二维铁电性:一泓秋水映

2018 年 12 月 27 日 中国物理学会期刊网

作者:吴梦昊1, 刘俊明2

(1 华中科技大学物理学院)

(2 南京大学固体微结构物理国家重点实验室)


谁言物理似图腾

维度兴衰看几层

我辈天才千万夜

一泓铁电梦中生


 本文原载于“量子材料Quantum Materials”微信公众号,刊发前作者有些许修订。


1 引子


关注、学习和研究物理学,时间长了,心中多少会有两大神祇:能量和对称性。这是物理人引以为傲而又神神叨叨的缘由。万千世界,执此两幡神祗便可指点宏微、牛气上下。而另一方面,正因为能量和对称性的威力,物理人心中亦充满敬畏,对能量和对称性竟然如此这般主宰自然和社会的这一现实而诚惶诚恐。感觉它们就像基督一般,让我们经常在寂静的深夜里嘟哝着“阿门”。这是一种两面性,一面是先贤创造了物理,另一面是我们对先贤创造的物理服服帖帖,并从中得到灵感和指引。笔者之一在十几年前参加香港理工大学一个查经班时,曾经自负自大,与神父和朋友们长夜舌战。这是争论后的体会:基督们有耶稣,我们有能量与对称性!


具体到凝聚态物理的一些分支,对称性的威力显得格外明显,此处因为笔者的敬畏与无知,实不敢妄论其本源。粗略地看,对称性的表象之一应该就是维度。当我们将真实时空的维度降低(维度收缩)时,很多高维时空的行为可能就会变得不再稳定、不再理所当然。维度降低,意味着沿降低方向的涨落显著增强。当相互作用与涨落在能量上变得可比拟时,对称性就粉墨登场,扮演起四两拨千斤及渔翁得利的角色。此时,它有了那么一点“山中无老虎猴子称霸王” 的味道。也正因为如此,低维下一众凝聚态物理学问题都可以且需要重新梳理与探求一遍,并“诞生”出新的研究方向和热点。


需要引起关注的是:物理研究的脉络原本是从低维和简约开始的。四大力学中,很多经典的低维问题都有漂亮的严格解。进化到高维时就举步维艰,精确解进展不大、近似解漫天飞舞。我们在三维空间和四维时空中已经小心翼翼地前行百年,开始感到身心疲惫。此时,回归到低维又变成了一种时髦和必然,是螺旋式轮回进程的一个环节。这是物理学的宿命,萦绕而不绝。


2 低维铁性


笔者先考虑一类自以为最熟悉的凝聚态物理问题,或者叫铁性问题。以最常见的磁性体系为例。磁学的第一个里程碑就是Ising 求解的一维Ising 自旋链相变问题,后来是二维Ising 模型严格解问题,这都是低维体系的丰碑。再加上海森伯的磁性量子理论,经典磁学的三分江山基本就定了。现在,我们又回过头来看低维体系中的磁性问题,即是前述所谓的轮回。


对于海森伯自旋体系,薄膜体系中自旋倾向面内有序、纳米点中自旋倾向形成手性涡旋序、磁性异质结界面处可能出现斯格明子态,都是维度降低的结果,唯象上用退磁能、各向异性能和自旋—轨道耦合效应都可以定性阐明。而对于严格意义上的二维体系,其有序行为一定程度上受到Mermin—Wagner定理的约束。最近,中国科学院金属研究所韩拯和杨腾老师的文章[1],详细科普了二维磁性半导体中的物理与材料(《铁磁半导体花落两维里》),看起来是对Mermin—Wagner定理的某种挑战或补充。磁性是铁性之一类,本文在此不能再鹦鹉学舌或拾人牙慧,得另起炉灶,看看低维体系的另一类铁性——铁电性的维度效应。


对一个铁电系统,20 世纪80 年代就有贤人提出:系统维度降到二维或一维时,铁电性能否保持稳定?这是一个重大疑问,曾经是很多人追逐的热门问题。梳理一下,有几点认识:


(1)早期的唯象理论信誓旦旦地预言铁电体的尺寸(如铁电薄膜厚度、铁电纳米点尺度) 下降到某个临界值时,铁电性会消失。按照铁电体边界的镜像屏蔽图像,这一临界尺寸应该在100 nm范围内。如果不考虑自由电荷屏蔽,单纯从唯象角度考虑,这个尺度很容易估算出来。


(2)铁电临界尺寸行为,更多可以从正常铁电体到弛豫铁电体再到铁电玻璃态演化进程中铁电畴形态来看,如图1(a)所示。对于宏畴体系,我们可以得到很好的铁电特征——饱和而规则的铁电回线。当宏畴渐渐被微畴甚至纳米畴代替时,宏观铁电回线被严重压缩,与顺电特征并无本质差别。可以说这是一种铁电尺寸效应。


(3)可借助各种技术,如切、掰、铣、沉积、组装、生长等各种方法,加工出一个尺度很小的铁电体点、线、面,如图1(b)所示。如果这个尺度很小,得到的铁电特征也如顺电一般,对应的这些点、线、面内可能呈现涡旋畴、中心畴、孪晶畴等。这也是一类维度收缩效应。


图1 铁电尺寸效应的若干表现(a)不同铁电体系中本征尺寸效应导致的畴结构形态与性能[2];(b) BiFeO3椭球颗粒的铁电居里温度与块体铁电居里温度比对尺寸的依赖关系,其中可以看到铁电性在尺寸为30 nm以下时就消失殆尽[3]


事实上,十几年前,就已经有间接实验证据证明, 即便诸如BaTiO3和PbTiO3等典型铁电体系的特征尺度小到2-3 个晶胞时,依然有铁电性存在。与此同时,清华大学的王晓慧老师等也费尽周折,证明BaTiO3 纳米颗粒小到5 nm 以下时,铁电性依然良好。不过,上述几十年研究触及的问题还没有深入到极致。极致应该是严格意义上的二维体系到底有没有铁电?与二维铁磁性比较,对二维铁电的关注直到最近才开始提到日程上来。这一态势,也给了笔者一个台阶,可以站立其上,对低维、至少对二维铁磁和铁电是不是很“铁”来品头论足一番。


3 二维铁电


从应用角度看,铁磁和铁电是一对经常被拿来做对比的材料:两者都可以用作内存材料,其存储非易失,0 和1 两个态能量上简并。这正好克服目前硅基内存能耗散热和量子隧穿的问题,尤其是在集成度越来越高、尺寸越来越小的情况下。数据读写中铁磁是读易写难,铁电则相反。最佳组合则是依靠多铁耦合实现电写磁读。对此话题,东南大学董帅等人曾经撰写过详尽的长篇综述[4]。很显然,因为有自旋电子学这杆大旗,铁磁的研究明显多于铁电。


随着石墨烯等二维材料兴起,人们想当然地赋予它们为摩尔定律续命的重任。而在此之前,铁电和铁磁薄膜的研究也可被视作其二维化的尝试。不过,在纳米尺度下,铁磁体因为超顺磁等效应并非特别“铁”,却能够获得无上青睐。而铁电体其实可以更“铁”,至今仍端坐冷板凳、关注不多。


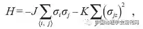
我们来看一下铁磁体的海森伯模型:


σi 是格点i 上的自旋算符。第一项J是每个自旋和近邻自旋的交换耦合,通常小于几十meV。J 越大则自旋排列越趋于一致。第二项K 则是自旋的各向异性能,其效果是让自旋和磁性的易轴方向趋于一致,但通常小于1 meV。铁磁的居里温度,用平均场的方法粗略估计,大体和一个自旋的翻转势垒成正比。


在这里,K 相较J 通常可以忽略不计,而在低维近邻自旋数目N 减少的情况下,其势垒~ NJ 能达到远大于室温的扰动kBT=26 meV 并不容易。尤其是对半导体而言,J 通常非常小。根据Mermin—Wagner 理论,如果K=0,二维铁磁是无法在有限温度下自发形成的,虽然韩拯他们说可能可以[1]


与此不同,如果铁电写作类似哈密顿形式,不少铁电材料的J 和K可以达到几百meV。即使在低维情况下, 铁电体系依然可以非常“铁”。这应该是在二维铁磁半导体历经沧桑之后,物理学家也开始关注二维铁电的主要原因之一。


可惜铁电体并没有因此在内存领域称王称霸:传统铁电体大多是迁移率糟糕的绝缘体,也因此,铁电体最多只是半导体集成器件中的gating 施主,或者介电层使用而已。如果外延生长到硅基电路表面,大多数铁电体也经常有各种界面的问题。铁电薄膜厚度低于几纳米到几十纳米时,垂直方向的极化会因巨大的退极化场而消失,或者,极化翻转到面内。


怎么办呢?一个思路是对在具有高迁移率的二维材料进行剪裁、嫁接,另一个思路是寻找本征的二维铁电体系,以实现多功能的二维铁电。


高迁移率、本征、大带隙、垂直退极化场,这些物理关键词都是不相关的,我们为什么非要将它们捆绑在一起呢?


答案是:它们新、薄、好!另外,寻找二维铁电的应用意义也凸显出来:

(1)二维材料原子级的厚度能够大大提高集成度;

(2)很多二维体系本身就是高迁移率半导体,其在硅基电路表面形成范德瓦尔斯界面。因此,制备时并不需要晶格匹配,即可形成高质量材料;

(3)适当的设计、剪裁、嫁接也许可以克服铁电极化不能傲立于面外的难题。


只是,到底能不能在若干具有良好性能的二维体系中找到或嫁接上铁电呢?到底能不能找到具有本征铁电的二维体系呢?


4 寻找二维铁电


实话说,沿此类思路去寻找铁电性二维材料并不容易。花开两朵,先表一支。


2013 年,笔者之一自诩初生牛犊,曾大胆预测通过羟基修饰石墨烯的方法可以获得石墨烯基二维铁电[5](图2(a))。之后,受曾晓成老师指点,又将类似方法拓展到多种极性基团,将一系列无极化的二维材料铁电化。这些修饰并未显著影响半导体本征的高迁移率和能带性质,看起来是一种不错的方案。另外,以不同基团修饰,还可设计出二维铁电隧道结等一系列器件[6](图2(b))。


当然,既然是铁电性,就需要在外场作用下很便利地翻转。有趣的是, 这些极性基团随电场翻转,恰似花田中向日葵一齐朝向太阳一般。因此在设计时,极化基团既要稀疏到花盘有足够大的空间翻转,又要密植到有足够大的近邻作用J。可惜,用基团嫁接之法得到的铁电极化都躺在面内,而高密度存储更需要面外极化。


图2 以化学功能化将二维材料改造出铁电性的几个例子(a)羟化石墨烯结构,可在二维甚至一维形成面内铁电。因为两个相邻羟基不同向时的能量代价非常大,即使在较高温度也能保持方向一致有序[5];(b)锗烯等二维材料以不同基团修饰可设计二维铁电隧穿结[6];(c)双层二维材料中插入卤素原子,由于共价键的饱和性和方向性可形成垂直方向的极化,并伴随着磁电耦合,极限下每个插入原子可存储1 比特:跟上层成键为“0”、跟下层成键为“1”[7]


如果在双层二维材料中插入卤素原子,由于共价键的饱和性和方向性,原理上可形成垂直方向的极化,并伴随着磁电耦合[7](图2(c))。最极端情况下,笔者可设想一种单原子铁电,完全舍弃近邻作用(J~0),只靠有限的K 就能抵抗室温热扰动。其中, 每个原子可存储1 比特:与上层原子成键记为“0”,与下层原子成键记为“1”。与此不同,对于单分子磁体来说,舍弃近邻作用(J~0)、只靠<1 meV 大小的K,却是无法抵抗温度为几开尔文的热扰动的。这是二维铁电的巨大优势。


这种插入层方案类似硅基电路中掺杂出n—p 沟道,以化学功能化的办法将二维材料改造出铁电性来。这是一种普适性的理论方案,看起来简单与实用。只是,设想虽好,如何去实现呢?事实上,时至今日,实验上鲜有进展。


花开两朵,再表另一支。我们也要将着眼点放到在二维材料中寻找本征铁电性的研究上来。


2016 年之后,具有本征铁电的二维材料探索似乎一下子花开蒂落,取得了重要进展。标志性的成果包括三个理论设计和四个实验探索工作:

(1)笔者之一预测过二维IV—VI 族材料可以借助孤对电子产生铁电/铁弹性。它们之间还相互耦合[8]( 图3(a))。不久, 清华大学陈曦、季帅华组在SnTe 薄层中实验揭示了其面内铁电性[9]

(2)南洋理工大学刘铮、王峻岭组在CuInP2S6 薄层中测出了垂直方向的铁电性,源于Cu、In 离子在垂直方向的位移[10](图3(b))。这里,三维CuInP2S6 块体本身就是亚铁电或反铁电体系,其中蹊跷尚有斟酌之处;

(3)中国科技大学朱文光组预测单层In2Se3中因Se 位移产生的垂直铁电[11](图3(c))。随后由北京大学彭海琳、刘忠范组在薄层体系中实验证实[12]

(4)笔者之一预测过一系列范德瓦尔斯双层能产生一种层间滑移的垂直铁电[13], 随后由华盛顿大学Cobden组在双层WTe2中实验证实[14]


图3 三例实验证实具有本征铁电性的二维材料(a)二维IV—VI 族材料,因IV 族元素孤对电子引起的畸变,可产生4 个对等的极化基态,导致铁电/铁弹性并相互耦合[8]。此处陈曦、季帅华组的实验数据可见于文献[9];(b)CuInP2S6中Cu、In 离子可在垂直方向位移产生铁电[10];(c)单层In2Se3中一层In 离子处于八面体中心,另一层In 离子处于四面体中心,中间层Se 可在垂直方向位移产生铁电[11]


这四例实验证实的二维铁电,无一例外都能在室温下稳定存在。与此对照,2017 年首次实验实现的二维铁磁体系CrI3 和Cr2Ge2Te6,其居里温度只有几十开尔文。


需要指出,近年来还有不少理论计算的预测等待实验证实。至少有两点值得关注:

(1)现有高迁移率半导体与铁电结合。除上述功能化二维材料外,浙江大学陆赟豪组预测的V族烯和笔者之一预测的BOX体系[15],均属于此类;

(2)二维体系中铁磁与铁电的耦合。除上述双层二维材料外,复旦大学向红军组预测的CrB2[16]、南京理工大学阚二军组预测的电荷掺杂CrI3[17]、东南大学董帅组和王金兰组预测的缺陷CrI3[18]及笔者之一预测的C6N8H 体系[19],均属此类。


有关这两方面的进展,如果感兴趣的读者,可查阅笔者之一近期以“The rise of two-dimensional Van der Waals ferroelectrics”为题发表的二维铁电综述[20]


5 疑惑与挑战


前面的阐述如果让读者兴奋了一刻的话,笔者更相信您可能也心有狐疑,内心深处会弥漫某种“不可思议、不可信、不可行”所谓“ 三不” 的感觉。笔者其实也有类似的不自信与担忧,虽然我们的确发表了数篇研究论文。


首先,与磁性不同,铁电体要求二维体系具有稳定的电偶极矩并能处于极化可翻转的有序态。众所周知,追求二维半导体的一个巨大挑战是获得较大的能隙,比如说大于1.0 eV。这是一项让物理人屡战屡败、屡败屡战的目标。同样,二维铁电也需要有较大的能隙,方能稳住铁电极化。在此态势之下,严格意义上的二维铁电只怕不是那么容易对物理人俯首称臣。


其次,的确,已经有CrB2、电荷掺杂CrI3、缺陷掺杂CrI3和C6N8H这样一些类二维铁电体系的预言,但它们未必满足严格的二维体系之定义。当然,还需要细致可靠的实验表征。


再次, 真正意义上的二维体系,要维持大小在10 μC/cm2量级的面外铁电极化,退极化场是巨大的、无与伦比的。维持其稳定所需能量与晶格相互作用能相比并不低多少。那么对称性破缺如何能够推翻能量的无上权威?


最后的、但绝不是无所谓的现状是:到今天,二维铁电,无论是计算预测还是实验观测,看起来主要都是中国人或亚洲人完成的工作。欧美甚至日本人似乎对这一“重大”问题都视而不见?!希望这种疑问不是崇洋媚外的表现。作为证据,笔者这里呈现一段欧美人对一篇二维铁电论文的审稿意见:

I note that the Refs.[9-20] which the authors claim to demonstrate2D-ferroelectricity are not widely accepted nor widely cited,and 10 out of 11 of these papers are from Asia with no verification in Europe or USA. That does not mean that they are wrong, but it does suggest that they might be artifacts if more experienced laboratories cannot reproduce them.


这段带有地域偏见的审稿意见,就像盛夏之日蓝天白云下突然降下一阵冰雹,向这一研究方向的人们泼去一波寒意。这种寒意, 就像我国在“厉害了,我的国”之后一些静静的反思一般,不是毫无用处的。


笔者也就此打住。但二维铁电的路当崎岖而宽广!


参考文献

[1] 韩拯,杨腾. 物理,2018,47(10):670

[2] Yang L et al. Polymer,2013,54:1709

[3] Khist V V et al. J. Alloys and Compounds,2017,714:303

[4] Dong S,Liu J M,Cheong SWet al. Adv. Phys.,2015,64:519

[5]Wu M H,Burton J D,Tsymbal E Y et al. Phys. Rev. B,2013,87:081406

[6]Wu M H,Dong S,Yao K et al. Nano Lett.,2016,16:7309

[7] Yang Q,XiongW,Zhu L et al. J. Am. Chem. Soc.,2017,139:11506

[8]Wu M H,Zeng X C. Nano Lett.,2016,16:3236

[9] Chang K et al. Science,2016,353:274

[10] Liu F et al. Nature Commun.,2016,7:12357

[11] DingW,Zhu J,Wang Z et al. Nature Commun.,2017,8:14956

[12] Zhou Y et al. Nano Lett.,2017,17:5508

[13] Li L,Wu M H. ACS Nano,2017,11:6382

[14] Fei Z et al. Nature,2018,560:336

[15]Wu M H,Zeng X C. Nano Lett.,2017,17:6309

[16] LuoW,Xu K,Xiang H. Phys. Rev. B,2017,96:235415

[17] Huang C,Du Y,Wu H et al. Phys. Rev. Lett.,2018,120:147601

[18] Zhao Y,Lin L,Zhou Q et al. Nano Lett.,2018,18:2943

[19] Tu Z,Wu M H,Zeng X C. J. Phys. Chem. Lett.,2017,8:1973

[20]Wu M H,Puru J. WIREs Comput. Mol. Sci.,2018,8:e1365


本文选自《物理》2018年第12期



十大热门文章

1. 一幅图读懂量子力学(下)

2. 真空不空| 涂涛 郭光灿

3. 吾爱吾师及真理——大师间的师生情 | 周末大家谈

4. 为纪念物理大师费曼百年诞辰而作 | 赵凯华

5. 纪念费曼 | 姬扬

6. 关于统计力学的基本原理 | 郑伟谋

7. 物理英才‖曹则贤带你解析大自然的花样

8. 超导“小时代”之三十七:超导之从鱼到渔

9. 科学的一生——怀念父亲程开甲 | 程漱玉

10. 量子十问之二:“爱因斯坦幽灵”能用来实现超光速通信吗?| 郭光灿

END

登录查看更多
9

相关内容

【CVPR2020-港中文】 图像识别中的自注意力探索
专知会员服务
56+阅读 · 2020年4月29日
【CVPR2020】图神经网络中的几何原理连接
专知会员服务
57+阅读 · 2020年4月8日
【论文笔记】自注意力图池化
专知
82+阅读 · 2019年11月18日
手把手解释实现频谱图卷积
AI科技评论
9+阅读 · 2019年9月9日
特征方程的物理意义
算法与数学之美
7+阅读 · 2019年5月13日
清华美女学霸数学笔记曝光, 精美程度无与伦比
算法与数学之美
7+阅读 · 2019年3月22日
机器学习的5种距离度量方法
七月在线实验室
9+阅读 · 2018年5月18日
【财富空间】一个人真正的资本是什么
产业智能官
6+阅读 · 2018年3月16日
傅里叶变换和拉普拉斯变换的物理解释及区别
算法与数学之美
11+阅读 · 2018年2月5日
如何简单形象又有趣地讲解神经网络是什么?
算法与数据结构
5+阅读 · 2018年1月5日
自然语言处理 (三) 之 word embedding
DeepLearning中文论坛
19+阅读 · 2015年8月3日
Labeling Panoramas with Spherical Hourglass Networks
Arxiv
5+阅读 · 2015年9月14日
VIP会员
最新内容
以色列-美国-伊朗战争中的无人机:关键要点
专知会员服务
1+阅读 · 34分钟前
《Palantir任务保障性软件安全标准(MA-S2)》
专知会员服务
2+阅读 · 49分钟前
基于声学的无人机检测技术综述
专知会员服务
3+阅读 · 今天13:37
《当代混合战争分析框架:俄乌战争经验教训》
专知会员服务
3+阅读 · 今天13:11
战略前沿人工智能的再思考(中文)
专知会员服务
7+阅读 · 5月29日
《量化地基防空系统间接效应的博弈论方法》
专知会员服务
5+阅读 · 5月29日
“史诗怒火行动”中美军损失的作战飞机
专知会员服务
6+阅读 · 5月29日
ICML 2026 | 理解上下文持续学习中的泛化与遗忘
专知会员服务
5+阅读 · 5月28日
相关资讯
【论文笔记】自注意力图池化
专知
82+阅读 · 2019年11月18日
手把手解释实现频谱图卷积
AI科技评论
9+阅读 · 2019年9月9日
特征方程的物理意义
算法与数学之美
7+阅读 · 2019年5月13日
清华美女学霸数学笔记曝光, 精美程度无与伦比
算法与数学之美
7+阅读 · 2019年3月22日
机器学习的5种距离度量方法
七月在线实验室
9+阅读 · 2018年5月18日
【财富空间】一个人真正的资本是什么
产业智能官
6+阅读 · 2018年3月16日
傅里叶变换和拉普拉斯变换的物理解释及区别
算法与数学之美
11+阅读 · 2018年2月5日
如何简单形象又有趣地讲解神经网络是什么?
算法与数据结构
5+阅读 · 2018年1月5日
自然语言处理 (三) 之 word embedding
DeepLearning中文论坛
19+阅读 · 2015年8月3日
Top
微信扫码咨询专知VIP会员