WWW 2022 | 可扩展的图随机神经网络

2022 年 8 月 26 日 PaperWeekly


作者 | 刘林松

单位 | 南京邮电大学

来源 | MIND Laboratory



论文标题:
GRAND+: Scalable Graph Random Neural Networks

收录来源:

WWW 2022

论文来源:

https://arxiv.org/pdf/2203.06389.pdf




论文介绍


近期的工作认为图随机神经网络具有很好的性能,但是难以用在大型图上。本文提出了一个广义的前推算法,预先计算传播矩阵,并使用它以小批量方式执行图数据扩充,最后使用一个自信感知的一致性损失来优化模型。




论文方法


令  表示一个图, 表示一个数据样本 表示边的集合 表示邻接矩阵,D 表示度矩阵, 表示加了自环的图, 是对应的邻接矩阵和度矩阵。每个样本 s 有一个特征向量  和标签  在半监督学习中,只有一部分节点有标签 ,其他节点没有标签



图随机神经网络是图神经网络的一致性正则化框架,优化不同增强中未标记节点的预测一致性,通过随机传播来增强数据。首先对特征矩阵进行扰动,之后通过混合顺序的矩阵在图上传播。图随机神经网络使用平均池化的矩阵来传播:



随机传播的策略可以表示为:



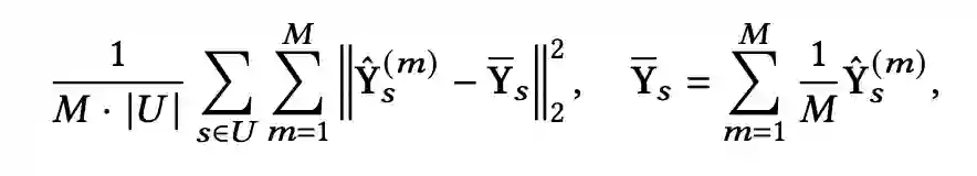
示从 Bernoulli 分布中得到的随机丢弃节点的 mask, 表示丢弃节点的概率。被丢弃的节点信息可以由邻居的信息来弥补。在训练的过程中,随机传播的过程重复 M 次,得到 M 个增强后的矩 。之后这些矩阵送入 MLP 得到 M 个预测值,使用标准的分类损失和一致性损失正则化项来训练。


是 MLP 为节点 s 预测的概率。
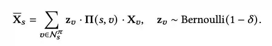
然而,在实践中, 的计算非常耗时,图随机神经网络使用幂迭代直接计算增强后的特征矩阵。但是在每一次训练的过程中,都需要重复 M 次来产生不同的特征矩阵,因此时间复杂度非常高。为了解决这一问题,本文预先计算传播矩阵所需的行向量,并以小批量方式执行随机传播,来代替之前的幂迭代。本文的传播矩阵为:


其中, 是行正则化的邻接矩阵。为了实现快速的训练,节点 s 的特征向量计算方式为:


表示 中,节点 s 对应的行向量。 表示 中非 0 元素的索引。在训练时,只需要为一批节点生成增强特征。



本文的训练过程分为三个部分。首先使用本文提出的 GFPush 算法得到每个节点的稀疏化的行近似 ,用于支持随机传播。在每一个训练的步骤中,采样出一批节点,用近似的行向量为每个节点生成多个增强特征。将增强后的特征送入 MLP 得到预测值,通过最小化损失来优化模型。




实验结果


作者在多个数据集上进行了节点分类任务:



为了验证可扩展性,作者在多个大型数据集上进行了实验:



对于模型中的参数,作者也进行了分析:






总结


本文提出了一个用于半监督学习的可扩展高性能 GNN 框架,通过广义前推来计算特征传播的矩阵,同时使用自信感知的一致性损失来实现一致性训练。与现有的方法相比取得了很好的效果。


更多阅读



#投 稿 通 道#

 让你的文字被更多人看到 



如何才能让更多的优质内容以更短路径到达读者群体,缩短读者寻找优质内容的成本呢?答案就是:你不认识的人。


总有一些你不认识的人,知道你想知道的东西。PaperWeekly 或许可以成为一座桥梁,促使不同背景、不同方向的学者和学术灵感相互碰撞,迸发出更多的可能性。 


PaperWeekly 鼓励高校实验室或个人,在我们的平台上分享各类优质内容,可以是最新论文解读,也可以是学术热点剖析科研心得竞赛经验讲解等。我们的目的只有一个,让知识真正流动起来。


📝 稿件基本要求:

• 文章确系个人原创作品,未曾在公开渠道发表,如为其他平台已发表或待发表的文章,请明确标注 

• 稿件建议以 markdown 格式撰写,文中配图以附件形式发送,要求图片清晰,无版权问题

• PaperWeekly 尊重原作者署名权,并将为每篇被采纳的原创首发稿件,提供业内具有竞争力稿酬,具体依据文章阅读量和文章质量阶梯制结算


📬 投稿通道:

• 投稿邮箱:[email protected] 

• 来稿请备注即时联系方式(微信),以便我们在稿件选用的第一时间联系作者

• 您也可以直接添加小编微信(pwbot02)快速投稿,备注:姓名-投稿


△长按添加PaperWeekly小编




🔍


现在,在「知乎」也能找到我们了

进入知乎首页搜索「PaperWeekly」

点击「关注」订阅我们的专栏吧


·

登录查看更多
0

相关内容

KDD 2022 | GraphMAE:自监督掩码图自编码器
专知会员服务
20+阅读 · 2022年7月14日
专知会员服务
46+阅读 · 2021年6月20日
【ICLR2021】对未标记数据进行深度网络自训练的理论分析
【AAAI2021】对比聚类,Contrastive Clustering
专知会员服务
78+阅读 · 2021年1月30日
【AAAI2021-斯坦福】身份感知的图神经网络
专知会员服务
39+阅读 · 2021年1月27日
专知会员服务
38+阅读 · 2020年11月24日
【NeurIPS 2020】通过双向传播的可扩展图神经网络
专知会员服务
30+阅读 · 2020年11月3日
【NeurIPS2020-MIT】子图神经网络,Subgraph Neural Networks
专知会员服务
46+阅读 · 2020年9月28日
【清华大学】图随机神经网络,Graph Random Neural Networks
专知会员服务
156+阅读 · 2020年5月26日
【CVPR2020】L2 ^GCN:图卷积网络的分层学习高效训练
专知会员服务
40+阅读 · 2020年3月31日
AAAI 2022 | 正交图神经网络
图与推荐
1+阅读 · 2022年11月18日
ICML 2022 | 图神经网络的局部增强
PaperWeekly
3+阅读 · 2022年8月4日
WSDM‘21 | 如何增加GNN的鲁棒性?
图与推荐
1+阅读 · 2021年12月10日
图神经网络+对比学习,下一步去哪?
图与推荐
1+阅读 · 2021年10月29日
WWW 2020 开源论文 | 异构图Transformer
PaperWeekly
13+阅读 · 2020年4月3日
【论文笔记】Graph U-Nets
专知
81+阅读 · 2019年11月25日
图卷积网络到底怎么做,这是一份极简的Numpy实现
国家自然科学基金
3+阅读 · 2015年12月31日
国家自然科学基金
0+阅读 · 2014年12月31日
国家自然科学基金
0+阅读 · 2014年12月31日
国家自然科学基金
2+阅读 · 2012年12月31日
国家自然科学基金
3+阅读 · 2012年12月31日
国家自然科学基金
1+阅读 · 2012年12月31日
国家自然科学基金
1+阅读 · 2011年12月31日
Directional Graph Networks
Arxiv
27+阅读 · 2020年12月10日
Arxiv
27+阅读 · 2020年6月19日
Arxiv
102+阅读 · 2020年3月4日
Arxiv
15+阅读 · 2020年2月5日
Position-aware Graph Neural Networks
Arxiv
15+阅读 · 2019年6月11日
Arxiv
16+阅读 · 2019年4月4日
VIP会员
最新内容
《人工智能赋能电磁战》(报告)
专知会员服务
2+阅读 · 今天14:47
【CMU博士论文】迈向可扩展的开放世界三维感知
专知会员服务
1+阅读 · 今天14:06
前馈式三维场景建模
专知会员服务
1+阅读 · 今天14:03
(译文)认知战:以士兵为目标,塑造战略
专知会员服务
3+阅读 · 今天3:12
相关VIP内容
KDD 2022 | GraphMAE:自监督掩码图自编码器
专知会员服务
20+阅读 · 2022年7月14日
专知会员服务
46+阅读 · 2021年6月20日
【ICLR2021】对未标记数据进行深度网络自训练的理论分析
【AAAI2021】对比聚类,Contrastive Clustering
专知会员服务
78+阅读 · 2021年1月30日
【AAAI2021-斯坦福】身份感知的图神经网络
专知会员服务
39+阅读 · 2021年1月27日
专知会员服务
38+阅读 · 2020年11月24日
【NeurIPS 2020】通过双向传播的可扩展图神经网络
专知会员服务
30+阅读 · 2020年11月3日
【NeurIPS2020-MIT】子图神经网络,Subgraph Neural Networks
专知会员服务
46+阅读 · 2020年9月28日
【清华大学】图随机神经网络,Graph Random Neural Networks
专知会员服务
156+阅读 · 2020年5月26日
【CVPR2020】L2 ^GCN:图卷积网络的分层学习高效训练
专知会员服务
40+阅读 · 2020年3月31日
相关资讯
AAAI 2022 | 正交图神经网络
图与推荐
1+阅读 · 2022年11月18日
ICML 2022 | 图神经网络的局部增强
PaperWeekly
3+阅读 · 2022年8月4日
WSDM‘21 | 如何增加GNN的鲁棒性?
图与推荐
1+阅读 · 2021年12月10日
图神经网络+对比学习,下一步去哪?
图与推荐
1+阅读 · 2021年10月29日
WWW 2020 开源论文 | 异构图Transformer
PaperWeekly
13+阅读 · 2020年4月3日
【论文笔记】Graph U-Nets
专知
81+阅读 · 2019年11月25日
图卷积网络到底怎么做,这是一份极简的Numpy实现
相关基金
国家自然科学基金
3+阅读 · 2015年12月31日
国家自然科学基金
0+阅读 · 2014年12月31日
国家自然科学基金
0+阅读 · 2014年12月31日
国家自然科学基金
2+阅读 · 2012年12月31日
国家自然科学基金
3+阅读 · 2012年12月31日
国家自然科学基金
1+阅读 · 2012年12月31日
国家自然科学基金
1+阅读 · 2011年12月31日
相关论文
Directional Graph Networks
Arxiv
27+阅读 · 2020年12月10日
Arxiv
27+阅读 · 2020年6月19日
Arxiv
102+阅读 · 2020年3月4日
Arxiv
15+阅读 · 2020年2月5日
Position-aware Graph Neural Networks
Arxiv
15+阅读 · 2019年6月11日
Arxiv
16+阅读 · 2019年4月4日
Top
微信扫码咨询专知VIP会员