学界 | Ian Goodfellow推特小课堂又开课啦:数学求导的小技巧

2018 年 5 月 17 日 大数据文摘 文摘菌

大数据文摘作品

作者:小鱼、蒋宝尚


最近,Ian Goodfellow不断在推特和大家分享一写学习的小技巧。在昨天和大家分享了推导机器学习公式推导的黑魔法后,今天又连发几条推特,和大家分享了数学中求导数的小技巧。


Goodfellow称,他最喜欢用超实数(hyperreal numbers)来求导数。


注:超实数是一个包含实数以及无穷大和无穷小的域,它们的绝对值分别大于和小于任何正实数。



以下是Ian Goodfellow推特内容:


对于这个技巧,我们介绍一种新的数字,称为无穷小超实数。假设我们有一个无穷小量ε,而且其取值范围是0<ε<x,其中x是指所有正实数。并假设我们可以用代数表示任意像ε这样的变量。


现在我们可以通过套用这个表达式:f'(x)= real_part(f(x + ε) - f(x)) / ε),使用代数方法来计算导数,其中“real_part”函数的功能是四舍五入某些表达式的无穷小量。



例如,x^2的导数为:((x + ε)^2 - x^2) / ε = (x^2 + 2*ε*x + ε^2 - x^2) / ε = 2 + ε。我们舍去无穷小量ε,而只保留2。


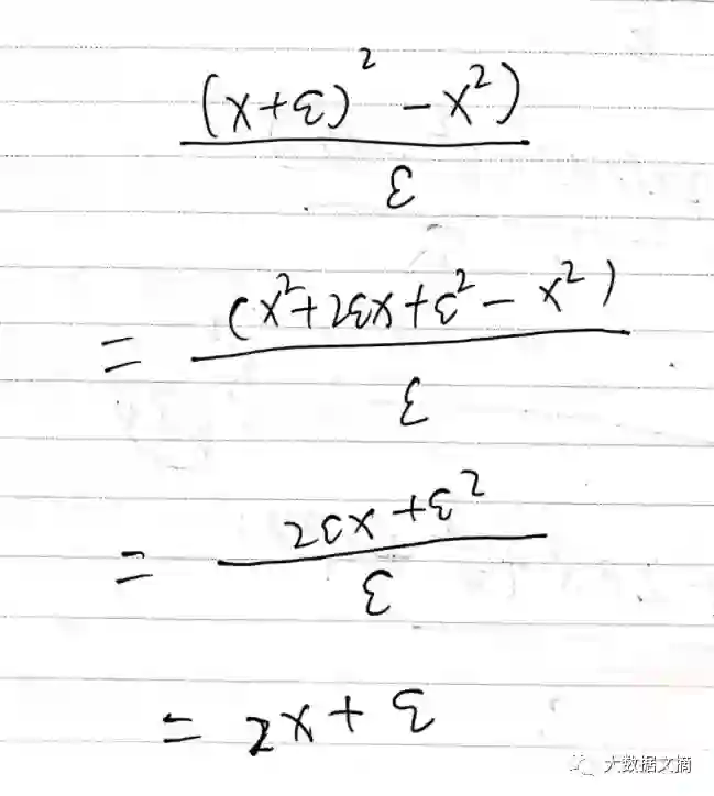
看到这里,趁着小编的高数还没有忘干净,就忍不住拿起笔来推导了一下x^2的导数:


字丑请忽略……


嗯……,结果怎么不一样呢?这不是最基本的求导公式嘛!


经过再三确认,原来是Goodfellow在结果中漏写了一个x,x^2的导数为:((x + ε)^2 - x^2) / ε = (x^2 + 2*ε*x + ε^2 - x^2) / ε = 2*x + ε。我们舍去无穷小量ε,而只保留2x。


看到这里,不少读者朋友会吐槽,这不是就高数里面求导法则的定义嘛!没错,让我们一起来温习一下高数:



可以说,Goodfellow的小技巧确实和求导法则的定义很相似,但是求导法则前面有一个很叫lim的东东,称当Δx→0时,极限存在。


要证明Δx→0时极限存在,那可就是一件数学上的很有讲究的事了,当然理解起来也并不容易。


那么Goodfellow的技巧高明在哪里?答案就是通过定义一个无穷小量来取代求极限这一步骤。


Goodfellow也称,用无穷小的超实数进行代数运算,就像一场骗局。但事实证明,当对实数有相同的规则时,那么代数的运算法则在逻辑上就是可行的。


超实数把牛顿和莱布尼茨在微积分早期发展过程中凭直觉感知到的知识更加具体化,但并没有严格的数学证明。超实数比极限的概念更接近无穷小域的本质。


也存在无穷大的超实数,即比任何实数都大的数,但Goodfellow并不认为其在机器学习研究中能够发挥很大的作用。


也可以用超实数计算积分,但在推导过程中我并没有发现超实数在计算积分方面具有很大的优势。


相关报道:

https://twitter.com/goodfellow_ian/status/996559213500424192


【今日机器学习概念】

Have a Great Definition

登录查看更多
1

相关内容

数学是关于数量、结构、变化等主题的探索。
【斯坦福】凸优化圣经- Convex Optimization (附730pdf下载)
专知会员服务
231+阅读 · 2020年6月5日
【纽约大学】最新《离散数学》笔记,451页pdf
专知会员服务
131+阅读 · 2020年5月26日
最新《机器学习理论初探》概述
专知会员服务
48+阅读 · 2020年5月19日
《深度学习》圣经花书的数学推导、原理与Python代码实现
强化学习和最优控制的《十个关键点》81页PPT汇总
专知会员服务
107+阅读 · 2020年3月2日
GAN最新进展:8大技巧提高稳定性
新智元
7+阅读 · 2019年2月12日
博客 | MIT—线性代数(下)
AI研习社
6+阅读 · 2018年12月20日
机器之心最干的文章:机器学习中的矩阵、向量求导
深度学习世界
12+阅读 · 2018年2月7日
【原理】学懂GAN的数学原理,让它不再神秘
GAN生成式对抗网络
3+阅读 · 2017年11月26日
GAN的数学原理
算法与数学之美
16+阅读 · 2017年9月2日
【原理】GAN的数学原理
GAN生成式对抗网络
8+阅读 · 2017年8月30日
A General and Adaptive Robust Loss Function
Arxiv
8+阅读 · 2018年11月5日
Arxiv
3+阅读 · 2018年10月25日
Arxiv
19+阅读 · 2018年6月27日
Arxiv
4+阅读 · 2018年6月1日
Arxiv
4+阅读 · 2018年4月9日
Arxiv
4+阅读 · 2018年3月23日
VIP会员
最新内容
《美陆军条例:陆军指挥政策(2026版)》
专知会员服务
3+阅读 · 今天8:10
《军用自主人工智能系统的治理与安全》
专知会员服务
3+阅读 · 今天8:02
《系统簇式多域作战规划范畴论框架》
专知会员服务
7+阅读 · 4月20日
高效视频扩散模型:进展与挑战
专知会员服务
3+阅读 · 4月20日
乌克兰前线的五项创新
专知会员服务
7+阅读 · 4月20日
 军事通信系统与设备的技术演进综述
专知会员服务
6+阅读 · 4月20日
《北约标准:医疗评估手册》174页
专知会员服务
5+阅读 · 4月20日
相关VIP内容
相关资讯
GAN最新进展:8大技巧提高稳定性
新智元
7+阅读 · 2019年2月12日
博客 | MIT—线性代数(下)
AI研习社
6+阅读 · 2018年12月20日
机器之心最干的文章:机器学习中的矩阵、向量求导
深度学习世界
12+阅读 · 2018年2月7日
【原理】学懂GAN的数学原理,让它不再神秘
GAN生成式对抗网络
3+阅读 · 2017年11月26日
GAN的数学原理
算法与数学之美
16+阅读 · 2017年9月2日
【原理】GAN的数学原理
GAN生成式对抗网络
8+阅读 · 2017年8月30日
Top
微信扫码咨询专知VIP会员