深度学习不再是炼丹术!谷歌给出首个神经网络训练理论证明

2019 年 2 月 25 日 炼数成金订阅号

谷歌 AI 发布的一篇论文给出了较早的关于深度神经网络训练相关的理论证明,实验观察结果也为初步解释梯度下降强于贝叶斯优化奠定了基础。神经网络的理论面纱,正逐步被揭开。


原来,神经网络实际上跟线性模型并没那么大不同!


谷歌 AI 的研究人员日前在 arxiv 贴出一篇文章,给出了较早的神经网络训练相关的理论证明。


实验中,他们将一个实际的神经网络训练过程与线性模型的训练过程相比,发现两者高度一致。这里用到的神经网络是一个 wide ResNet,包括 ReLU 层、卷积层、pooling 层和 batch normalization;线性模型是用 ResNet 关于其初始 (随机) 参数的泰勒级数建立的网络。


将神经网络的训练过程与线性模型的相比,两者高度一致

在多个不同模型上试验并排除量化误差后,观察结果依旧保持一致。由此,谷歌 AI 研究人员得出结论,当学习率比较小且网络足够宽 (不必无限宽) 的时候,神经网络就是线性模型。


由此得出的一个推论是,使用梯度下降训练的大型网络集成能够用一个高斯过程描述,而且在梯度下降的任意时间都能用完备形式化描述这个高斯过程。


这些观察结果也构成了一个理论框架基础,可以用来初步解释长期以来困扰深度学习研究界的一个难题:梯度下降究竟在哪些情况下,具体是如何优于贝叶斯优化?


在训练深度神经网络被戏谑为 “调参炼丹” 的当下,这一发现犹如一道希望的强光,射进还被排除在 “科学” 之外的深度学习领域,激动人心。


相关论文:使用梯度下降训练的任意深度的 Wide 神经网络与线性模型的一致性


终于,调参不再是炼丹:较早的关于神经网络训练的理论证明

基于深度神经网络的机器学习模型在许多任务中取得了前所未有的性能。通常,这些模型被认为是复杂系统,其中许多类型的理论分析是很棘手的。此外,由于控制优化的通常是高维的非凸损失平面 (non-convex loss surfaces),因此要描述这些模型的基于梯度的训练动态机制具有挑战性。


就像在物理科学中常见的那样,研究这些系统的极限通常可以解释这些难题。对于神经网络来说,其中一个极限就是它的 “无限宽度”(infinite width),指的是完全连接层中的隐藏单元数量,或卷积层中的通道数量。


在此限制下,网络初始化时的输出取自高斯过程 (GP);此外,在使用平方损失进行较精确贝叶斯训练后,网络输出仍然由 GP 控制。除了理论上的简单性,nfinite-width 这一限制也具有实际意义,因为许多研究已经证明,更宽的网络可以更好地进行泛化。


在这项工作中,我们探索了梯度下降下宽的神经网络的学习动态机制 (learning dynamics),并发现动态的权重空间描述变得非常简单:随着宽度变大,神经网络可以有效地被关于其初始化参数的一阶泰勒展开式 (first-order Taylor expansion) 取代。


对于这种诱导的线性模型,梯度下降的动态机制变得易于分析了。虽然线性化只在无限宽度限制下是较精确的,但我们发现,即使是有限宽度的情况下,原始网络的预测与线性化版本的预测仍然非常一致。这种一致性在不同的架构、优化方法和损失函数之间都存在。


对于平方损失 (squared loss),较精确的学习动态机制允许封闭形式的解决方案,这允许我们用 GP 来描述预测分布的演化。这一结果可以看作是 “先采样再优化”(sample-then-optimize) 后验采样对深度神经网络训练的延伸。我们的经验模拟证实,该结果准确地模拟了具有不同随机初始化的有限宽度模型集合中预测的变化。


谷歌 AI 的研究人员表示,这篇论文的几大主要贡献包括:

首先,我们以 Jacot et al. (2018) 最近的研究成果为基础,该成果描述了在 infinite width 限制下,整个梯度下降训练过程中网络输出的较精确动态。他们的结果证明了参数空间的梯度下降对应于函数空间中关于新核的核梯度下降 (kernel gradient descent),即 Neural Tangent Kernel (NTK)。


我们工作的一个关键贡献是证明了参数空间中的动态等价于所有网络参数、权重和偏差集合中的仿射模型的训练动态。无论损失函数的选择如何,这个结果都成立。在平方损失的情况下, dynamics 允许一个封闭形式的解作为时间函数。


无限宽 (infinitely wide) 神经网络初始化时的输出是高斯的,并且如 Jacot et al.(2018) 中所述,平方损失在整个训练过程中始终是高斯的。我们推导了该 GP 的均值和协方差函数的显式时间依赖表达式,并为结果提供了新的解释。


具体来说,该解释对梯度下降与参数的贝叶斯后验采样的不同机制提供了一种定量理解:虽然这两种方法都取自 GP,但梯度下降不会从任何概率模型的后验生成样本。


这一观察结果与 (Matthews et al.,2017) 的 “先采样后优化”(sample-then-optimize) 框架形成了对比,在该框架中,只训练顶层权重,梯度下降从贝叶斯后验采样。


这些观察构成了一个框架,用来分析长期存在的问题,如梯度下降是否、如何以及在何种情况下提供了相对于贝叶斯推理的具体好处。


正如 Chizat & Bach (2018b) 中论述的,这些理论结果可能过于简单,无法适用于现实的神经网络。但是,我们通过实证研究证明了该理论在 finite-width 设置中的适用性,发现它准确地描述了各种条件下的学习动态机制和后验函数分布,包括一些实际的网络架构,如 Wide Residual Network (Zagoruyko & Komodakis, 2016)。


理论结果:无限宽的神经网络就是线性模型

线性化网络 (linearized network)

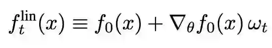
此处,我们将考虑线性化网络的训练动态,具体地说,就是用一阶泰勒展开代替神经网络的输出:


值得注意的是,flint 是两项之和:第一项是网络的初始输出,在训练过程中保持不变;第二项是在训练过程中捕捉对初始值的变化。


使用这个线性化函数的梯度流的动态受到如下约束:


无限宽度限制产生高斯过程

当隐藏层的宽度接近无穷大时,中心极限定理 (CLT) 意味着初始化 {f0(x)}x∈X 时的输出在分布上收敛于多元高斯分布。这一点可以用归纳法非正式的进行证明。


因此,随机初始化的神经网络对应于一类高斯过程 (以下简称 NNGP),将有利于神经网络的完全贝叶斯处理。


梯度下降训练中的高斯过程

如果我们在初始化之后冻结变量 θ≤L,并且只优化 θ≤L+1,那么原始网络及其线性化是相同的。让宽度趋于无穷,这个特殊的 tangent kernel 的概率将收敛于 K。这是用于评估高斯过程后验的 “先采样后优化” 方法的实现。


我们对比了 NNGP、NTK-GP 和 NN 集合的预测分布,如下图所示:


训练神经网络输出的均值和方差的动态遵循线性化的分析动态机制

黑线表示来自 100 个训练神经网络集合的预测输出分布的时间演变; 蓝色区域表示整个训练中输出分布的分析预测;最后,红色区域表示仅训练顶层的预测,对应于 NNGP。


受过训练的网络有 3 个隐藏层,宽度为 8192。阴影区域和虚线表示平均值的 2 个标准偏差。


无限宽度网络是线性化网络

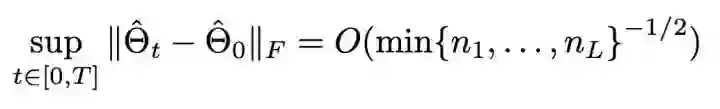
原始网络的常微分方程 (ODE) 在一般情况下是不可解的。在积分函数梯度范数保持随机有界为n1,n2,…,nL→∞的技术假设下:


值得注意的是,上面公式中的上界只是理论性的,是根据经验观察得到的:


训练过程中 Relative Frobenius 范数的改变

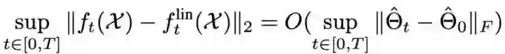
在 MSE 设置中,我们可以对原始网络的输出与其线性化输出之间的差异进行上限:

对于非常宽的网络,我们可以用线性化动态机制来近似训练动态机制。


而从网络线性化中获得的另一个见解是,动态机制等效于随机特征法,其中,特征是模型相对于其权重的梯度。


实验

我们的实验证明,宽的神经网络的训练动态能很好地被线性模型捕获。


我们考虑了全连接、卷积和 wide ResNet 架构,这些架构使用足够小的学习率进行 full-batch 或 mini-batch 梯度下降训练,从而使连续时间近似保持良好。


我们考虑了 CIFAR10 上的 two-class 分类任务 (马匹和飞机),以及 MNIST 和 CIFAR-10 上的 ten-class 分类。


在 MSE loss 的情况下,输出分布在整个训练过程中保持高斯分布。图 3 显示,神经网络及其对应的 GP 的集合显示了在两个训练点之间插值的输入点的预测输出分布。


图 4:对于网络输出和单个权重,模型的 full batch 梯度下降在线性化方面的表现与 analytic dynamics 类似

在图 4 中,我们看到线性模型很好地描述了具有交叉熵损失的 CIFAR-10 所有类分类任务的 learning dynamics。


图 5:卷积网络及其线性化在使用动量优化器进行 full batch 梯度下降训练时表现类似

图 6:在通过 SGD 进行训练时,神经网络及其线性化表现相似,在 MNIST 上的交叉熵损失上具有动量

图 7:两者都利用 SGD 在 CIFAR-10 上训练时, wide ResNet 及其线性化的表现相似


完整论文:

https://arxiv.org/pdf/1902.06720.pdf

声明:文章收集于网络,如有侵权,请联系小编及时处理,谢谢!


文章来源:新智元

《计算机视觉:从入门到精通,极限剖析图像识别学习算法》课程从代码到原理,从直观物理理解到数学推导,掌握CV的基础核心技术,从实践中学习,再从理论回到实践。学员通过学习可了解计算机视觉图像识别基本原理和算法,学会解决在实践中遇到的各种问题。点击下方二维码报名课程

登录查看更多
0

相关内容

[ICML-Google]先宽后窄:对深度薄网络的有效训练
专知会员服务
36+阅读 · 2020年7月5日
【CMU】深度学习模型中集成优化、约束和控制,33页ppt
专知会员服务
46+阅读 · 2020年5月23日
专知会员服务
20+阅读 · 2020年3月29日
【Nature论文】深度网络中的梯度下降复杂度控制
专知会员服务
41+阅读 · 2020年3月9日
麻省理工学院MIT-ICLR2020《神经网络能推断出什么?》
专知会员服务
51+阅读 · 2020年2月19日
2020图机器学习GNN的四大研究趋势,21篇论文下载
专知会员服务
136+阅读 · 2020年2月10日
模型压缩究竟在做什么?我们真的需要模型压缩么?
专知会员服务
28+阅读 · 2020年1月16日
谷歌机器学习速成课程中文版pdf
专知会员服务
147+阅读 · 2019年12月4日
谷歌 MorphNet:让你的神经网络更小但更快
机器学习算法与Python学习
5+阅读 · 2019年4月18日
深度学习面试100题(第31-35题)
七月在线实验室
8+阅读 · 2018年7月16日
从零开始:教你如何训练神经网络
机器之心
5+阅读 · 2017年12月11日
深度学习超参数简单理解
计算机视觉战队
4+阅读 · 2017年11月28日
[深度学习] AlexNet,GoogLeNet,VGG,ResNet简化版
机器学习和数学
20+阅读 · 2017年10月13日
[学习] 这些深度学习网络训练技巧,你了解吗?
菜鸟的机器学习
7+阅读 · 2017年7月29日
Optimization for deep learning: theory and algorithms
Arxiv
106+阅读 · 2019年12月19日
Self-Attention Graph Pooling
Arxiv
5+阅读 · 2019年4月17日
Arxiv
11+阅读 · 2018年2月4日
VIP会员
最新内容
《系统簇式多域作战规划范畴论框架》
专知会员服务
2+阅读 · 今天14:54
高效视频扩散模型:进展与挑战
专知会员服务
0+阅读 · 今天13:34
乌克兰前线的五项创新
专知会员服务
6+阅读 · 今天6:14
 军事通信系统与设备的技术演进综述
专知会员服务
4+阅读 · 今天5:59
《北约标准:医疗评估手册》174页
专知会员服务
4+阅读 · 今天5:51
《提升生成模型的安全性与保障》博士论文
专知会员服务
4+阅读 · 今天5:47
美国当前高超音速导弹发展概述
专知会员服务
4+阅读 · 4月19日
无人机蜂群建模与仿真方法
专知会员服务
13+阅读 · 4月19日
相关VIP内容
相关资讯
谷歌 MorphNet:让你的神经网络更小但更快
机器学习算法与Python学习
5+阅读 · 2019年4月18日
深度学习面试100题(第31-35题)
七月在线实验室
8+阅读 · 2018年7月16日
从零开始:教你如何训练神经网络
机器之心
5+阅读 · 2017年12月11日
深度学习超参数简单理解
计算机视觉战队
4+阅读 · 2017年11月28日
[深度学习] AlexNet,GoogLeNet,VGG,ResNet简化版
机器学习和数学
20+阅读 · 2017年10月13日
[学习] 这些深度学习网络训练技巧,你了解吗?
菜鸟的机器学习
7+阅读 · 2017年7月29日
Top
微信扫码咨询专知VIP会员