立专属学员微信群,课前专业助教协助安装软件下载素材包,课后讲师长期群内随时答疑,不定期推送模拟技能提升小视频,帮助学员轻松应对仿真模拟中的常见难题。

★特色五:我们承诺:学员一次报名,终身免费复学。无需担忧学不会、学不精,只要你愿意学,幻彩保证奉陪到底。


8

往期现场


9

报名通道


时间地点

2019年7月6~7日 北京·中科院过程所

2019年7月13-14日 上海·复旦大学

2019年8月24~25日 北京·中科院过程所

2019年08月31-09月1日 上海·复旦大学


注册费用

原价:2990元/人

团报价:2790元/人(3人及以上)

报名咨询:17611790910(毛老师)


备注:如有专场培训需求,可安排讲师赴贵单位开展专场培训,专场培训价格更优

提供正规发票(包括会议注册表、邀请函等报销材料)、费用包含两日午餐,住宿及其他费用自理


10

报名方式

扫描下方二维码在线填写报名表,工作人员会在收到报名信息的第一时间电话联系确认相关信息


11

缴费方式


1.银行转账汇款(由中科卓研代收)

开户行:北京银行中关村海淀园支行

收款单位:北京中科卓研科技有限公司

银行账号:20000032746600012611147

备注:姓名+单位+场次


2.支付宝转账

企业支付宝账户:[email protected]

请核对户名:北京中科卓研科技有限公司


3.现场刷卡/现金

培训当天可刷公务卡或现金或微信支付,请扫码填写报名信息以便我们提前为您准备发票等报销手续

 

12

常见问题


Q:有限元仿真模拟对我的论文有怎样的帮助,真的能提高文章档次吗?

A:对于一部分的研究领域,例如人工超材料,理论上的模拟计算可以说是必不可少的。而对于更多的研究领域,模拟计算可以作为实验的补充,能进一步验证实验的结论,提高结论的说服力。理论模拟丰富了文章的内容,在工作量上也使文章更充实。另外模拟计算很多时候可以优化实验设计,提高实验效率。

 

Q:我是零基础学员,两天的时间也能学会吗?

A:我们的培训就是针对零基础学员的。我们的课程一方面讲授模拟软件的使用,更重要的是另一方面讲解科研中的理论建模的思维方法。如何把模拟加入自己的科研工作,提升文章的质量。


Q:什么专业方向都可以做有限元模拟吗?

A:有限元方法是一种一般性的数值计算的方法,用来求解各种偏微分方程,理论上只要是能用偏微分方程描述的物理化学过程都可以都用有限元方法求解。有限元不仅在各个物理学科和工程领域这些传统领域有广泛的应用,而且现在越来越多的运用到交叉学科的研究中,例如柔性传感器件,能源器件,生物工程,微流控等等几乎目前所有的热门研究领域。

 

Q:每场培训有多少学员呀?不会是那种人山人海的大课吧?

A:为保证教学质量,也为学员营造舒适的学习环境,我们每场培训都会将招生人数限制在30人以内,以保证良好的课堂秩序,同时安排助教协助学员进行软件安装、现场答疑、课堂辅助教学等。

 

Q:我是慢热型的学生,接受新知识慢,一次学不够怎么办?

A:老学员可以免费复听,一次报名终身免费复学,只要你学不够,我们就一直教下去~

 

Q:可以开具发票进行报销吗?

A:当然可以!我们将为学员开具正规发票,并可以根据学员报销需求提供培训邀请函、项目明细清单、会议注册表等材料,并在培训当天将发票和报销材料发放给学员。

 

Q:培训提供食宿吗?

A:我们为学员提供两日培训的午餐,住宿需要学员自费,我们会在报名确认邮件中发送周边酒店信息,方便学员选择和预定。老学员复听不再重复安排午餐和资料,带着身份证现场签到即可。



投稿、合作,点击此处

在看吗👇

登录查看更多
4

相关内容

[ICML-Google]先宽后窄:对深度薄网络的有效训练
专知会员服务
36+阅读 · 2020年7月5日
【ICML2020-浙江大学】对抗性互信息的文本生成
专知会员服务
44+阅读 · 2020年7月4日
【论文】结构GANs,Structured GANs,
专知会员服务
15+阅读 · 2020年1月16日
八篇NeurIPS 2019【图神经网络(GNN)】相关论文
专知会员服务
44+阅读 · 2020年1月10日
论文浅尝 | 重新实验评估知识图谱补全方法
开放知识图谱
28+阅读 · 2020年3月29日
论文浅尝 | 面向自动问题生成的跨语言训练
开放知识图谱
8+阅读 · 2019年9月6日
Nature 一周论文导读 | 2019 年 8 月 1 日
科研圈
8+阅读 · 2019年8月11日
目标检测实用中可以改进的方向
极市平台
11+阅读 · 2019年5月4日
《科学》(20190426出版)一周论文导读
科学网
5+阅读 · 2019年4月27日
注意力能提高模型可解释性?实验表明:并没有
黑龙江大学自然语言处理实验室
11+阅读 · 2019年4月16日
合集 | 更好的解释(数学篇) 1~12
遇见数学
31+阅读 · 2018年10月11日
这些论文绘图软件,你一个都不会用
算法与数学之美
8+阅读 · 2018年8月17日
吴恩达:AI论文已经够多了,赶紧“搞点事”吧!
全球人工智能
4+阅读 · 2017年11月15日
机器学习之确定最佳聚类数目的10种方法
炼数成金订阅号
13+阅读 · 2017年10月12日
Arxiv
19+阅读 · 2018年5月17日
Arxiv
3+阅读 · 2018年4月9日
VIP会员
最新内容
美国当前高超音速导弹发展概述
专知会员服务
1+阅读 · 今天15:03
《高超音速武器:一项再度兴起的技术》120页slides
无人机蜂群建模与仿真方法
专知会员服务
1+阅读 · 今天14:08
澳大利亚发布《国防战略(2026年)》
专知会员服务
0+阅读 · 今天13:42
【CMU博士论文】迈向基于基础先验的 4D 感知研究
专知会员服务
0+阅读 · 今天13:46
全球高超音速武器最新发展趋势
专知会员服务
1+阅读 · 今天13:17
相关资讯
论文浅尝 | 重新实验评估知识图谱补全方法
开放知识图谱
28+阅读 · 2020年3月29日
论文浅尝 | 面向自动问题生成的跨语言训练
开放知识图谱
8+阅读 · 2019年9月6日
Nature 一周论文导读 | 2019 年 8 月 1 日
科研圈
8+阅读 · 2019年8月11日
目标检测实用中可以改进的方向
极市平台
11+阅读 · 2019年5月4日
《科学》(20190426出版)一周论文导读
科学网
5+阅读 · 2019年4月27日
注意力能提高模型可解释性?实验表明:并没有
黑龙江大学自然语言处理实验室
11+阅读 · 2019年4月16日
合集 | 更好的解释(数学篇) 1~12
遇见数学
31+阅读 · 2018年10月11日
这些论文绘图软件,你一个都不会用
算法与数学之美
8+阅读 · 2018年8月17日
吴恩达:AI论文已经够多了,赶紧“搞点事”吧!
全球人工智能
4+阅读 · 2017年11月15日
机器学习之确定最佳聚类数目的10种方法
炼数成金订阅号
13+阅读 · 2017年10月12日
Top
微信扫码咨询专知VIP会员