Facebook频谱图模型生成比尔·盖茨声音,性能完胜WaveNet、MAESTRO

2019 年 6 月 14 日 AI100

作者 | James Vincent 等
编译 | 夕颜、Monanfei
出品 | AI科技大本营(ID:rgznai100)

计算机生成语音领域,正在酝酿着和一场革命。Facebook 工程师们设计创建的机器学习模型 MelNet 就是一个启示。

下面这段听起来怪异的话像极了比尔·盖茨是吧?

但事实上,这几句话是 Facebook 的工程师们设计创建的机器学习模型 MelNet 生成的。AI 合成逼真语音已不是新鲜事,George Takei、Jane Goodall、Stephen Hawking 等大佬的声音早已被模仿了个遍,而且逼真程度让人惊叹。Facebook 此次合成的声音样本还有很多,可以在这里查看:https://audio-samples.github.io/

那么,这次合成比尔·盖茨声音背后的技术有何区别呢?答案是生成声音的机器学习模型 MelNet是通过一种叫做频谱图的技术实现的。而且实验表明,这个模型的性能高于此前曾红火一时的 SampleRNN 和 WaveNet 等模型。

MelNet 的出现并非平地一声雷。最近几年,语音克隆的质量一直在稳步提高,最近著名美国播客 Joe Rogan 的声音克隆证明了我们到底已经走了多远。追溯到 2016 年,AI 声音克隆技术已经有了很大的发展,SampleRNN 和 WaveNet 横空出世,后者是由位于伦敦的人工智能实验室 DeepMind 创建的机器学习文本到语音转换程序,该实验室现在为 Google 智能助理提供支持。

MelNet 技术解读

在论文中,Facebook 的工程师对 MelNet 进行了详解,我们从中摘取重要部分进行了解读。

论文地址:https://arxiv.org/pdf/1906.01083.pdf

本文的主要贡献如下:

  • 提出了 MelNet。一个语谱图的生成模型,它结合了细粒度的自回归模型和多尺度生成过程,能够同时捕获局部和全局的结构。

  • 展示了 MelNet 在长程依赖性上卓越的性能

  • 展示了 MelNet 在多种音频生成任务上优秀的能力:无条件语音生成任务、音乐生成任务、文字转语音合成任务。而且在这些任务上,MelNet 都是端到端的实现。


摘要

WaveNet、SampleRNN 和类似程序的基本方法是为 AU 系统提供大量数据,并用它来分析人声中的细微差别。(早一点的文本到语音系统不会生成音频,而是进行重构:将语音样本切割成音素,然后拼接在一起创建新单词。)当 WaveNet 和其他模型使用音频波形进行训练时,Facebook 的 MelNet 已经可以使用更多、包含更丰富信息的密集格式:频谱图。

(注:频谱可以表示一个信号是由哪些频率的弦波所组成,也可以看出各频率弦波的大小及相位等信息,是分析振动参数的主要工具)

为了捕获音频波形中的高级结构,本文将时域的波形转化为二维时频的表达,通过将高度表达的概率模型和多尺度的生成模型相结合,提出了一种能够生成高保真音频样本的模型,该模型能够在时间尺度上捕获结构信息,而现存的时域模型尚未实现该功能。为了验证模型的有效性,本文将模型运用到多种音频生成任务,包括无条件语音生成、音乐生成,以及文字转语音合成。运用人工判别和密度估计的评价方法,本文模型的效果都超越了现存的模型。

MelNet 捕捉“高层结构”更胜一筹

在一篇随附的论文(https://arxiv.org/pdf/1906.01083.pdf)中,Facebook 的研究人员指出,虽然 WaveNet 生成更高保真的音频输出,但 MelNet 在捕捉“高层结构”方面更胜一筹——说话者的声音中包含了微妙的一致性,而这几乎无法用文字描述,但是人的耳朵很好地辨别出来。

他们表示,这是因为频谱图中捕获的数据比音频波形中的数据“更紧凑”。这种密度允许算法产生更一致的声音,而不是被波形记录的极端细节分散和磨练(使用过于简单的人类比喻)。

具体来说,在剧烈变化的时间尺度上,音频波形具有复杂的结构,这对音频生成模型提出了挑战。局部结构用于产生高保真音频,跨越数万个时间步长的长程依赖性,则用于产生全局一致的音频,同时捕获局部结构和长程依赖性,是一项很具有挑战的任务。WaveNet 和 SampleRNN 等现存的生成模型擅长捕获局部依赖性,但是它们无法捕获长时的高级结构。基于此,本文引入了一种新的音频生成模型,它捕获了比先存模型更为长程的依赖性。该模型主要通过建模2D时频表示来实现这一目标,如下图所示。

建模频谱图可以简化捕获全局结构的任务,但是会削弱与音频保真度相关的局部特征的捕获。为了减少信息损失,我们对高分辨率频谱图进行了建模。为了限制过度平滑,我们使用了高度表达的自回归模型,在时间和频率维度上对分布进行了分解。除此之外,为了捕获具有数十万个维度的频谱图中的局部和全局结构,我们采用了多尺度的方法,由粗略到精细的方式生成了频谱图。结合这些表征和建模技术,我们可以提出了高度表达、广泛适用且完全端到端的音频生成模型 MelNet。

缺陷:无法复制人类声音在较长时间内的变化

但是,MelNet 也有一些缺陷,其中最重要的一点是该模型无法复制人类声音在较长时间内的变化。有趣的是,这类似于我们在 AI 文本生成中的限制,它只能捕获表面级别的一致性,而不是长期结构。

抛开这些缺陷,MelNet 取得的结果非常好。此外,MelNet 是一个多功能系统,它不仅可以产生逼真的声音,还可以用于生成音乐(虽然有时候输出有点差强人意,但不能以商业用途标准来衡量)。


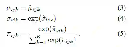
概率模型

本文使用了自回归模型,将语谱图 x 的联合分布作为条件分布的乘积进行分解。联合概率分解如下:

然后,我们用高斯混合模型对其中的每个因子进行建模,每个因子可以被分解如下:

其中图片: https://uploader.shimo.im/f/EInGnyOdsdgBDRKS.png是某个神经网络的输出,为了确保网络输出能够参数化一个有效的高斯混合模型,网络首先要计算无约束的参数,让后再对参数实施以下的限制:

上述限制保证了正的标准差,以及保证了混合系数的和为 1 。


MelNet 网络结构

类似图像空间分布的逐点估计,MelNet 模型在语谱图的时间和频率维度上,对元素的分布逐个进行估计。由于语谱图在频率轴上,没有平移不变性,因此本模型用多维递归代替了 2D 卷积。该模型和 Gated PixelCNN 的结构较为相似,都采用了多层堆叠(stacks)的结构,它们用于提取输入中不同片段的特征,进而综合所有的信息。该模型主要有两类 stack:

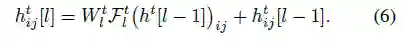
  • Time-delayed stack: 综合历史所有频谱帧的信息

  • Frequency-delayed stack: 针对某一频谱帧,使用该帧中所有元素的信息,以及 time-dealyed stack 的输出信息,从而计算所有提取到的信息。

这些 stacks 之间相互连接,简单来讲,第 L 层 time-delayed stack 提取的特征,将作为第 L 层 frequency-delayed stack 的输入。为了能够训练更深的网路,两类 stack 内部都采用了残差连接。最后一层 frequency-delayed stack 的输出用于计算非受限的高斯混合参数。


Time-delayed stack

Time-delayed stack 使用了多层多维 RNN来提取历史频谱帧的信息,每层多维RNN 都由 3个1-D RNN组成:一个沿着频率轴向前推进,一个沿着频率轴向后推进,一个沿着时间轴向前推进,如下图所示。

每个 Time-delayed stack 的功能可以用下面的式子表示:


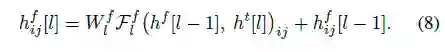
Frequency-delayed stack

Frequency-delayed stack 由1个 1-D RNN组成,该 RNN 沿频率轴向前推进,如下图所示。

Frequency-delayed stack 具有两个输入:前一层的 Frequency-delayed stack 输出,以及当前层的 Time-delayed stack 输出。两个输入简单相加后作为当前层的 Frequency-delayed stack 的最终输入,表达式如下:

在网络的最后一层中,对 Frequency-delayed stack 进行一个线性映射,从而得到非受限的高斯混合参数:

下图所示为网络中每层的 Time-delayed stack 和 Frequency-delayed stack 的连接方式:


Centralized Stack

为了获取更加集中的特征表示,MelNet 模型选择性地加入了 Centralized Stack 。Centralized Stack 由一个 RNN 组成,在每个时间步长下,接受一整帧频谱作为输入,输出由 RNN 隐状态组成的单个向量,公式如下:

Centralized Stack 的输出将作为 Frequency-delayed stack 的输入,因此,Frequency-delayed stack 将会有三个输入。


条件信息

为了将额外的条件信息(例如说话人 ID)加入到模型中,我们将条件特征 z 沿着输入语谱图 x 的方向,简单投影到输入层,公式如下所示。


学习对齐

如何将语谱帧和离散字符对齐,是端到端文字转语音任务的关键点,为了学习这一功能,MelNet 模型采用了注意力机制,该机制是基于位置的高斯混合注意力的一种直接变体。如下图所示,为本模型所学习到的对齐效果。


多尺度建模

为了提高合成音频的保真度,我们生成了高分辨率的语谱图,它与相应的时域表示具有相同的维度。由于高维的分布对于自回归模型具有很大的挑战,我们使用了一种多尺度的方法,有效地置换自回归排序,从而由粗到细地生成语谱图。


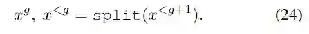
训练

首先对每帧语谱图进行降采样,从而生成不同分辨率的语谱图。具体做法如下:将语谱图 x 的列标记为奇列和偶列,所有偶列按顺序组合成新的语谱图,剩余的奇列重复前面的操作,从而得到不同分辨率的语谱图,具体操作用 split 函数代替,如下所示:

然后我们用低分辨率的语谱图来重建高分辨率的语谱图。在此过程中,我们引入了由一个多维RNN组成的特征提取网络,它由4 个 1-D RNN 组成,用于在各个低分辨率语谱图的两个轴上双向运行,最终生成高分辨率的语谱图。


采样

为了得到高分辨率的结果,我们利用网络学习到的参数,在受限于图片: https://uploader.shimo.im/f/vT2XqPWPsYYitpw7.png的情况下,迭代地对图片: https://uploader.shimo.im/f/WkQfHvaeGq4yQdcd.png进行采样,公式如下:

当一个完整的语谱图生成后,采样过程就停止了迭代,生成的各级别分辨率的语谱图如下所示:

采样过程的示意图如下所示:


实验结果


数据集

  • Blizzard:由专业人士以高度动画的方式进行的有声读物叙述

  • MAESTRO:包括超过 172 小时的钢琴独奏表演

  • VoxCeleb2:超过 2000 小时的语音数据,包括笑声、串扰、频道效果、音乐和其他声音。 该数据集也是多语言的,包括来自 145 个不同国籍的演讲者,涵盖了广泛的口音、年龄、种族和语言

  • TED-LIUM 3:包括长达 452 小时的 TED 演讲

模型的超参数

结果

在无条件音频生成任务上,Facebook 团队进行了三个子实验,分别是单说活人语音生成,多说话人语音生成,以及音乐生成,分别使用 Blizzard、VoxCeleb2 和 MAESTRO 数据集进行实验。实验中,将本文的 MelNet 和 现存的 WaveNet 模型进行比较,采用人工判别的方法来评价两者的生成长时结构语音的性能,从下图可以看出,MelNet 的性能要好于 WaveNet 。

在文字转语音合成的任务上,进行了三个子实验,分别是单说活人 TTS,多说话人 TTS,以及密度估计实验。实验中,将本文的 MelNet 和 现存的 MAESTRO 模型进行比较,从下图可以看出,MelNet 的性能要好于 MAESTRO 。

对于密度估计实验,将本文的衍生模型 MelNet: Gaussian 和 MelNet: GMM,与 Diagonal Gaussian、VAE: Global z、VAE: Local z 进行比较,实验结果如下,可以看到 MelNet 可以极大地改善无条件语音生成和 TTS 的密度估计。


结论

这种用于语谱表示的生成模型 MelNet 将高度表达的自回归模型与多尺度模型方案相结合,在局部和全局尺度上生成具有真实结构的高分辨率语谱图。与直接模拟时域信号的模型相比,MelNet 更加适合模拟长程的时间依赖性。实验表明,MelNet 在各种任务中均表现了优秀的性能。

老调重谈:它是把双刃剑

与以往一样,这项技术同样也是一把双刃剑。它能带来什么好处呢?答案很明显,比如帮助创建更高质量的 AI 助手;对于有语言障碍的人,它是实用的语音模型;此外,还可以用于娱乐业。危险也显而易见? 比如破坏对传统证据形式的信任,以及音频骚扰、诈骗和越来越普遍的诽谤。

还记得最近的一项研究吗?如果你想对一段人物特写视频进行重新编辑,只需要对视频所对应的文本内容进行修改,随后人脸会根据修改的文本内容作出与之相配的动作表达,这会造成什么样的后果难以想象。AI 科技大本营在《“篡改”视频脚本,让特朗普轻松“变脸”?AI Deepfake再升级》中对此进行报道。

当然,等到类似技术更加普遍应用之时,会给传统影视行业造成巨大冲击倒是可以预见的,毕竟人脸可以生成,声音可以生成,明星们连出镜,甚至配音的麻烦都可以直接跳过,因为 AI 可以帮他们一键搞定,也许某一天,我们会发现,明星们的盈利模式将变成“人脸出租”?

原文链接:
https://www.theverge.com/2019/6/10/18659897/ai-voice-clone-bill-gates-facebook-melnet-speech-generation
https://arxiv.org/pdf/1906.01083.pdf

(*本文为 AI科技大本营编译文章,转载请微信联系 1092722531


公开课精彩推荐



本次课程将会介绍如何利用TensorRT加速YOLO目标检测,课程将会着重介绍编程方法。本次课程还会涉及到 TensorRT 中数据类型,流处理,多精度推理等细节的展示。本次课程特色是讲解+示例分享。本次课程中,QA也是一个非常精彩的环节。




推荐阅读

你点的每个“在看”,我都认真当成了喜欢
登录查看更多
3

相关内容

自回归模型:PixelCNN
专知会员服务
29+阅读 · 2020年3月21日
【NeurIPS2019】图变换网络:Graph Transformer Network
专知会员服务
112+阅读 · 2019年11月25日
近期声学领域前沿论文(No. 3)
深度学习每日摘要
24+阅读 · 2019年3月31日
改进语音识别性能的数据增强技巧
深度学习每日摘要
8+阅读 · 2018年4月22日
SampleRNN语音合成模型
深度学习每日摘要
4+阅读 · 2017年7月3日
Geometric Graph Convolutional Neural Networks
Arxiv
10+阅读 · 2019年9月11日
Self-Attention Graph Pooling
Arxiv
5+阅读 · 2019年4月17日
Deep Graph Infomax
Arxiv
17+阅读 · 2018年12月21日
Arxiv
7+阅读 · 2018年9月27日
Arxiv
8+阅读 · 2018年5月21日
Arxiv
7+阅读 · 2018年3月12日
Arxiv
7+阅读 · 2018年1月24日
VIP会员
最新内容
以色列-美国-伊朗战争中的无人机:关键要点
专知会员服务
2+阅读 · 今天14:04
《Palantir任务保障性软件安全标准(MA-S2)》
专知会员服务
6+阅读 · 今天13:49
基于声学的无人机检测技术综述
专知会员服务
5+阅读 · 今天13:37
《当代混合战争分析框架:俄乌战争经验教训》
专知会员服务
5+阅读 · 今天13:11
战略前沿人工智能的再思考(中文)
专知会员服务
7+阅读 · 5月29日
《量化地基防空系统间接效应的博弈论方法》
专知会员服务
5+阅读 · 5月29日
“史诗怒火行动”中美军损失的作战飞机
专知会员服务
6+阅读 · 5月29日
ICML 2026 | 理解上下文持续学习中的泛化与遗忘
专知会员服务
5+阅读 · 5月28日
相关论文
Geometric Graph Convolutional Neural Networks
Arxiv
10+阅读 · 2019年9月11日
Self-Attention Graph Pooling
Arxiv
5+阅读 · 2019年4月17日
Deep Graph Infomax
Arxiv
17+阅读 · 2018年12月21日
Arxiv
7+阅读 · 2018年9月27日
Arxiv
8+阅读 · 2018年5月21日
Arxiv
7+阅读 · 2018年3月12日
Arxiv
7+阅读 · 2018年1月24日
Top
微信扫码咨询专知VIP会员