超越Focal Loss!AP-Loss:提高单阶段目标检测性能的分类损失

2020 年 5 月 23 日 CVer

点击上方“CVer”,选择加"星标"或“置顶”

重磅干货,第一时间送达

本文转载自:AI算法修炼营



论文地址https://arxiv.org/abs/1904.06373

代码地址https://github.com/cccorn/AP-loss


动机



单阶段目标检测器是通过同时优化分类损失和定位损失来训练的。由于anchor的数量很多,存在前景目标和背景目标不平衡的问题。


为了解决单阶段目标检测的这种问题,很多不同的方法引入了新的分类损失,如 balanced loss、Focal loss 和 tailored training 方法(Online Hard Example Mining (OHEM))等。这些 losses 对每个 anchor box 都分别独立建模,在分类损失中,其尝试对前景样本和背景样本重新赋权值,来适应样本不平衡的情况,这些方法没有考虑不同 samples 之间的联系。设计的平衡权重是手工选取的超参数,并不能很好的适应于不同类型的数据集。


本文认为,分类任务和检测任务之间的鸿沟阻碍了单阶段目标检测器的性能提升,本文并未从分类损失函数的修正上着手,而是直接使用排序方法(ranking)来代替分类损失。其中,关联的 ranking loss 显式地对关系建模,并且对正样本和负样本的比例不敏感。


同时,提出了一种新的框架来缓和上述不平衡问题,即使用排序方法来代替分类任务,并且使用 Average-Precision loss(AP-loss)来完成排序问题。



因为 AP-loss 是不可微且非凸的,AP-loss 不能直接被优化,故本文使用一种新的优化方法,可以将感知学习过程的误差驱动的更新机制和深度网络中的反向传播机制进行巧妙的结合。


概况简介



1、用于目标检测的 AP loss:


AP 被当做评价指标,但由于其不可微和非凸性,难以用作优化函数,本文的方法有四个特点:


1)本文方法可以被用于任何可微线性或可微非线性模型,如神经网络,其他的那些方法仅仅可以在线性 SVM 模型中起作用。

2)本文方法直接优化 AP- loss,会导致 loss 出现 gap

3)本文方法不是近似的梯度,且不受目标函数非凸性的影响

4)本文方法可以端到端的训练检测器


2、感知学习方法:


本文优化准则的核心是“误差驱动更新”,是感知学习方法的泛化版本,有助于克服不可微目标函数的困难。当训练数据是线性可分的时,该方法能够保证在有限次数内收敛。


具体方法




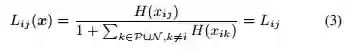
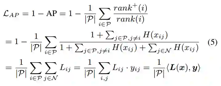
Average Precision Loss(AP Loss)对每个预测框进行排序,用排序后的序号来设计loss,核心思想在于鼓励正样本预测框的得分在负样本得分序列中尽可能靠前。启发自AUC Loss,后者用AUC的排序序号来设计loss,直接对AUC进行优化,而目标检测通常以mAP为指标,因此作者指出直接对AP进行优化能有更好的效果。

Bounding Box的设置方式跟传统的设置方式有些不同。比如有K个分类,

  • 传统上是为每个Bounding Box预测一个分类,0表示背景)以及得分向量

  • 论文则是把Bounding Box复制K次,分别用于某一个分类(-1表示忽略,不纳入AP Loss的计算)的预测,以及得分


左:一个label,属于分类k;    右:K个label,第k个为1

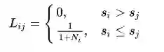
AP Loss的具体设计(与GTBox的IoU超过阈值为正样本,否则为负样本):

1、计算所有预测框两两之间的得分差值



2、计算每个预测框的归一化排序(在所有预测框中的排序)



其中,是得分大于等于的所有预测框数量(包括正负样本);

显然,就是第个预测框在所有预测框中的排序序号,而就是第个预测框的得分在所有负样本框中的一个排位(归一化的序号,序号越小则得分越高);


也可以展开成关于的数学描述,




其中,为阶跃函数,


3、计算AP Loss


其中,是正样本预测框的数量;也可以写成,

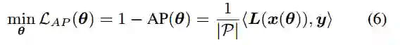
最终,待优化的目标函数为:


其中,θ 是权值,激活函数 L(⋅) 是不可微的,故需要一种新的参数更新方法,而非传统的梯度下降法。


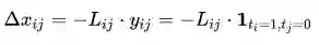
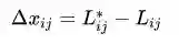
4、显然是不可导,所以需要定义近似的更新规则


其中,是真实值。

时,,因为目标是让正样本预测框的得分比所有负样本预测框都高;

时,,因为它不对AP Loss产生贡献;
因此,可以简化成

此时我们有期望更新:△x,之后,需要寻找模型权重 △θ 的更新方式。使用点乘来测量连续移动的大小,且用基于 L2−norm 的惩罚方法来调整权重变化(△θ)



得分 si 的梯度gi可以通过反向传播差值来获得


训练方法细节


1、minibatch training


minibatch 训练有助于优化方法规避 “score-shift” 情况


AP-loss 可以从一个 batch 中获得,也可以从具有多个 anchor 的单个图像中获得。


假设一个极端情况:我们的检测器可以同时预测 I1和I2的完美ranking,但是 I1的最低得分都比 I2的最高得分高,这就是两个图像的 “score-shift”,所以当单独计算每个图像的 AP-loss 时,会出现检测效果较差的情况。


计算一个 mini-batch 的所有图像的得分可以避免上述情况,所以 mini-batch 训练是保证好的收敛性和准确性的重要前提。


2、分段阶跃函数:


训练初期,得分 si 之间非常接近(即几乎所有的 H(x)输入都接近于0),所以,输入的一个微小的改变将会带来一个大的输出改变,会改变更新过程。


为了避免该问题,我们使用下面的分段阶跃函数来代替 H(x) 函数

不同 δ 情况下的分段阶跃函数如图所示。



1)当 δ  为 +0 时,该分段函数是最初的阶跃函数,注意,f(⋅) 仅仅在输入接近于0的时候与 H(⋅)不同。


2)另外一个单调且对称的平滑函数同样有效,且仅仅在输入接近于0的时候与 H(⋅)不同。


3)δ 的选择和 CNN 优化过程中的权值衰减有有着很大的联系。


4)δ决定了正样本和负样本的决策边界的宽度,小的 δ 得到较窄的决策边界,会导致权值相应减小。


3、差分AP:常用的评估

实验


相比于Focal Loss有比较明显的提升,而且不需要调整任何超参:


在RetinaNet上使用不同分类损失的实验结果



参考:

[1]https://blog.csdn.net/jiaoyangwm/article/details/91479594

[2]https://www.yuque.com/yahei/hey-yahei/objects_detection#zoJwH

论文下载

在CVer公众号后台回复:AP-Loss,即可下载本论文

重磅!CVer-目标检测 微信交流群已成立


扫码添加CVer助手,可申请加入CVer-目标检测 微信交流群,目前已汇集3900人!涵盖2D/3D目标检测、小目标检测、遥感目标检测等。互相交流,一起进步!


同时也可申请加入CVer大群和细分方向技术群,细分方向已涵盖:目标检测、图像分割、目标跟踪、人脸检测&识别、OCR、姿态估计、超分辨率、SLAM、医疗影像、Re-ID、GAN、NAS、深度估计、自动驾驶、强化学习、车道线检测、模型剪枝&压缩、去噪、去雾、去雨、风格迁移、遥感图像、行为识别、视频理解、图像融合、图像检索、论文投稿&交流、PyTorch和TensorFlow等群。


一定要备注:研究方向+地点+学校/公司+昵称(如目标检测+上海+上交+卡卡),根据格式备注,可更快被通过且邀请进群

▲长按加群


▲长按关注我们

请给CVer一个在看
登录查看更多
2

相关内容

专知会员服务
51+阅读 · 2020年7月16日
【KDD2020】最小方差采样用于图神经网络的快速训练
专知会员服务
28+阅读 · 2020年7月13日
深度学习目标检测方法及其主流框架综述
专知会员服务
148+阅读 · 2020年6月26日
【文献综述】深度学习目标检测方法及其主流框架综述
专知会员服务
119+阅读 · 2020年6月26日
【CVPR2020】跨模态哈希的无监督知识蒸馏
专知会员服务
61+阅读 · 2020年6月25日
专知会员服务
164+阅读 · 2020年4月21日
CVPR2020 | 商汤-港中文等提出PV-RCNN:3D目标检测新网络
专知会员服务
45+阅读 · 2020年4月17日
专知会员服务
55+阅读 · 2020年3月16日
2019 DR loss(样本不平衡问题)目标检测论文阅读
极市平台
11+阅读 · 2019年10月28日
CVPR 2019:精确目标检测的不确定边界框回归
AI科技评论
13+阅读 · 2019年9月16日
目标检测中边界框的回归策略
极市平台
17+阅读 · 2019年9月8日
非平衡数据集 focal loss 多类分类
AI研习社
33+阅读 · 2019年4月23日
CVPR 2018|Cascade R-CNN:向高精度目标检测器迈进
极市平台
10+阅读 · 2018年7月20日
Focal Loss for Dense Object Detection
统计学习与视觉计算组
12+阅读 · 2018年3月15日
论文 | 用于密集对象检测的 Focal Loss 函数
七月在线实验室
9+阅读 · 2018年1月4日
Arxiv
25+阅读 · 2020年3月11日
Arxiv
7+阅读 · 2018年12月5日
Arxiv
5+阅读 · 2018年10月4日
Arxiv
5+阅读 · 2018年5月16日
Arxiv
7+阅读 · 2018年1月24日
VIP会员
最新内容
《美陆军条例:陆军指挥政策(2026版)》
专知会员服务
5+阅读 · 今天8:10
《军用自主人工智能系统的治理与安全》
专知会员服务
4+阅读 · 今天8:02
《系统簇式多域作战规划范畴论框架》
专知会员服务
7+阅读 · 4月20日
高效视频扩散模型:进展与挑战
专知会员服务
3+阅读 · 4月20日
乌克兰前线的五项创新
专知会员服务
7+阅读 · 4月20日
 军事通信系统与设备的技术演进综述
专知会员服务
6+阅读 · 4月20日
《北约标准:医疗评估手册》174页
专知会员服务
5+阅读 · 4月20日
相关VIP内容
专知会员服务
51+阅读 · 2020年7月16日
【KDD2020】最小方差采样用于图神经网络的快速训练
专知会员服务
28+阅读 · 2020年7月13日
深度学习目标检测方法及其主流框架综述
专知会员服务
148+阅读 · 2020年6月26日
【文献综述】深度学习目标检测方法及其主流框架综述
专知会员服务
119+阅读 · 2020年6月26日
【CVPR2020】跨模态哈希的无监督知识蒸馏
专知会员服务
61+阅读 · 2020年6月25日
专知会员服务
164+阅读 · 2020年4月21日
CVPR2020 | 商汤-港中文等提出PV-RCNN:3D目标检测新网络
专知会员服务
45+阅读 · 2020年4月17日
专知会员服务
55+阅读 · 2020年3月16日
相关资讯
2019 DR loss(样本不平衡问题)目标检测论文阅读
极市平台
11+阅读 · 2019年10月28日
CVPR 2019:精确目标检测的不确定边界框回归
AI科技评论
13+阅读 · 2019年9月16日
目标检测中边界框的回归策略
极市平台
17+阅读 · 2019年9月8日
非平衡数据集 focal loss 多类分类
AI研习社
33+阅读 · 2019年4月23日
CVPR 2018|Cascade R-CNN:向高精度目标检测器迈进
极市平台
10+阅读 · 2018年7月20日
Focal Loss for Dense Object Detection
统计学习与视觉计算组
12+阅读 · 2018年3月15日
论文 | 用于密集对象检测的 Focal Loss 函数
七月在线实验室
9+阅读 · 2018年1月4日
相关论文
Top
微信扫码咨询专知VIP会员