BAT题库 | 机器学习面试1000题系列(第236~240题)

2017 年 11 月 29 日 七月在线实验室 七月在线

236.回归模型中存在多重共线性, 你如何解决这个问题?
1. 去除这两个共线性变量
2. 我们可以先去除一个共线性变量
3. 计算VIF(方差膨胀因子), 采取相应措施
4. 为了避免损失信息, 我们可以使用一些正则化方法, 比如, 岭回归和lasso回归.
以下哪些是对的:
A. 1
B. 2
C. 2和3
D. 2, 3和4
答案: D
解决多重公线性, 可以使用相关矩阵去去除相关性高于75%的变量 (有主观成分). 也可以VIF, 如果VIF值<=4说明相关性不是很高, VIF值>=10说明相关性较高.
我们也可以用 岭回归和lasso回归的带有惩罚正则项的方法. 我们也可以在一些变量上加随机噪声, 使得变量之间变得不同, 但是这个方法要小心使用, 可能会影响预测效果。


237.模型的高bias是什么意思, 我们如何降低它 ?
A. 在特征空间中减少特征
B. 在特征空间中增加特征
C. 增加数据点
D. B和C
E. 以上所有
答案: B
bias太高说明模型太简单了, 数据维数不够, 无法准确预测数据, 所以, 升维吧 !


238.训练决策树模型, 属性节点的分裂, 具有最大信息增益的图是下图的哪一个: 

A. Outlook
B. Humidity
C. Windy
D. Temperature
答案: A信息增益, 增加平均子集纯度, 详细研究, 请戳下面链接:
A Complete Tutorial on Tree Based Modeling from Scratch (in R & Python)
Lecture 4 Decision Trees (2): Entropy, Information Gain, Gain Ratio


239.对于信息增益, 决策树分裂节点, 下面说法正确的是: 
1. 纯度高的节点需要更多的信息去区分
2. 信息增益可以用”1比特-熵”获得
3. 如果选择一个属性具有许多归类值, 那么这个信息增益是有偏差的
A. 1
B. 2
C.2和3
D. 所有以上
答案: C
详细研究, 请戳下面链接:
A Complete Tutorial on Tree Based Modeling from Scratch (in R & Python)
Lecture 4 Decision Trees (2): Entropy, Information Gain, Gain Ratio


240. 如果SVM模型欠拟合, 以下方法哪些可以改进模型 : 
A. 增大惩罚参数C的值
B. 减小惩罚参数C的值
C. 减小核系数(gamma参数)

答案: A

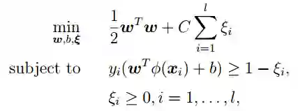
如果SVM模型欠拟合, 我们可以调高参数C的值, 使得模型复杂度上升.LibSVM中,SVM的目标函数是:


而, gamma参数是你选择径向基函数作为kernel后,该函数自带的一个参数.隐含地决定了数据映射到新的特征空间后的分布.
gamma参数与C参数无关. gamma参数越高, 模型越复杂. 


往期题目:

BAT机器学习面试1000题系列(第1~60题)

BAT机器学习面试1000题系列(第61~100题)

BAT机器学习面试1000题系列(第101~200题)

BAT机器学习面试1000题系列(第201~205题)

BAT机器学习面试1000题系列(第206~210题)

BAT机器学习面试1000题系列(第211~215题)

BAT机器学习面试1000题系列(第216~220题)

BAT机器学习面试1000题系列(第221~225题)

BAT机器学习面试1000题系列(第226~230题)

BAT机器学习面试1000题系列(第231~235题)




课程咨询|微信:julyedukefu

七月热线:010-82712840

登录查看更多
2

相关内容

【新书册】贝叶斯神经网络,41页pdf
专知会员服务
180+阅读 · 2020年6月3日
Sklearn 与 TensorFlow 机器学习实用指南,385页pdf
专知会员服务
131+阅读 · 2020年3月15日
【机器学习课程】Google机器学习速成课程
专知会员服务
171+阅读 · 2019年12月2日
机器学习入门的经验与建议
专知会员服务
94+阅读 · 2019年10月10日
BAT机器学习面试题1000题(376~380题)
七月在线实验室
9+阅读 · 2018年8月27日
BAT机器学习面试题1000题(316~320题)
七月在线实验室
14+阅读 · 2018年1月18日
BAT机器学习面试题及解析(266-270题)
七月在线实验室
6+阅读 · 2017年12月13日
BAT题库 | 机器学习面试1000题系列(第226~230题)
七月在线实验室
9+阅读 · 2017年11月27日
BAT题库 | 机器学习面试1000题系列(第211~215题)
七月在线实验室
9+阅读 · 2017年11月22日
BAT题库 | 机器学习面试1000题系列(第196~200题)
七月在线实验室
17+阅读 · 2017年11月16日
BAT题库 | 机器学习面试1000题系列(第191~195题)
七月在线实验室
6+阅读 · 2017年11月15日
BAT机器学习面试1000题系列(第116~120题)
七月在线实验室
16+阅读 · 2017年10月24日
BAT机器学习面试1000题系列(第76~80题)
七月在线实验室
5+阅读 · 2017年10月13日
BAT机器学习面试1000题系列(第36~40题)
七月在线实验室
8+阅读 · 2017年10月3日
Reasoning on Knowledge Graphs with Debate Dynamics
Arxiv
14+阅读 · 2020年1月2日
Efficiently Embedding Dynamic Knowledge Graphs
Arxiv
14+阅读 · 2019年10月15日
Bivariate Beta LSTM
Arxiv
6+阅读 · 2019年10月7日
Arxiv
4+阅读 · 2018年3月14日
Arxiv
3+阅读 · 2018年1月10日
Arxiv
5+阅读 · 2016年12月29日
VIP会员
最新内容
人工智能在战场行动中的演进及伊朗案例
专知会员服务
2+阅读 · 今天13:08
美AI公司Anthropic推出网络安全模型“Mythos”
专知会员服务
2+阅读 · 今天12:58
【博士论文】面向城市环境的可解释计算机视觉
专知会员服务
0+阅读 · 今天12:57
大语言模型的自改进机制:技术综述与未来展望
专知会员服务
0+阅读 · 今天12:50
《第四代军事特种作战部队选拔与评估》
专知会员服务
1+阅读 · 今天6:23
相关VIP内容
相关资讯
BAT机器学习面试题1000题(376~380题)
七月在线实验室
9+阅读 · 2018年8月27日
BAT机器学习面试题1000题(316~320题)
七月在线实验室
14+阅读 · 2018年1月18日
BAT机器学习面试题及解析(266-270题)
七月在线实验室
6+阅读 · 2017年12月13日
BAT题库 | 机器学习面试1000题系列(第226~230题)
七月在线实验室
9+阅读 · 2017年11月27日
BAT题库 | 机器学习面试1000题系列(第211~215题)
七月在线实验室
9+阅读 · 2017年11月22日
BAT题库 | 机器学习面试1000题系列(第196~200题)
七月在线实验室
17+阅读 · 2017年11月16日
BAT题库 | 机器学习面试1000题系列(第191~195题)
七月在线实验室
6+阅读 · 2017年11月15日
BAT机器学习面试1000题系列(第116~120题)
七月在线实验室
16+阅读 · 2017年10月24日
BAT机器学习面试1000题系列(第76~80题)
七月在线实验室
5+阅读 · 2017年10月13日
BAT机器学习面试1000题系列(第36~40题)
七月在线实验室
8+阅读 · 2017年10月3日
Top
微信扫码咨询专知VIP会员