大会 | 阿里iDST的CVPR论文:剁手有了新方法,明星同款边看边买 | CVPR 2017

2017 年 7 月 26 日 AI科技评论 方广 磐君 思淘

AI 科技评论按:CVPR是近十年来计算机视觉领域全球最有影响力、内容最全面的顶级学术会议,由全球最大的非营利性专业技术学会IEEE(电气和电子工程师协会)主办。今年CVPR审核了2620篇文章,最终收录783篇,录取率29%。阿里巴巴集团数据科学与技术研究院 iDST 和人工智能研究院 AI LAB 也有多篇论文被收录。

本文就是对阿里巴巴 iDST 视频分析团队的 CVPR 2017论文「 Video2Shop: Exact Matching Clothes in Videos to Online Shopping Images 」(从视频到电商:视频衣物精确检索)的解读,文章作者为阿里巴巴方广、磐君、思淘。

阿里巴巴 iDST 视频分析团队在这篇论文中围绕视频电商业务场景,提出了一个在线视频衣物精确检索系统。该系统能够满足用户在观看影视剧时想要同时购买明星同款的需求。整个系统采用了目前最先进的衣物检测和跟踪技术,针对明星同款检索中存在的多角度、多场景、遮挡等问题,提出可变化的深度树形结构(Reconfigurable Deep Tree structure),利用多帧之间的相似匹配解决单一帧检索存在的遮挡、模糊等问题。该结构可以认为是对现有attention模型的一种扩展,可以用来解决多模型融合问题。

论文技术在天猫魔盒视频中应用

业务场景及研究问题:视频电商中的衣物精确匹配

早在 2014 年,阿里与优酷土豆发布视频电商战略,称未来可以实现边看边买,使得视频电商的概念,继微博电商,朋友圈电商之后浮出水面。电商平台拥有少量商品,而视频网站具有巨大的流量,二者结合是发展的必然结果。电商平台可以借助视频网站的流量来实现导流和平台下沉,而视频网站则需要通过广告点击和商品成交来实现流量变现,因此二者的结合可谓一拍即合。视频电商的商业主旨是打造以视频为入口的购物服务,视频中出现所有物体都可能是商品,提供包括边看边买、明星同款、广告投放等服务,它集娱乐、休闲、购物于一体,给用户构造出一种“身临其境”情境营销,或者是明星同款的冲动式消费。视频电商目前已经不是停留在概念层次了,视频网站向电商的导流转化也一直在不断的尝试中。

然而影视剧中的服饰存在较大的差异性和异构性, 同一个目标往往展现出较大的差异。服饰购物图像通常具有杂乱、多样的背景, 而且常在户外拍摄。多样化的背景可能是建筑物,街道、风景、汽车等多种情况。由于自然场景下受到光线、角度、大小、分 辨率、几何学和光度学的变化等影响,使得服饰呈现出现的外形极为复杂,即使是同一件服饰也会出现变化较大的效果。同时在线网站为更好地展示服饰的效果,通常聘请时尚模特穿着所售商品,模特/人物姿势变化也是导致服饰变化的一个重要因素。 由于以上这些因素,使得视频明星同款搜索成为了一个极具挑战性的技术问题。

网络结构及技术细节

AsymNet网络结构:整个Asymnet深度神经网络结构如图1所示。当用户通过机顶盒(天猫魔盒)观看视频时,该网络将从电商网站(淘宝、天猫)检索到与之匹配的衣服,并推荐给用户。为忽略复杂背景对检索结果的影响,更准确的进行服装定位,我们首先应用服饰检测技术,提取得到服饰区域一组候选框。然后对这些候选框进行跟踪,得到明星同款在视频中的的运动轨迹。对于衣物候选区域和运动轨迹我们分别利用用图像特征网络(IFN)和视频特征网络(VFN)进行特征学习。考虑到服装的运动轨迹,衣物精确检索问题被定义为不对称(多对单)匹配问题,我们提出可变化的深度树形结(Reconfigurable Deep Tree Structure),利用多帧之间的相似匹配解决单一帧检索存在的遮挡、模糊等问题。后续本文将详细介绍模型的各个部分。

图 1 Asymnet深度神经网络结构

图像特征网络(IFN):传统CNN网络要求输入图像为固定的227x227(因为CNN网络中的卷积层需要有一个确定的预定义的维度)。在视频电商业务场景中,因为衣物检测候选框为任意大小,尺度变化很大,传统CNN网络无法进行有效的特征学习。针对这一问题,我们利用空间金字塔池化结构(SPP)体系结构,如图2所示。它通过空间池聚合最后一个卷积层的特征,从而使池区域的大小与输入的大小无关。

图 2 Asymnet图像特征网络(IFN)

视频特征网络 (VFN):为了更好的考虑视频的空间序列模式,进一步提高衣物检索的性能。基于 LSTM,我们提出了视频特征网络 (VFN),如图3所示。其中实验验证明两层堆叠式 LSTM 结构能够在视频特征学习中得到最佳性能。

 

图 3 Asymnet视频特征网络 (VFN)

相似性网络:明星同款匹配不同于近似衣物检索,精确匹配要求完全一致。在完全一致的 要求下,传统的通过相似性计算来进行检索的方法,不能满足明星同款精确匹配要求。已有的方法通常将精确匹配问题转换为一个二分类问题,但这种方式适应性差,只能利用单一时刻的视频帧。为了能够利用整个衣物运动轨迹,我们提出了如下的可变化的深度树形结构(Reconfigurable Deep Tree structure)将匹配问题转换为逻辑回归问题。匹配网络拟采用基于混合专家系统的逻辑回归网络。该结构可以认为是对现有attention模型的一种扩展,可以用来解决多模型融合问题。

图 4 Asymnet相似性网络

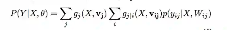
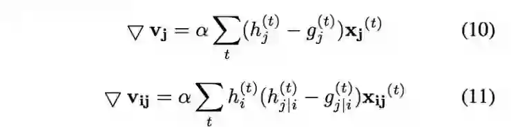
整个模型的目标函数是综合考虑每一帧的匹配结果,得到基于整个衣物运动序列和电商衣物的相似性,整个系统可以建模为对如下目标公式进行求解:

类似于attention机制,我们提出如下后验概率模型,来对上式进行求解:

得到如下梯度并采用端到端方式进行网络学习。 

试验结果

我们利用业务数据和最新的衣物检索方法进行了对比,试验结果如下表所示。相对于alexnet,Asymnet在前20的检索精确率指标上,其性能几乎提高了进一倍。相对于其他2种网络CS 和RC, 我们发现RC的性能略优于CS,因为RC具有较强的识别能力差异较小(采用多任务学习)。甚至在对于某些类别(无明显差别)RC在精确率上甚至略好于AsymNet,但是总的来说AsymNet比目前现有的方法拥有更好的性能。因为Asymnet可以处理现有的视频的时空动态变化,并结合自动视频帧的自动调节炉排判别信息的融合策略。

论文下载链接:http://openaccess.thecvf.com/content_cvpr_2017/papers/Cheng_Video2Shop_Exact_Matching_CVPR_2017_paper.pdf 

CVPR 2017 后续报道、更多近期学术会议现场报道,请继续关注 AI 科技评论。

登录查看更多
0

相关内容

CVPR是IEEE Conference on Computer Vision and Pattern Recognition的缩写,即IEEE国际计算机视觉与模式识别会议。该会议是由IEEE举办的计算机视觉和模式识别领域的顶级会议。

知识荟萃

精品入门和进阶教程、论文和代码整理等

更多

查看相关VIP内容、论文、资讯等
CVPR 2020 最佳论文与最佳学生论文!
专知会员服务
36+阅读 · 2020年6月17日
姿势服装随心换-CVPR2019
专知会员服务
36+阅读 · 2020年1月26日
7篇必读ACM MM 2019论文:图神经网络+多媒体
新智元
43+阅读 · 2019年11月9日
竞赛方案|VideoNet视频内容识别挑战赛
极市平台
14+阅读 · 2019年9月8日
CVPR 2018 最酷的十篇论文
AI研习社
6+阅读 · 2019年2月13日
百度的广告和今日头条的广告
keso怎么看
8+阅读 · 2018年2月9日
【新零售】当下趋势:传统零售将变革为新零售
产业智能官
3+阅读 · 2017年11月12日
Neural Module Networks for Reasoning over Text
Arxiv
9+阅读 · 2019年12月10日
Deep Learning for Deepfakes Creation and Detection
Arxiv
6+阅读 · 2019年9月25日
Arxiv
30+阅读 · 2019年3月13日
Arxiv
6+阅读 · 2018年6月20日
Arxiv
7+阅读 · 2018年4月24日
Arxiv
12+阅读 · 2018年1月28日
VIP会员
最新内容
《美陆军条例:陆军指挥政策(2026版)》
专知会员服务
8+阅读 · 今天8:10
《军用自主人工智能系统的治理与安全》
专知会员服务
5+阅读 · 今天8:02
《系统簇式多域作战规划范畴论框架》
专知会员服务
9+阅读 · 4月20日
高效视频扩散模型:进展与挑战
专知会员服务
5+阅读 · 4月20日
乌克兰前线的五项创新
专知会员服务
8+阅读 · 4月20日
 军事通信系统与设备的技术演进综述
专知会员服务
7+阅读 · 4月20日
《北约标准:医疗评估手册》174页
专知会员服务
6+阅读 · 4月20日
相关资讯
Top
微信扫码咨询专知VIP会员