深度学习工程师必看:更简单的超分辨重构方法拿走不谢

2020 年 4 月 2 日 CSDN

作者 | Yong Guo, Jian Chen等
译者 | 刘畅
出品 | AI科技大本营(ID:rgznai100)
通过学习从低分辨率(LR)图像到高分辨率(HR)图像之间的非线性映射函数,深度神经网络在图像超分辨率(SR)任务上取得了较好的性能。
但是,现有的SR方法存在两个缺点:第一,学习从LR到HR图像的映射函数通常是一个不适定问题,因为存在无限的HR图像可以降采样为同一LR图像,这使得很难找到一个好的解决方案。第二,成对的LR-HR数据在实际应用中可能并不适用,因为图像退化的方法通常是未知的。对于这种更一般的情况,现有的SR模型通常会产生较差的性能。
为了解决上述问题,本文提出了一种对偶回归方法,它通过引入对LR数据的附加约束来减少函数的解空间。
具体而言,除了学习从LR到HR图像的映射外,本文方法还学习了另外的对偶回归映射,用于估计下采样的内核并重建LR图像,从而形成了一个闭环,可以提供额外的监督。
更关键的是,由于对偶回归过程不依赖于HR图像,因此我们可以直接从LR图像中学习。从这个意义上讲,我们可以轻松地将SR模型适应于真实场景的数据,例如来自YouTube的原始视频。实验结果证明了本文方法是优于现有方法,且能在真实场景上取得较好的结果。

引言

深度神经网络(DNN)已成为许多实际应用的主力军方法,包括图像分类,视频理解等等。
最近,图像超分辨率(SR)已成为一个热门的方向,它主要是学习从低分辨率(LR)图像到高分辨率(HR)图像之间的非线性映射。目前已经提出了许多基于深度学习的超分辨重构方法。但是,这些方法主要有两个局限:
第一,学习从LR到HR图像的映射通常是一个不适定问题,因为存在无限多可能的HR图像可以降采样获得相同的LR图像。这会导致LR映射到HR图像的解空间变得极大。因此很难在如此大的空间中学习到好的解决方案,模型性能受到限制。为了提高SR的性能,可以通过增加模型的复杂度来设计有效的模型,例如EDSR,DBPN和RCAN。但是,这些方法仍然存在解空间大的问题,从而导致超分辨性能有限,不会产生细致的纹理(见图1)。因此,如何减少映射函数的解空间以提高SR模型的性能成为了比较重要的问题。
第二,当无法获取配对的数据时,很难获得较好的SR模型。这是由于大多数SR方法都依赖于成对的训练数据,即HR图像及其Bicubic降级后的LR图。但是实际情况是,未配对的数据通常更多。而且,真实世界的数据不一定与通过特定的降采样方法(例如,双三次)获得的LR图像具有相同的分布。因此,能处理实际场景的SR模型是非常具有挑战性的。更关键的是,如果我们将现有的SR模型直接应用于现实世界的数据,它们通常会带来严重的泛化性问题,并产生较差的性能。因此,如何有效利用未配对的数据以使SR模型适应实际应用是一个比较重要的问题。
在本文中,作者提出了一种新的对偶回归方法,该方案形成了一个闭环用以增强SR性能。
为了解决第一个问题,本文引入了一个额外的约束来减少可能的解空间,以使超分辨图像可以重构输入的LR图像。
理想情况下,如果来自LR→HR的映射是最佳的,那么可以对超分辨图像进行降采样以获得相同的输入LR图像。在这样的约束下,我们能够估计出下采样内核,从而减少可能的函数空间,找到从LR到HR较好的映射。因此,这会变得更容易获得好的SR模型(请参见图1中的比较)。
为了解决第二个问题,由于LR图像的回归不依赖于HR图像,因此我们的方法可以直接从LR图像中学习。通过这种方式,本文方法可以轻松地将SR模型调整为适用于现实世界中的LR数据,例如来自Youtube的原始视频。实验证明了本文的方法优于SOTA方法。
本文的贡献总结如下:
  • 本文通过引入其他约束条件提出了对偶回归方法,以便形成闭环的映射,可以增强SR模型的性能。此外,本文还从理论上分析了该方案的泛化能力,从而进一步证实了该方案是优于现有的方法。
  • 本文研究了更通用的超分辨率情况,如没有相应HR数据的真实LR数据。利用提出的对偶回归方法,可以轻松地将深度模型调整为适用于现实世界的数据,例如YouTube的原始视频。
  • 利用配对的训练数据和未配对的真实场景数据做了大量的SR实验,证明了本文所提出的对偶回归方法在图像超分辨率中的有效性。

方法

本文提出了一种对偶回归方法来处理配对的和非配对的训练数据,以实现超分辨率(SR)重构。总体的训练方案如图2所示。
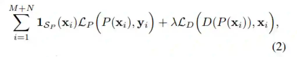
针对配对的训练 数据,主要是 通过对LR数据引入了一个附加约束,除了学习LR 到HR的映射外,本文还学习了从超分辨图像到LR图像的逆映射。实际上,作者将SR问题公式化为涉及两个回归任务的对偶回归模型。损失函数如下图所示,包含两部分,一个是P网络的损失,一个是D网络的损失,权重推荐设置为0.1。
针对未配对的训练 数据,作者还考虑了 更一般的SR情况,对应真实场景的数据,是没有对应的HR数据可以用于训练。因此作者提出了一种有效的训练方法,可以使SR模型更适应新的LR数据,训练算法如下所示。
这是一种半监督的学习方法,使用配对的数据训练P网络,使用没有配对的数据训练D网络。目标函数如下,其中当使用有标签的数据时,1Sp为1,当使用没有标签的数据时,1Sp为0。
网络的整体结构如下图所示,它是基于U-Net设计的超分辨网络。本文的DRN模型由两部分组成:原始网络和对偶网络。作者还给出了详细的理论证明,这里就不赘述了,详情可以参见论文。

实验

作者在具有成对的Bicubic数据和不成对的真实数据情况下,对图像超分辨率任务进行了广泛的对比实验。所有实现均是基于PyTorch框架。测试数据集是五个基准数据集,包括SET5,SET14,BSDS100,URBAN100和MANGA109。评价指标是常用的PSNR和SSIM。训练集是DIV2K和Flickr2K数据集。
作者首先展示了4x和8x SR的性能和模型大小的比较。在实验中,作者提出了两种模型,即小模型DRN-S和大模型DRN-L。而对比的方法是从它们的预训练模型,开源的代码或是原始论文中获得的结果。结果如下
还提供了4倍超分辨和8倍超分辨下,各方法性能对比的曲线图。
作者还研究了P网络和D网络两个损失函数之间的权重影响。以及是否加对偶学习的影响。如下表格所示。
最后,作者对比了在真实场景下的重构效果,这里仅展示了视觉上的结果。也对比了使用不同插值方法下的效果,可发现本文的效果均是最优的。 

结论

在本文中,作者提出了一种针对配对和非配对数据的对偶回归方法。在配对数据上,作者通过重构LR图像来引入解空间的约束,可以显著提高SR模型的性能。此外,本文还将重点放在未配对的数据上,并将对偶回归方法应用于实际数据,例如来自YouTube的原始视频。对成对和非成对数据的大量实验证明了本文的方法是优于基准方法。

论文地址:

https://arxiv.org/pdf/2003.07018.pdf

【End】
晚8点 ,我们一起来看Sophon KG如何追寻新冠病毒轨迹,运用AI技术、工具建立相关知识图谱,通过确诊案例的亲属、同事和朋友的关系网找出密切接触者进行及时隔离,同时刻画出确诊案例的活动轨迹,找到其关系网之外的密切接触者及病毒可能的“行凶环境”。

推荐阅读 

154万AI开发者用数据告诉你,中国AI如何才能弯道超车?

中国无人机“老炮儿”回忆录

罗永浩抖音直播首秀:3小时1.1亿;微软曝三屏折叠机专利;Linux Mint 20仅提供64位版本

“死扛”高并发大流量,大麦抢票的技术涅槃之路

比特币由"蒙面人"创造,那下一个"比特币"还会由蒙面人创造吗?

在容器上构建持续部署及最佳实践初探

你点的每一个在看,我认真当成了喜欢

点击阅读原文,参与报名!

登录查看更多
1

相关内容

图像超分辨率(SR)是提高图像分辨率的一类重要的图像处理技术以及计算机视觉中的视频。
【CMU】深度学习模型中集成优化、约束和控制,33页ppt
专知会员服务
46+阅读 · 2020年5月23日
近期必读的5篇 CVPR 2019【图卷积网络】相关论文和代码
专知会员服务
33+阅读 · 2020年1月10日
基于深度学习的超分辨率图像技术一览
极市平台
17+阅读 · 2019年8月24日
放大的艺术 | 基于深度学习的单图超分辨
AI科技评论
7+阅读 · 2019年8月21日
图像超分辨率网络:RCAN
极市平台
7+阅读 · 2019年8月18日
【CVPR2019】弱监督图像分类建模
深度学习大讲堂
38+阅读 · 2019年7月25日
如何处理多种退化类型的卷积超分辨率
算法与数学之美
6+阅读 · 2018年6月1日
深度学习之图像超分辨重建技术
机器学习研究会
12+阅读 · 2018年3月24日
Meta-Transfer Learning for Zero-Shot Super-Resolution
Arxiv
43+阅读 · 2020年2月27日
Arxiv
3+阅读 · 2018年4月18日
VIP会员
最新内容
人工智能在战场行动中的演进及伊朗案例
专知会员服务
2+阅读 · 今天13:08
美AI公司Anthropic推出网络安全模型“Mythos”
专知会员服务
2+阅读 · 今天12:58
【博士论文】面向城市环境的可解释计算机视觉
专知会员服务
0+阅读 · 今天12:57
大语言模型的自改进机制:技术综述与未来展望
专知会员服务
0+阅读 · 今天12:50
《第四代军事特种作战部队选拔与评估》
专知会员服务
1+阅读 · 今天6:23
相关资讯
基于深度学习的超分辨率图像技术一览
极市平台
17+阅读 · 2019年8月24日
放大的艺术 | 基于深度学习的单图超分辨
AI科技评论
7+阅读 · 2019年8月21日
图像超分辨率网络:RCAN
极市平台
7+阅读 · 2019年8月18日
【CVPR2019】弱监督图像分类建模
深度学习大讲堂
38+阅读 · 2019年7月25日
如何处理多种退化类型的卷积超分辨率
算法与数学之美
6+阅读 · 2018年6月1日
深度学习之图像超分辨重建技术
机器学习研究会
12+阅读 · 2018年3月24日
Top
微信扫码咨询专知VIP会员