什么是最速降线?原理是什么?| No.96

2018 年 3 月 16 日 中科院物理所 Frions



1696年6月的《博学通报》上,一位叫约翰·伯努利的瑞士数学家向全欧洲提出了一个问题。在重力作用且忽略摩擦力的情况下,一个质点在一点A以速率为零开始,沿某条曲线,去到一点不高于A的B,怎样的曲线能令所需的时间最短呢?伯努利给了欧洲数学家六个月的时间,但是没有人给出解答。在莱布尼兹的要求下,时间被延长为一年半。1697年1月29号,牛顿收到了伯努利的信,下午4点他从皇家造币局下班回来,做了一个通宵把这个题目解出来了并匿名寄给了伯努利。伯努利一看答案就认出是牛顿。最后有五个数学家解出这个问题:雅克比·伯努利、莱布尼兹、洛必达和埃伦弗里德·瓦尔特·冯·契恩豪斯。雅克比·伯努利为了胜过自己的弟弟,他创造出了一个最速降线的升级版,为了解决这个升级版的问题,他引入了一个新的方法后来被欧拉发展为变分法。拉格朗日做了更进一步的工作将这个工作发展为现代微积分。比较有趣的是,伟大的伽利略也曾思考过这个问题,并认为这条线应该是一段圆弧,写在了他的《论两种新科学》中。             

--from wiki Brachistochrone curve


1
Q

您好,中科院物理所的院士,我是一名普通的初中学生,我想向您提问,风是一种自然现象,而我们在初中的物理课本上学过“力可以使物体发生形变,也可以改变物体的运动状态”,那么风也亦然如此,我可否将风粗显的理解为一种力,一种大自然对于物体的无形力的作用,如果您回答的话,我会十分感谢您的。


by 陈宇硕

A

emmmm...院士什么的,同学误会了,我们的回答团队是在读的硕博生,也是会尽力回答你的问题的。首先,鼓励同学你积极思考,不怕动脑,运用了类比法,举一反三。但是,风不能说是一种力。对,风有力的效果,风可以使物体发生形变,也可以改变物体的运动状态。但是,力是物体之间的相互作用,而风只是空气从压强大的地方到压强小的地方的流动,而风为什么会有力的作用效果,举例来讲。风作用在人脸上,利用公式F=PS,就使你的脸感受到了压力。所以,风是产生力的原因,而不能说它是力。那如果你说,重力看不见摸不着,你怎么就承认它是力了呢,动脑筋再思考一下吧。

注:F:力;P:压强;S:面积。

by Fi


2
Q

为什么汽水稍微摇了之后迅速打开瓶盖会有汽水喷出来?空气不应该在汽水上面吗?为什么会把水也带出来呢?


by 杨浩

A

汽水瓶里的气体确实在水的上面,但是把水带出来的并不是这部分气体而是溶解在水里的气体。汽水都会使用一种叫做碳酸水的配料,碳酸水并不神秘,它是二氧化碳的水溶液。二氧化碳在水中的溶解度会受液体状态的影响,其中晃动和减压(拧开瓶盖就相当于减压)会降低它水中的溶解度,所以原本溶解在水中的气体会迅速析出形成大大小不一的气泡,气泡的堆积会导致汽水溢出来,所以把水带出的并不是汽水上面的气体而是溶解在水里的气体。

by 丸子汤


3
Q

光子有质量吗?发光的物体是能量转换为质量的吗?


by 老了才学物理

A  

光子有质量但没有静止质量,因为如果光子有静止质量,那么根据狭义相对论,光子在以光速飞行(光子会且仅会以光速运动)时质量就会变得无穷大,而我们观测的结果是,光子的质量是有限的,这和假设矛盾。狭义相对论中的质能方程告诉我们,能量和质量是等价的,我们说一个物体的质量为m同时也在表达这个物体蕴含的总能量是E=mc2,所以说认为发光物体的能量转换成质量是没有问题的。

by 丸子汤


4
Q

为什么金属尖锐处的电荷数量更多?


by 疑问137

A

金属尖锐处的电荷量可以通过求解麦克斯韦方程组得到,但这并不能给我们一种直观的图像。其实通过电磁学的知识我们就可以对这个问题进行定性分析:在电场中,尤其是接近匀强电场中,电势是随着位置的改变近似呈现线性变化的。而金属的尖锐处意味着这里是金属的一个拐点,如果放到电场中看,这个拐点往往是电场的极值点,电荷在极值点上一般会处于稳定状态。所以电荷在和电场进行相互作用的过程中就更加倾向于停在金属的尖锐处,其直接结果就是这里电荷量更多。避雷针就是利用电荷容易在尖端积累来引导雷电的。

by 丸子汤


5
Q

什么是晶体的各向异性?


by Outside

A

各向异性是指物质的全部或部分化学、物理等性质随着方向的改变而有所变化,在不同的方向上呈现出差异的性质。各向异性与系统的对称性密切相关,如果系统有无限多个对称轴,系统各个方向的物理化学性质都相同,则可以说该系统是各向同性的,最简单的例子是一个均匀的球体。

各向同性作为各向异性的一种极为特殊的特例,并不是所有系统都具有无限多的对称轴,晶体由于平移对称性的限制,导致其只可能具有1,2,3,4,6次对称轴,因此晶体常表现出晶体各向异性。晶体的各向异性即沿晶格的不同方向,原子排列的周期性和疏密程度不同,导致晶体在不同方向的物理化学特性也不同。

晶体的各向异性一般表现为晶体在不同方向上代表物理性质的物理量出现差异。这些物理量可以用三维空间中的n阶张量来表示,包括导热性、电阻率、磁化率、折射率、弹性模量等等。

by 勿用


6
Q

包子表面的一层皮是如何产生的?


by ExtraordinaReed

A

日常生活中,吃包子和馒头的时候总会发现包子和馒头的表面有一层很美味的皮,吃起来有嚼劲,特香!那么这层皮是如何产生的呢?

我们首先来想一下馒头和包子发酵的过程,在包子和馒头刚刚揉制好时,酵母菌在有氧气的条件下迅速生长,快速繁殖,产生大量二氧化碳和水,当消耗了大部分氧气后,进行无氧发酵,产生二氧化碳和酒精。二氧化碳分布于馒头和包子的内部,使得馒头和包子的体积膨胀,在蒸制时进一步膨胀,形成内部疏松多孔的网络状状结构。本来表面发生的过程也应该与内部一样,但是由于蒸的过程中表面在最外边,而且这个热的传导又是从外向里,所以表面一层会迅速失去水分变干,导致里边的气泡无法释放出来。但当二氧化碳气泡逐渐增大时,有时会撑破该气泡,释放出二氧化碳,并且由于表面没有面团的补充,撑破的面团在表面张力的作用下铺平,形成均匀的面层——表皮。

想要变得更皮的同学,可以去这看看哦!科学松鼠会:皮之事,非仅皮毛之事

by 勿用


7
Q

金属粉末与金属本身颜色不同与哪些因素有关?


by oJGF7wZEkMIEbc5y8YdIDg5NYgms

A

先举两个粟子,让读者有个直观的感受。铁片的颜色是这样子的(如下图),而铁粉却呈现出浅黑色。银是白色的,而其粉末却是灰色。至于有色金属,金块的颜色是亮黄的,而金粉却是暗黄。

通过以上几个例子,可以看出,金属粉也只是颜色变"暗"了,实际上只不过因为其少了金属光泽而已。 

金属一般都带有金属光泽,其原因之前在问答专栏里出现过,这里大致提一下:金属中自由电子的行为类似于等离子体,而等离子体有一个结论就是会反射低于某一频率(plasmon frequency)的光。一般金属的plasmon frequent 都在紫外区,所以会对可见光有较强反射。再加之金属块体表面平整光滑,会发生镜面反射,反射光较亮。

下面分析金属粉的不同之处。其实说成粉,也只是宏观足够小而微观足够大,我们认为自由电子的结论依然成立。那么它与块体区别在哪里呢?体积小,反射面随机取向。这样,就不再发生镜面反射,反而产生漫反射。漫反射反射光线随机取向,再到我们的眼中,其强度就要减少好多。所以粉末颜色才会偏暗。

by 可爱的你 


8
Q

什么是最速曲线,原理是什么?


By 心海回流

A

最速曲线,从字面上理解,“速度”最快的曲线,那这里的“速度”是指平均速度、瞬时速度,抑或是速率。物理上有一个著名的最速落径问题,竖直平面内,不在同一铅锤线上的两个固定点之间的许多条曲线路径中,能使质点在重力的作用下以最短的时间从高位置点落到低位置点自由落下的那条曲线,称为最速落径,是一条旋轮线。

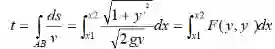
如图所示,A点坐标(x1,y1),B点坐标(x2,y2)质点从A点沿曲线无摩擦下滑到B点,我们以A点同时作为零势能点和坐标原点,质点(x,y)代表其运动轨迹,根据能量守恒定律,不难得出质点下滑的瞬时速率为:

利用弧长公式得到下滑的总时间为:

下面需要对时间求极值,以得到最短时间对应的y的方程,利用欧拉方程求解,最后得到:

此参数方程对应的旋轮线即为“最速曲线”。关于欧拉方程的详细求解,可以参考卢圣治主编的《理论力学基本教程》(第二版)180-187页。

ps:准备高考的同学们不妨思考一下在正交静电场与磁场下的带电粒子运动路径,聪明的你一定能解出来它是什么   (ฅ´ω`ฅ)

by  勿用




本期答题团队:

物理所  Fi、丸子汤(就是之前的螳吉呵呵)、勿用 、可爱的你



写下您的问题,下周五同一时间哦~

↓识别下方二维码快速提问↓



上期也精彩

为什么月亮跟着我走?| No.95

编辑:X.B.Liu


近期热门文章Top10

↓ 点击标题即可查看 ↓

1. 物理定律告诉你,天下有情人终将分手!

2. 装物理学家很欢乐很沉重

3. 无孔不入的喝酒养生观念,当真你就中计了

4. 物理学家辞掉NASA工作玩折纸,竟被请回实验室“折卫星”

5. 物理学最难的方程之一,解答奖金达100万美元

6. 地球上最神奇的10种物质,你见过几个?

7. 广义相对论很难?几分钟带你简单入门!

8. 狗狗最讨厌主人做的12件事,看到第几个你中枪了?

9. 蜂巢的洞口为什么是六边形而不是圆形?| No.93

10. 我们发现一种『新型炸药』,其原料就在你们刚包好的饺子里 | 正经玩 SP

点此查看以往全部热门文章


登录查看更多
0

相关内容

【硬核课】统计学习理论,321页ppt
专知会员服务
140+阅读 · 2020年6月30日
最新《机器学习理论初探》概述
专知会员服务
48+阅读 · 2020年5月19日
【CVPR2020】图神经网络中的几何原理连接
专知会员服务
57+阅读 · 2020年4月8日
机器学习速查手册,135页pdf
专知会员服务
345+阅读 · 2020年3月15日
《代码整洁之道》:5大基本要点
专知会员服务
50+阅读 · 2020年3月3日
模型压缩究竟在做什么?我们真的需要模型压缩么?
专知会员服务
28+阅读 · 2020年1月16日
知乎高赞回答:有什么相见恨晚的学英语方法?
深度学习与NLP
5+阅读 · 2019年4月16日
年薪48万的程序员,他究竟做对了什么?
机器学习算法与Python学习
8+阅读 · 2018年12月28日
【财富空间】一个人真正的资本是什么
产业智能官
6+阅读 · 2018年3月16日
为什么大家都不戳破深度学习的本质?
36大数据
4+阅读 · 2017年12月7日
机器学习应该准备哪些数学预备知识?
AI100
4+阅读 · 2017年11月26日
Python除了不会生孩子,什么都会
算法与数学之美
3+阅读 · 2017年11月8日
AI都干过什么让人细思极恐的事?
全球创新论坛
4+阅读 · 2017年9月15日
什么是常识?
keso怎么看
4+阅读 · 2017年8月2日
Deflecting Adversarial Attacks
Arxiv
8+阅读 · 2020年2月18日
Arxiv
10+阅读 · 2020年2月15日
Arxiv
11+阅读 · 2018年9月28日
Arxiv
9+阅读 · 2018年5月7日
Arxiv
3+阅读 · 2018年3月14日
Arxiv
29+阅读 · 2017年12月6日
VIP会员
最新内容
最新“指挥控制”领域出版物合集(简介)
专知会员服务
1+阅读 · 今天15:19
面向军事作战需求开发的人工智能(RAIMOND)
专知会员服务
3+阅读 · 今天15:13
软件定义多域战术网络:基础与未来方向(综述)
水下战战术决策中的气象与海洋预报(50页报告)
远程空中优势:新一代超视距导弹的兴起
专知会员服务
1+阅读 · 今天14:45
大语言模型溯因推理的统一分类学与综述
专知会员服务
0+阅读 · 今天12:07
相关VIP内容
【硬核课】统计学习理论,321页ppt
专知会员服务
140+阅读 · 2020年6月30日
最新《机器学习理论初探》概述
专知会员服务
48+阅读 · 2020年5月19日
【CVPR2020】图神经网络中的几何原理连接
专知会员服务
57+阅读 · 2020年4月8日
机器学习速查手册,135页pdf
专知会员服务
345+阅读 · 2020年3月15日
《代码整洁之道》:5大基本要点
专知会员服务
50+阅读 · 2020年3月3日
模型压缩究竟在做什么?我们真的需要模型压缩么?
专知会员服务
28+阅读 · 2020年1月16日
相关资讯
知乎高赞回答:有什么相见恨晚的学英语方法?
深度学习与NLP
5+阅读 · 2019年4月16日
年薪48万的程序员,他究竟做对了什么?
机器学习算法与Python学习
8+阅读 · 2018年12月28日
【财富空间】一个人真正的资本是什么
产业智能官
6+阅读 · 2018年3月16日
为什么大家都不戳破深度学习的本质?
36大数据
4+阅读 · 2017年12月7日
机器学习应该准备哪些数学预备知识?
AI100
4+阅读 · 2017年11月26日
Python除了不会生孩子,什么都会
算法与数学之美
3+阅读 · 2017年11月8日
AI都干过什么让人细思极恐的事?
全球创新论坛
4+阅读 · 2017年9月15日
什么是常识?
keso怎么看
4+阅读 · 2017年8月2日
相关论文
Deflecting Adversarial Attacks
Arxiv
8+阅读 · 2020年2月18日
Arxiv
10+阅读 · 2020年2月15日
Arxiv
11+阅读 · 2018年9月28日
Arxiv
9+阅读 · 2018年5月7日
Arxiv
3+阅读 · 2018年3月14日
Arxiv
29+阅读 · 2017年12月6日
Top
微信扫码咨询专知VIP会员