清华大学提出:ColorNet 研究颜色空间对图像分类的重要性

2019 年 2 月 6 日 CVer

点击上方“CVer”,选择"星标"和“置顶”

重磅干货,第一时间送达

前戏


前几天更了很多SOTA论文,比如(点击可访问):


【导读】今天分享一篇清华大学刚出的论文,研究思路很新颖。现在很多论文都是改模型,但本文介绍的论文更多的是从数据角度(颜色空间)来分析,也有点像数据增广的意思。在常用的图像分类数据集上,改进效果十分明显。


注:Amusi认为这篇论文对于你当前的研究会有一定帮助(特别是从事图像分类、目标检测和图像分割等方向的同学)


正文


《ColorNet: Investigating the importance of color spaces for image classification》


arXiv: https://arxiv.org/abs/1902.00267

github:None

作者团队:清华大学

ACCV 2018

注:2019年02月01日出的paper


Abstract:图像分类是计算机视觉中的基本应用。最近,更深的网络和高度连接的网络已经显示出图像分类任务的最新性能。如今,大多数数据集都包含有限数量的彩色图像。这些彩色图像以RGB图像的形式作为输入,并且在不修改它们的情况下进行分类。我们探索色彩空间的重要性,并表明色彩空间(基本上是原始RGB图像的变换)可以显著影响分类准确性。此外,我们展示了某些类别的图像在特定颜色空间中更好地表示,并且对于具有高度变化的类别(例如CIFAR和ImageNet)的数据集,使用考虑同一模型中的多个颜色空间的模型提供了极好的准确度。此外,我们展示了这样一种模型,其中输入被同时预处理成多个颜色空间,需要更少的参数来获得高分类精度。例如,我们的1.75M参数模型明显优于具有12M参数的DenseNet 100-12,其结果与Densenet-BC-190-40相当,后者具有25.6M参数,用于分类四个竞争图像分类数据集,即:CIFAR-10, CIFAR-100,SVHN和Imagenet。我们的模型基本上将RGB图像作为输入,同时将图像转换为7个不同的颜色空间,并将它们用作各个密集网络的输入。我们使用小而宽的密集网来减少计算开销和所需的超参数数量。我们还对这些数据集的当前最新结果进行了显著改进。


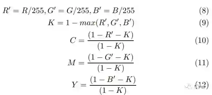
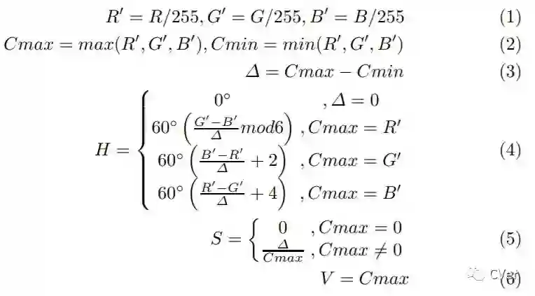
基础图像处理知识


RGB to HSV


RGB to HSV


RGB to CIE XYZ


RGB to CIE XYZ


RGB to  CMYK


RGB to CMYK


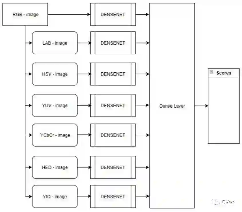
所提出的网络结构


输入RGB图像同时转换为6个其他颜色空间(LAB、HSV、YUV、YCbCR、HED和YIQ),将这7种颜色空间的图像数据传递给单独的DenseNet。然后将每个DenseNet的输出分数传递到Dense Layer,这有助于对每个颜色空间进行加权预测。Dense Layer的输出用作最终分类。


Architecture of proposed model


实验结果


论文对CIFAR-10,CIFAR-100,SVHN和ImageNet进行了实验评估。


CIFAR-10



CIFAR-100



ImageNet



SVHN



注:实验效果真的很震撼,我觉得这篇论文的思路对当前很多work有很大的帮助。讨论数据本身,有效的数据增广,可能比单纯的改模型效果更加实际。


想要了解最新最快最好的论文速递、开源项目和干货资料,欢迎加入CVer学术交流群。涉及图像分类、目标检测、图像分割、人脸检测&识别、目标跟踪、GANs、学术竞赛交流、Re-ID、风格迁移、医学影像分析、姿态估计、OCR、SLAM、场景文字检测&识别和超分辨率等方向。


扫码进群


这么硬的论文速递,麻烦给我一个好看


▲长按关注我们

麻烦给我一个好看

登录查看更多
0

相关内容

【DeepMind】CrossTransformers: 空间感知的小样本迁移
专知会员服务
40+阅读 · 2020年7月26日
专知会员服务
74+阅读 · 2020年5月21日
【阿里巴巴-CVPR2020】频域学习,Learning in the Frequency Domain
综述:DenseNet—Dense卷积网络(图像分类)
专知
86+阅读 · 2018年11月26日
深度剖析卷积神经网络
云栖社区
7+阅读 · 2018年5月27日
卷积神经网络的最佳解释!
专知
12+阅读 · 2018年5月1日
【迁移学习】迁移学习在图像分类中的简单应用策略
Graph Analysis and Graph Pooling in the Spatial Domain
Few-shot Adaptive Faster R-CNN
Arxiv
3+阅读 · 2019年3月22日
VIP会员
最新内容
人工智能在战场行动中的演进及伊朗案例
专知会员服务
2+阅读 · 今天13:08
美AI公司Anthropic推出网络安全模型“Mythos”
专知会员服务
2+阅读 · 今天12:58
【博士论文】面向城市环境的可解释计算机视觉
专知会员服务
0+阅读 · 今天12:57
大语言模型的自改进机制:技术综述与未来展望
专知会员服务
0+阅读 · 今天12:50
《第四代军事特种作战部队选拔与评估》
专知会员服务
1+阅读 · 今天6:23
Top
微信扫码咨询专知VIP会员