论文浅尝 | DeCLUTR: 无监督文本表示的深度对比学习

2020 年 10 月 4 日 开放知识图谱


Giorgi, J. M., O. Nitski, G. D. Bader and B. Wang (2020). "DeCLUTR: Deep Contrastive Learning for Unsupervised Textual Representations." arXiv preprint arXiv:2006.03659.


原文链接:https://arxiv.org/pdf/2006.03659

GitHub项目地址:

https://github.com/JohnGiorgi/DeCLUTR


本文提出了一个简单并且易于实现的不对模型敏感的深度学习指标,并且该学习方法不需要任何标注的数据,损失函数为对比学习的损失函数加上MLM的损失函数。本文主要关注于对比学习在句子层面表征的应用。最近,受到CV领域的对比学习框架启发,本文提出了一个类似于BYOL利用正样本进行对比学习的NLP领域应用。这里注意的是编码器是共享权重,并非权值更新。

 

模型的流程如下

1. 先从无标注的文档中以beta分布中抽样anchor片段,在从这一篇相同的文档以不同的beta分布抽样出positive样本对。

2. 之后分别将anchor片段和positive片段经过两个相同架构共享权值的编码器,生成对应的token embedding。

3. 再将token embedding进行pooler操作,即将所有的token embedding平均生成同一维度的sentence embedding。

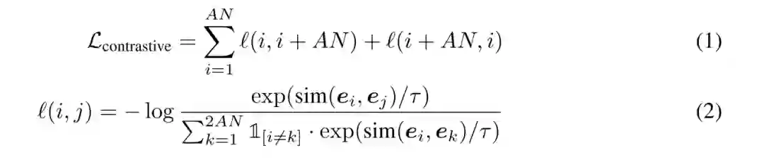
4. 计算对比学习的损失函数。,计算了两个片段信息之间的距离。表示温度超参。

5. 在计算出对比学习的loss之后,再加入MLM的loss,对模型进行反向梯度传播更新参数。      


本文的实验结果如下


模型:DeCLUTER-small使用DistilRoBERTa预训练模型参数为基础,DeCLUTER-base使用RoBERTa-base预训练模型参数为基础。

数据集:OpenWebText corpus,有495243个至少长度为2048的文档。

SentEval:含有28个测试数据集,氛围Downstream和Probing。Downstream使用模型编码出的句子嵌入来作为分类器的feature进行分类,而Probing评估模型生成的句子嵌入所还有的语义信息,比如预测动词的时态等。

      

总而言之,本文提出了一种利用对比学习来帮助模型更好地学习句子层面的表征。并且本文的方法十分简单且易于实现,适用于很多模型。实验也表明对比学习在NLP领域句子表征层面上的可行性。




 

OpenKG


开放知识图谱(简称 OpenKG)旨在促进中文知识图谱数据的开放与互联,促进知识图谱和语义技术的普及和广泛应用。

点击阅读原文,进入 OpenKG 博客。

登录查看更多
4

相关内容

通过潜在空间的对比损失最大限度地提高相同数据样本的不同扩充视图之间的一致性来学习表示。对比式自监督学习技术是一类很有前途的方法,它通过学习编码来构建表征,编码使两个事物相似或不同
最新《知识图谱表示学习补全》综述论文,16页pdf
专知会员服务
68+阅读 · 2020年10月29日
近期必读的七篇NeurIPS 2020【对比学习】相关论文和代码
专知会员服务
66+阅读 · 2020年10月20日
专知会员服务
29+阅读 · 2020年10月2日
近期必读的六篇 ICML 2020【对比学习】相关论文
专知会员服务
57+阅读 · 2020年9月15日
专知会员服务
23+阅读 · 2020年9月8日
专知会员服务
75+阅读 · 2020年9月1日
【2020 最新论文】对比学习中什么应该不是对比的?
专知会员服务
39+阅读 · 2020年8月16日
【CVPR2020】跨模态哈希的无监督知识蒸馏
专知会员服务
61+阅读 · 2020年6月25日
注意力图神经网络的多标签文本分类
专知会员服务
112+阅读 · 2020年3月28日
论文浅尝 | 多标签分类中的元学习
开放知识图谱
6+阅读 · 2019年9月25日
论文浅尝 | 采用多层注意力机制的事件检测
开放知识图谱
24+阅读 · 2019年8月24日
论文浅尝 | 基于局内去噪和迁移学习的关系抽取
开放知识图谱
16+阅读 · 2018年12月2日
论文浅尝 | 远程监督关系抽取的生成式对抗训练
开放知识图谱
17+阅读 · 2018年7月12日
论文浅尝 | 近期论文精选
开放知识图谱
5+阅读 · 2018年7月8日
论文浅尝 | 用图网络做小样本学习
开放知识图谱
66+阅读 · 2018年6月30日
论文浅尝 | 基于多原型mention向量的文本-实体联合学习
Hardness-Aware Deep Metric Learning
Arxiv
6+阅读 · 2019年3月13日
VIP会员
最新内容
《人工智能赋能电磁战》(报告)
专知会员服务
2+阅读 · 4月17日
【CMU博士论文】迈向可扩展的开放世界三维感知
前馈式三维场景建模
专知会员服务
1+阅读 · 4月17日
(译文)认知战:以士兵为目标,塑造战略
专知会员服务
3+阅读 · 4月17日
相关VIP内容
最新《知识图谱表示学习补全》综述论文,16页pdf
专知会员服务
68+阅读 · 2020年10月29日
近期必读的七篇NeurIPS 2020【对比学习】相关论文和代码
专知会员服务
66+阅读 · 2020年10月20日
专知会员服务
29+阅读 · 2020年10月2日
近期必读的六篇 ICML 2020【对比学习】相关论文
专知会员服务
57+阅读 · 2020年9月15日
专知会员服务
23+阅读 · 2020年9月8日
专知会员服务
75+阅读 · 2020年9月1日
【2020 最新论文】对比学习中什么应该不是对比的?
专知会员服务
39+阅读 · 2020年8月16日
【CVPR2020】跨模态哈希的无监督知识蒸馏
专知会员服务
61+阅读 · 2020年6月25日
注意力图神经网络的多标签文本分类
专知会员服务
112+阅读 · 2020年3月28日
相关资讯
论文浅尝 | 多标签分类中的元学习
开放知识图谱
6+阅读 · 2019年9月25日
论文浅尝 | 采用多层注意力机制的事件检测
开放知识图谱
24+阅读 · 2019年8月24日
论文浅尝 | 基于局内去噪和迁移学习的关系抽取
开放知识图谱
16+阅读 · 2018年12月2日
论文浅尝 | 远程监督关系抽取的生成式对抗训练
开放知识图谱
17+阅读 · 2018年7月12日
论文浅尝 | 近期论文精选
开放知识图谱
5+阅读 · 2018年7月8日
论文浅尝 | 用图网络做小样本学习
开放知识图谱
66+阅读 · 2018年6月30日
论文浅尝 | 基于多原型mention向量的文本-实体联合学习
Top
微信扫码咨询专知VIP会员