STEM教学能提高学生创造力?——基于42项实验研究的元分析

2019 年 7 月 3 日 MOOC

| 全文共10455字,建议阅读时长9分钟 |


 本文由《开放教育研究》授权发布

作者:周榕 李世瑾

摘要

培养创造力被认为是STEM教学的主要目标。然而,STEM教学真地能提高学生创造力吗?国内外学者已开展了大量实验与准实验研究,研究结论尚未统一。鉴于此,本研究采用元分析方法,以“STEM教学对学生创造力的影响”为主题,对2008-2018年国内外42项实验研究文献进行量化统计。研究发现:1)纳入研究的合并效应值为0.36,这说明STEM教学对提高学生创造力具有中等偏小的正向影响,且在创新思维、创新实践能力、创新人格与心理等层面不存在显著差异;2)从学段看,STEM教学对高中生创造力影响最大;3)从学科看,在创新科技类学科(信息技术、STEM课程、机器人、3D打印等)中实施STEM教学,对创造力的促进效果较明显;4)从教学周期看,实验周期愈长,STEM教学对创造力的影响效果愈明显;5)从教学主题看,科学探究和原型创造类教学主题对创造力的影响较明显;6)从教学方式看,探究式、问题式、设计式和项目式教学对创造力有中等偏小的正向影响,且四类教学方式无显著差异;7)从教学场域看,实验室和生活场景类教学场域对创造力影响较明显。基于上述发现,本研究建议降低STEM学习的认知负荷,优化STEM教学主题设计,实现STEM教学的学段贯通以及构建STEM教学的创新场域。

关键词:STEM教学;创造力;元分析;调节效应


一、问题提出


STEM教育的主要目标是培养学生创新精神、创新能力和实践能力( Parker et al.,2015;余胜泉等,2015)。能否形成创造性文化和创新性成果,被认为是判断STEM教育发展阶段的重要指标(赵慧臣等,2017)。然而,STEM教学是多学科融合、面向复杂学习的过程,其对创造能力的影响须借助严谨的实验加以验证,而非简单体验或主观判断(Judson,2014)。因此,国内外学者积极开展实验研究,探讨STEM教学与创造力的关系,并得出三种迥然不同的结论。


第一种观点认为,STEM教学对学生的创造力确实有提升作用。例如,韩国庆尚大学孔梁云等通过实验研究发现,STEM教学能显著提高小学四年级学生的创新实践能力,其中科学探究、工程设计能力提升最明显(Kong&Huo,2014)。雷诺兹等通过STEM教学发现,实验组的创新思维与创新心理显著高于对照组(Reynolds et al.,2008)。吴永和等(2018)通过实验研究发现,STEM教学实践活动能显著提高大学生的学习兴趣及跨学科创新实践能力。孙江山等(2016)利用心理旋转测试和威廉斯创造力量表,发现STEM活动能显著提高初中生的创新思维和空间能力。


第二种研究结论证实STEM教学能提升部分学习能力,但对创造力无直接影响。例如,耶伊尔德勒姆等研究发现,STEM教学对小学生的创造力没有显著影响,但对小学生的学习兴趣、动手实践能力有正向作用(Yildirim& Sidekli,2018)。张屹(2017)、赵月(2018)等研究表明,STEM实践对小学生的自我效能感、问题解决能力、小组协作与交流能力等有显著作用,但对创造力无正向影响。


第三种结论全面否定了STEM教学对创造力的影响。例如,卡维耶蒂等(Cervetti et al.,2012)以937名小学生为研究对象,开展以阅读理解、科学写作为主题的STEM教学结果显示,小学生的创造力没有显著变化。汤斯(Townes,2016)的研究同样表明,STEM教学并未显著提升初中生的学习态度、创造力水平。


元分析是对同一主题的多项实验结论进行分析的量化研究方法。它通过计算平均效应值( Effect Size,简称ES),探寻结论不一致的单项研究之间的共性,从而获得普适的研究结论(Lipsey & Wilson,2000)本研究对国内外42项实证研究进行元分析,尝试回答:1)STEM教学真地能提高学生创造力吗?2)STEM教学提升创造力,是否受学段、学科、教学周期、教学主题、教学方式及教学场域等的影响?


二、研究方法与过程


元分析方法遵循严格的程序,组织、抽取、整合、分析同类研究,并以平均效应值客观评价现有研究结论。本研究严格按照哈里斯・库伯等的元分析步骤开展文献分析(Cooper et al.,2009)。


(一)研究方法


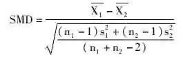
本研究提取42项研究的样本量、均值、标准差等参数,采用实验组与控制组之间的标准化均差值为效应值(Standardized Mean Difference,简称SMD),并以此效应值表征STEM教学对学生创造力影响的整体效果,其函数关系为:

 


n1和n2分别表示实验组和对照组的样本量,X1和X2分别表示实验组和对照组的均值,s1和s2分别表示实验组和对照组的标准差。


(二)研究过程


1.文献检索


文献检索分两轮进行。第一轮是在中国知网(CNKI)、万方数据库、维普数据库(VPCS)以及Google Scholar、Web of Science、ERIC等数据库中进行大范围检索。其中,STEM教学搜索关键词包括“STEM Teaching”“STEAM Teaching”“STEM Learning”“STAEM Learning”,创造力关键词包括“Creativity”“Creative Achievement”“Creative Ability”。


第二轮采取引文回溯法,即利用参考文献追溯查找“引文”。本研究在剔除重复文献后,共获得7938篇文献;初步筛选样本题目、摘要后得到586篇文献;对文献全文初读得到263篇文献。


2.遴选标准


文献遴选标准如下:1)研究主题为STEM教学对学生创造力的影响;2)研究方法为随机对照实验或准实验研究;3)实验对象为在校学生,不包括社会人士或成人学习者;4)研究数据应包含平均值、标准差、样本量、t值、P值等,以便计算出实验效应值。本研究最终获得42篇有效文献样本(国外文献25篇,国内文献17篇),符合元分析统计“样本量不少于30”的分析标准(宋伟等,2013)。此外,实验总样本为6680,效应值为80(部分研究包括多个效应值)。


3.特征值编码


不同研究通常包括多个特征值。为便于分析,本研究将文献作者、出版年份、实验人数(实验组与对照组人数)、学习者学段、教学学科、教学周期、教学主题、教学方式及教学场域作为编码对象。两位研究员对42个样本进行独立编码,Cohen Kappa一致性系数为0.92,满足0.7的统计学要求,说明特征值编码结果有效( Yildirim&Simsek,2011)。


学段编码包括小学(1~6年级)、初中(7~9年级)、高中(10~12年级)、大学及以上(专科、本科及研究生)。学科编码为数学、机器人、科学、STEM、地理、化学、生物、信息技术和3D打印。教学周期编码为0~3个月、3~6个月和6个月以上。参照不同的实践目标(傅骞等,2016),教学主题编码为结果验证、科学探究、工程制作和原型创造。教学方式编码包括探究式、问题式、设计式及项目式。教学场域编码包括普通课堂、实验室与生活场景。


本研究参照“脑—手—心创造力模型”(Kozbelt et al.,2010),将创造力类别编码为A类:创新思维(逻辑思维、批判思维、跨学科思维、发现问题、解决问题、创新想象、空间能力);B类:创新实践能力(科学探究、实践操作、工程设计、技术应用能力);C类:创新人格与心理(认知能力、团队合作、主动参与、学习兴趣、学习态度)。实验结果编码为提高、部分提高、未提高(见表一)。



4.数据分析框架与工具


本研究将STEM教学设定为自变量,创造力(创新思维、创新实践、创新人格)为因变量,学段、学科、教学周期、教学主题、教学方式和教学场域为调节变量,以 Review Manager 5.3(Rev Man)为数据分析工具,利用漏斗图、森林图、效应值、异质性检验等分析结果表征研究效应。


三、研究结果


(一)发表偏倚检验


罗斯坦等强调,元分析样本出现发表偏倚时,会导致效应值远大于实验真实值,直接影响元分析结果的准确性和可靠性(Rothstein et al.,2006)。本研究采用漏斗图对42项样本进行发表偏倚检测。样本源均分布于漏斗图的上部有效区域,两侧数据对称且向中线靠拢,说明纳入的42项元分析样本科学有效,出现发表偏倚的可能性极小(见图1)。



(二)异质性检验


异质性检验是防止因存在异质性而无法合并效应值。研究采取统计量方法判断样本的异质性程度。通常,≥75%时采用随机效应模型,0≤≤75%时采用固定效应模型消除异质性,以防研究结果出现偏差(Borenstein et al.,2009)。42项元分析样本的异质性结果(见表二),故本研究采用随机效应模型消除样本的异质性,以保证分析结果的科学性。



(三)STEM教学对学生创造力的影响


本研究首先分析 STEM教学对学生创造力影响的整体效应,然后从创新思维、创新实践能力以及创新人格与心理三方面探究STEM教学对不同类别创造力的影响效果。


1.STEM教学对创造力的影响


STEM教学对创造力影响的整体效应森林图见图2。结果显示,42项实验研究的合并效应值SMD为0.36,其95%CI为0.24~0.48,Z=5.93(P<0.05),达到显著水平。根据科恩效应值统计理论,0.2、0.5、0.8、1分别表示影响效果的较小、中度、中上、较强水平(Cohen,1992)。STEM教学对创造力影响的合并效应值处于0.2至0.5之间,说明整体而言,STEM教学能够在中等偏小程度提高学生的创造力。



2.STEM教学对不同类别创造力的影响


STEM教学对不同类别创造力的影响见表三。所有类别创造力的效应值均大于0,说明STEM教学对不同类别的创造力有正向影响。A类创新思维SMD=0.42,B类创新实践能力SMD=0.44,C类创新人格与心理SMD=0.33。三者的效应值均小于0.5,说明STEM教学对创新思维、创新实践能力以及创新人格与心理的提升作用均处于中等偏下水平。



从组间效应看,这说明STEM教学对不同类别创造力的影响不存在显著差异。


(四)调节变量效果检验


本研究通过分析学习者学段、教学学科、教学周期、教学主题、教学方式及教学场域等六类调节变量的影响差异,探究STEM教学中影响创造力生成的关键要素。


1.学段的调节效应


STEM教学在不同学段对创造力的调节作用明显不同,其组间效应,P=0.047<0.05(见表四)。效应值排序为高中(SMD=0.52)>初中(SMD=0.44)>大学及以上(SMD=0.38)>小学(SMD=0.20),说明STEM教学在高中阶段的影响最明显,达到中等程度。STEM教学对初中、大学及以上、小学的学习者创造力的影响较低,均处于中等偏下程度。国内普遍认为,高中阶段学业压力大,无法长期和有效开展STEM教学。但STEM理念真正渗透到日常教学,将对提升高中阶段的学习绩效产生关键作用。



2.学科的调节效应


不同学科对创造力发展的影响差异显著,其组间效应,P=0.004<0.05(见表五)。效应值排序为:信息技术(SMD=0.81)>STEM课程(SMD=0.48)>机器人(SMD=0.44)>3D打印(SMD=0.36)>化学(SMD=0.34)>数学(SMD=0.32)>科学(SMD=0.25)>生物(SMD=0.19)>地理(SMD=0.08),说明在创新科技类学科(如信息技术、STEM课程、机器人、3D打印等)中实施STEM教学,对创造力的促进效果最明显,而在生物、地理等传统学科的应用效果较弱。



3.教学周期的调节效应


不同教学周期对创造力的调节作用差异显著,组间效应,P=0.032<0.05(见表六)。效应值排序显示,实验周期愈长,STEM教学对创造力的影响效果愈明显。持续6个月以上的教学,对创造力的提升作用达到中等程度(SMD=0.48);3-6个月的教学效果稍差(SMD=0.44);低于3个月的教学,创造力培养绩效仅达到较低水平(SMD=0.27)。这与罗宾逊等的研究结果一致,即学生创造力的受影响程度与教学周期正相关(Robinson et al.,2014)。



4.教学主题的调节效应


四类主题的STEM教学对创造力都有正向影响,其效应值处于0.4~0.6之间(见表七)。组间效应,P=0.018<0.05。其中,科学探究类(SMD=0.53)、原型创造类(SMD=0.51)教学主题对创造力培养有中等偏上效果,工程制造类(SMD=0.48)、结果验证类(SMD=0.42)等主题的培养效果为中等偏下程度。从验证型STEM到探究型STEM,研究成分越来越多,STEM学习就是实现从验证到创新的突破,增强学习者的自主性和创造性(吕延会,2017)。



5.教学方式的调节效应


问题式、探究式、设计式和项目式等教学方式对创造力培养有正向影响,效应值处于0.3-0.5之间(见表八)。不同教学方式的组间效应10.46,P=0.072>0.05,无显著差异。这说明教学方式并非是影响创造力生成的决定因素,不存在绝对意义的“最佳方法”或“黄金模式”,探寻与教学目标和内容相适应的恰当方式,才是STEM教学设计的核心任务。



6.教学场域的调节效果


三种场域对创造力的影响效果差异明显,其组间效应 P=0.009<0.05。其中,STEM实验室、STEM学习中心等场所的教学效果最佳(SMD=0.37),在各类生活场景(家庭环境、社会场所、校外场馆等)开展教学的效果稍弱(SMD=0.33),普通课堂实施教学的效果最差(SMD=0.24)。这符合布尔迪厄场域理论的基本假设:作为连接社会和个人的中介,教学场域的活动资源和技术支持越丰富和越有针对性,有效学习行为越可能发生。


四、结论与讨论


元分析结果表明,STEM教学能整体提高学生的创造力,但对创新思维、创新实践能力及创新人格与心理不存在显著影响。学段、学科、教学周期、教学主题及教学场域等变量均对创造力培养效果有显著正向影响和明显调节作用,但不同教学方式带来的差异不显著。


(一)STEM教学对创造力的积极正向影响


元分析结果表明,STEM教学能激发创新思维及创造行为。其作用机制可理解为:STEM整合相互分离、割裂的学科知识,使学生按照关联、动态、系统的方式理解世界,在发散思维—聚合思维的迭代循环中发展创新思维(Park&Yoo,2013)。同时,STEM教学通过面向真实情境的复杂问题,引导学生经历完整的科学求证过程(Tati et al.,2017),从中获得创新实践的直观体验、非良构知识、科学理性及自我管理策略。此外,STEM教学能通过协作活动,支持不同认知水平、思维特征和知识背景的学生进行自我表达,在互通情感和相互激励中建立自我认知,塑造创新人格与心理。


然而,STEM教学对不同类别创造力的最大效应值为0.44,仍属中等偏小程度。这说明STEM教学的实际成效并不尽如人意。研究表明,STEM教学对教师和学生提出了更高要求( Yildirim&Sevi,2016)。STEM学习中,无论是知识综合应用、复杂问题的创造性解决还是科学探究活动的完成,都依赖于动作图示、符号图示或运算图示的正确运用。当学生认知图式不健全或者图示构建存在困难时,会产生认知负荷。过高认知负荷使创新成为“精神的负担”,而非“快乐的源泉”(Yildirim et al.,2018)。这提醒我们,应理性认识STEM学习中的认知障碍,并通过控制认知负荷提升STEM教学绩效。


(二)不同变量对创造力培养的调节效应


调节效应检验结果表明,STEM教学对创造力的影响存在边界条件,体现在学段、学科、教学周期、教学主题、教学场域及教学方式等方面。


学段方面,STEM教学对高中生创造力提升最显著,根源在于心智模型(简洁思维、发散思维、逻辑思维和逆向思维)成熟度对创造力生成的影响。高中阶段的学生学科知识储备基本完成,问题解决所需的智慧技能与学习管理所需的认知策略也已具备。路・塞兹等证明,高中阶段是自我认同形成和发展的关键时期,高中生跨学科应用STEM知识的实践需求会刺激认同感的保持(Lou et al.,2010)。可以说,高中生的知识水平与心智水平均处于创造力发生的最佳阶段,因而能在STEM学习中获得高绩效。


学科方面,创新科技类课程最容易实现创造力培养。可能的原因是,创新科技类学科基于信息技术展开,新技术本身对创新意愿刺激较强。加之此类学科内容多以设计、制作等创造性应用为主,更贴近STEM教学要求。教师开展教学设计时,亦容易将跨学科的概念融入产品制作或原型设计。而且,创新科技类活动是创造性、开放式的问题解决过程,能为学生提供创新实践、综合应用STEM相关学科知识的机会,促进学生高阶认知和创新机制的发生(Cotabish et al., 2013)。


教学周期方面,STEM教学持续时间越久,创造力培养效果越明显。这与雷诺兹等关于学生创新能力培养与教学周期正向相关的研究结论一致(Reynolds et al.,2008)。STEM教学持续周期越长,学生完成复杂学习和深度学习的经验越丰富,能够建立充分的自信以应对创新活动的困难与阻碍。罗宾逊等指出,教学周期越长,学生对STEM元认知及角色期待越明显,越倾向于参与自主探究活动,并在合作交流中形成乐观自信的态度Robinson et al.2014


教学主题方面,科学探究与原型创造类主题较工程制造与结果验证类主题,更易激发创造力。对比可知,前两类主题面向学习者“未知”的对象,强调逻辑推断、探索求真或者艺术想象与创意实现,需要逻辑的左脑思维与发散的右脑思维交替互补才能完成。后两类主题面向“已知”的现象或“可见”的产品,强调知识的综合理解与工程实践,更多依赖左脑思维。因此,将开放式探究有效融入探索实践,引发全脑思维,是STEM教学主题设计的关键(王佑镁,2019)。


教学方式方面,采用问题式、探究式、设计式或项目式教学不会对创造力培养带来明显影响。科学哲学理论认为,创新思维发生的起点和基础是科学问题(付冰垚,2014)。这类问题需包含足够的科学知识、方法论和经验性材料。同时,它还必须能从多角度分析,且有助于更好地实践。无论这种科学问题最终表现为挑战性问题、设计型任务、探究式任务还是综合性研究项目,只要具备上述特征,就满足激发创新思维的条件。


教学场域方面,在实验室进行STEM教学更有利于培养创造力。事实上,STEM教学场域可理解为由参与创新活动的要素相互作用而构成的实践网络(张国举,2007)。各种外在的因素通过场域的社会关系空间对创新主体产生作用,使其表现出特定的创新属性和行为特征。实验室能有效连接正式学习与非正式学习、真实环境与虚拟空间。较之普通课堂,实验室提供的资源和关系网络更系统,更容易协调STEM教学的创新主体、行为和结果间的关系,获得更多创造性成果。


五、思考与启示


基于元分析结果,STEM教学应关注对认知负荷的控制,并充分利用学段、教学周期、教学主题及教学场域的调节作用提升绩效。


(一)降低STEM学习的认知负荷


如前所述,降低认知负荷是STEM学习有效发生的必要条件。约翰・斯威勒提出的认知负荷效应理论可用于优化STEM教学(Sweller et al.,2011)。例如,用目标自由的题目代替特定目标的传统题目,促进学习迁移的发生;向学习者提供问题解决样例和部分解决方案,帮助学习者建立认知图式;利用口头和多种视觉信息代替单一的书面文字,拓展有效工作记忆的容量;精炼教师的指导内容,减轻外部认知负荷;多采用想象和心理练习替代传统的附加练习,并使用高交互的学习材料;增加任务特征、呈现方式、操作情境的可变性,并在面对高挑战性任务时,积极采用集体学习方式。


(二)优化STEM教学主题设计


元分析显示,科学探究和原型创造类教学主题对学生创造力的影响较显著。因此,STEM教学设计应积极寻找跨学科、贴近现实的主题,并尽可能提升主题的可探究性。例如,从传统学科(如科学课、数学课)的拓展内容中寻找主题,通过观察学生的日常行为发现代表性现象或问题,对社会热点问题进行筛选和梳理等。此外,借助美国国际技术与工程教育协会(ITEEA)开发的I-STEM模式(管光海,2017),教师可以对主题的领域(知、行、思)、类型(内容、特性、影响、情境、过程)、内容(包含共同核心概念和关键内容)进行界定,并最终获得跨学科和探究性的STEM教学主题。


(三)实现STEM教学的学段贯通


元分析结果表明,STEM教学对中学阶段学生创造力的影响效果较显著,对大学生的影响效果明显下降。这很大程度上是因为STEM教学尚未形成连续统。所谓连续统,指人们认识和实践的对象在时间上连续不断、空间上紧密关联、性质上相互交融的统合整体(钟志贤,2005)。STEM教学应是包括创新精神、创新潜力、创新知能、创新实践为一体的连续统。这种连续首先体现在创造力培养目标的贯通上。小学阶段的STEM教学应强调创新素养和创新潜力的培养。中学阶段的STEM教学应强调创新知能和创新思维的形成。大学阶段的STEM教学应强调高阶思维、创造性问题解决能力和创新实践能力的形成。


元分析结果同时表明,随着教学周期的延长,STEM教学对学生创造力的影响效果持续增加。因此,保持STEM课程内容和教学时间的连续,并关注学段衔接问题有重要意义。美国的经验为我们提供了两条可行之路:一是设立跨学段的STEM教学试验项目,如面向小学、初中和高中的项目引路(Project Lead The Way)以及面向初中、高中和大学的Ten80学生汽车挑战赛(Ten80 Student Racing Challenge)项目(CTEq,2013);二是构建跨学段的STEM连贯课程群,如亚利桑那州立大学联合宇航局开发的面向小学至研究生阶段的火星教育项目STEM课程(Mars Education at Arizona State University,2002),北卡罗来纳州科学和数学学校设立的贯穿初中、高中和大学等学段的精英课程等( NCSSM,2016)。


(四)构建STEM教学的创新场域


依据布迪厄场域理论,教学场域被认为是物理形态场域与意义形态场域的相互交融(马维娜,2003)。STEM教学场域的物理形态表现为适应创新的环境资本(即创新资源条件),精神形态表现为创新主体的性情倾向系统(即惯习,主体在场域中积淀下来的主观精神结构,如态度、行为习惯和价值观)。元分析结果表明,STEM实验室更有利于培养创造力,正是源于其所具有的丰富资源和良好的创新氛围。


因此,STEM教学应尽可能将有利于创新的资源链接起来。这方面可效仿北美大学联盟的做法(Kober,2015),以现有电教中心或电教室为基础,整合校园网、多媒体教室、智慧教室、创客空间、学科实验室等校内资源,并联合博物馆、科技馆、图书馆、行业基地等校外资源,构建融合性的“STEM学习中心;同时,关注STEM教学场域中对惯习的塑造,通过建立“尊重创造”的价值导向、打造积极的创造行为者、提高创造结果的精神回报、形成“科学为本”的思维默契,最终完成创新自觉和科学精神的养成。


总之,本研究对国内外42项实证数据进行元分析,对“STEM教学真地提高了创造力吗?”问题作出基本回答。研究仍存在不足:一是研究样本局限于中英文文献,会因语言的局限漏检部分文献;二是调节变量效应值的样本数量较少。未来还需持续关注STEM教学实证研究的新结论,并通过引入更多视角挖掘影响创造力的潜在调节变量,如基于学生视角的STEM学习协作参与度、交互复杂度,基于教师视角的STEM教学内容整合方式、学习支持服务类型与技术应用水平,以及基于管理者视角的STEM教学师资配置政策、绩效考核方式等。

 


基金项目:2013年陕西师范大学中央高校基本科研业务费专项资金项目一般项目“信息环境下免费师范生专业创新能力协同成长机制与策略研究”(13 SZYB14)。


作者简介:周榕(通讯作者),博士,副教授,硕士生导师,陕西师范大学教育学院,研究方向:STEM教育、智慧教育与创新能力;李世瑾,硕士研究生,陕西师范大学教育学院,研究方向:STEM教育。


转载自:《开放教育研究》2019年6月 第25卷第3期

排版、插图来自公众号:MOOC(微信号:openonline)


新维空间站相关业务联系:

董老师 15210808569

琚老师 15210770713


微信公众号又双叒叕改版啦

快把“MOOC”设为星标

不错过每日好文

喜欢我们就多一次点赞多一次分享吧~


有缘的人终会相聚,慕客君想了想,要是不分享出来,怕我们会擦肩而过~


《预约、体验——新维空间站》

《【会员招募】“新维空间站”1年100场活动等你来加入》

有缘的人总会相聚——MOOC公号招募长期合作者


产权及免责声明 本文系“MOOC”公号转载、编辑的文章,编辑后增加的插图均来自于互联网,对文中观点保持中立,对所包含内容的准确性、可靠性或者完整性不提供任何明示或暗示的保证,不对文章观点负责,仅作分享之用,文章版权及插图属于原作者。如果分享内容侵犯您的版权或者非授权发布,请及时与我们联系,我们会及时内审核处理。


了解在线教育,
把握MOOC国际发展前沿,请关注:

微信公号:openonline
公号昵称:MOOC

 

登录查看更多
0

相关内容

【ACL2020】利用模拟退火实现无监督复述
专知会员服务
14+阅读 · 2020年5月26日
人机对抗智能技术
专知会员服务
214+阅读 · 2020年5月3日
大数据安全技术研究进展
专知会员服务
96+阅读 · 2020年5月2日
中科大-人工智能方向专业课程2020《脑与认知科学导论》
2019年人工智能行业现状与发展趋势报告,52页ppt
专知会员服务
124+阅读 · 2019年10月10日
人工智能在教育领域的应用探析
MOOC
14+阅读 · 2019年3月16日
Arxiv
5+阅读 · 2019年4月21日
Conditional BERT Contextual Augmentation
Arxiv
8+阅读 · 2018年12月17日
Arxiv
8+阅读 · 2018年11月27日
Arxiv
5+阅读 · 2018年5月10日
Arxiv
27+阅读 · 2018年4月12日
Arxiv
7+阅读 · 2018年1月18日
VIP会员
最新内容
人工智能在战场行动中的演进及伊朗案例
专知会员服务
6+阅读 · 4月18日
美AI公司Anthropic推出网络安全模型“Mythos”
专知会员服务
4+阅读 · 4月18日
【博士论文】面向城市环境的可解释计算机视觉
大语言模型的自改进机制:技术综述与未来展望
《第四代军事特种作战部队选拔与评估》
专知会员服务
3+阅读 · 4月18日
相关VIP内容
【ACL2020】利用模拟退火实现无监督复述
专知会员服务
14+阅读 · 2020年5月26日
人机对抗智能技术
专知会员服务
214+阅读 · 2020年5月3日
大数据安全技术研究进展
专知会员服务
96+阅读 · 2020年5月2日
中科大-人工智能方向专业课程2020《脑与认知科学导论》
2019年人工智能行业现状与发展趋势报告,52页ppt
专知会员服务
124+阅读 · 2019年10月10日
Top
微信扫码咨询专知VIP会员