一文解析支持向量机(附公式)

2018 年 3 月 18 日 数据派THU

来源:机器学习算法与自然语言处理

本文图文结合,建议阅读7分钟

本文为你详细描述SVM产生的过程。


前言


众所周知 SVM 是非常强大的一种分类算法,有着媲美神经网络的分类效果,实现过程却简单得多。受限于我的能力,这篇文章不会系统地介绍 SVM(因为我并不是线性代数、凸优化等方面的专家),而是以一个学习者的角度描述 SVM 产生的过程,由于内容较长,计划分成三到四篇


一个好的分类是怎么样的


图中的两组数据,显然它们是线性可分(linear separable)的,图里给出的三条分界线都可以准确区分这两类数据,它们是不是一样好?如果不是,哪一条看起来更加合适?



直觉告诉我们是 a。相比之下,b 和 c 离个别点太近了,我们很难拍着胸脯说“这个点在分界线下面,所以绝对是 X",因为分界线稍微挪一挪就可以改变这些点的属性,我们想要的是一个相对自信的分界线,使靠近分界线的点与分界线的距离足够大,上图中的分界线 a 就符合我们的需求。




ps. 这里所说的分界线严格来说是 decision boundary,decision boundary 在二维空间是一条线,在三维空间是一个平面,更高维的空间里称作超平面,为了方便本文都用分界线来代表 decision boundary。


进入向量的世界


你或许已经注意到 SVM 的全称是 Support Vector Machine(支持向量机),在推导 SVM 公式过程中,我们几乎都是在和向量打交道。刚接触 SVM 的时候我对这个名字非常诧异,SVM 很强是没错,但是名字也太「随意」了吧?希望写完这篇文章以后我能理解为什么这种算法叫做支持向量机。


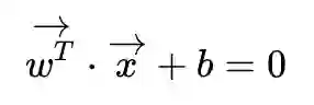
如果你之前没有接触过向量,建议花一个小时左右的时间熟悉一下向量的概念和基本性质。我们先把空间上的点用向量来表示(以原点为起点的向量):



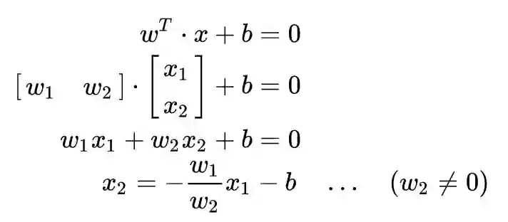
虽然写成了向量的形式,其实并没有什么大不了的,我们可以把它和初中时候学过的直线表达式联系起来:



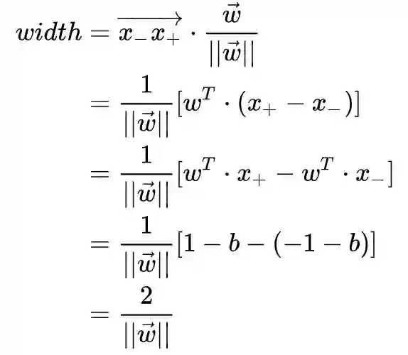
对于 SVM 来说仅仅这样是不够的,还记得吗我们要修一条路出来,我们得确保在一条足够宽的路里面没有数据点:



这样前面的式子就可以写成更为简洁的形式:



什么是支持向量






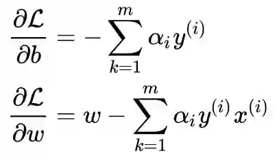
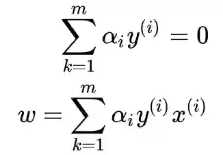
这是一个基于 KKT 条件的二次规划问题,优化原理的内容超出了这篇文章的范畴,在这里我们只要知道拉格朗日乘数法可以求得这个最优解,引入新的系数αi :



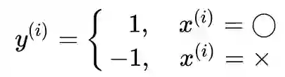
令以上两式为0,我们可以得到:


登录查看更多
1

相关内容

在机器学习中,支持向量机(SVM,也称为支持向量网络)是带有相关学习算法的监督学习模型,该算法分析用于分类和回归分析的数据。支持向量机(SVM)算法是一种流行的机器学习工具,可为分类和回归问题提供解决方案。给定一组训练示例,每个训练示例都标记为属于两个类别中的一个或另一个,则SVM训练算法会构建一个模型,该模型将新示例分配给一个类别或另一个类别,使其成为非概率二进制线性分类器(尽管方法存在诸如Platt缩放的问题,以便在概率分类设置中使用SVM)。SVM模型是将示例表示为空间中的点,并进行了映射,以使各个类别的示例被尽可能宽的明显间隙分开。然后,将新示例映射到相同的空间,并根据它们落入的间隙的侧面来预测属于一个类别。

知识荟萃

精品入门和进阶教程、论文和代码整理等

更多

查看相关VIP内容、论文、资讯等
【2020新书】监督机器学习,156页pdf,剑桥大学出版社
专知会员服务
154+阅读 · 2020年6月27日
干货书《数据科学数学系基础》2020最新版,266页pdf
专知会员服务
326+阅读 · 2020年3月23日
机器学习速查手册,135页pdf
专知会员服务
345+阅读 · 2020年3月15日
《深度学习》圣经花书的数学推导、原理与Python代码实现
【经典书】精通机器学习特征工程,中文版,178页pdf
专知会员服务
360+阅读 · 2020年2月15日
从零推导支持向量机 (SVM)
AI科技评论
10+阅读 · 2019年2月7日
【收藏】支持向量机原理详解+案例+代码!【点击阅读原文下载】
机器学习算法与Python学习
10+阅读 · 2018年9月13日
SVM大解密(附代码和公式)
机器学习算法与Python学习
6+阅读 · 2018年5月22日
【机器学习理论】我所理解的 SVM(支持向量机)- 1
机器学习研究会
5+阅读 · 2018年3月16日
动手写机器学习算法:SVM支持向量机(附代码)
七月在线实验室
12+阅读 · 2017年12月5日
零基础学SVM—Support Vector Machine系列之一
AI研习社
7+阅读 · 2017年11月10日
【直观详解】支持向量机SVM
机器学习研究会
18+阅读 · 2017年11月8日
机器学习(18)之支持向量机原理(三)线性不可分支持向量机与核函数
机器学习算法与Python学习
3+阅读 · 2017年9月23日
机器学习(15)之支持向量机原理(一)线性支持向量机
机器学习算法与Python学习
6+阅读 · 2017年9月1日
机器学习(13)之最大熵模型详解
机器学习算法与Python学习
7+阅读 · 2017年8月24日
Arxiv
5+阅读 · 2018年10月23日
Hierarchical Deep Multiagent Reinforcement Learning
Arxiv
8+阅读 · 2018年9月25日
Arxiv
4+阅读 · 2018年7月4日
Arxiv
3+阅读 · 2018年4月11日
VIP会员
最新内容
人工智能在战场行动中的演进及伊朗案例
专知会员服务
2+阅读 · 今天13:08
美AI公司Anthropic推出网络安全模型“Mythos”
专知会员服务
2+阅读 · 今天12:58
【博士论文】面向城市环境的可解释计算机视觉
专知会员服务
0+阅读 · 今天12:57
大语言模型的自改进机制:技术综述与未来展望
专知会员服务
0+阅读 · 今天12:50
《第四代军事特种作战部队选拔与评估》
专知会员服务
1+阅读 · 今天6:23
相关资讯
从零推导支持向量机 (SVM)
AI科技评论
10+阅读 · 2019年2月7日
【收藏】支持向量机原理详解+案例+代码!【点击阅读原文下载】
机器学习算法与Python学习
10+阅读 · 2018年9月13日
SVM大解密(附代码和公式)
机器学习算法与Python学习
6+阅读 · 2018年5月22日
【机器学习理论】我所理解的 SVM(支持向量机)- 1
机器学习研究会
5+阅读 · 2018年3月16日
动手写机器学习算法:SVM支持向量机(附代码)
七月在线实验室
12+阅读 · 2017年12月5日
零基础学SVM—Support Vector Machine系列之一
AI研习社
7+阅读 · 2017年11月10日
【直观详解】支持向量机SVM
机器学习研究会
18+阅读 · 2017年11月8日
机器学习(18)之支持向量机原理(三)线性不可分支持向量机与核函数
机器学习算法与Python学习
3+阅读 · 2017年9月23日
机器学习(15)之支持向量机原理(一)线性支持向量机
机器学习算法与Python学习
6+阅读 · 2017年9月1日
机器学习(13)之最大熵模型详解
机器学习算法与Python学习
7+阅读 · 2017年8月24日
Top
微信扫码咨询专知VIP会员