「对方正在输入…」,这句话对聊天带来了哪些影响?

2020 年 1 月 6 日 人人都是产品经理

关注并将「人人都是产品经理」设为星标

每天早 07 : 45 按时送达


一个本是为了提供聊天即时反馈的功能,在人类对于时间的主观感受下,却带来了许多负作用。在「对方正在输入…」的显示过程中,人类衍生出或积极消极的想法,种种猜想甚至能够延伸到银河系之外。面对这样的困扰,或许最简单的办法,是视而不见。


作者:暗涌

微信公众号:暗涌的心理话

题图由正版图库 图虫创意 授权

全文共 3160 字 5 图,阅读需要 7 分钟


—————— BEGIN ——————


从时间知觉的角度看,「对方正在输入…」这个功能带来的负作用>正作用——换句话说,这个功能或许有不如没有。


这项专利的拥有者设计这个功能的初衷是:


当时的实时聊天软件并不会告诉你,对方是否有对你发出的消息做出相应(如 IRC 和 AIM),要么就是直接显示用户实时键入的字符(如 Unixtalk 和 ICQ)。但我们希望在不侵犯用户隐私的同时,兼顾通信效率,提供一个让彼此都能得到反馈的指示。


也就是说,功能发明者原本希望通过「对方正在输入…」来提高沟通的即时反馈性


01


初衷是好的,但设计者忽略了一个非常重要的点:我们心理上感知到的时间和实际的物理时间是有很大差别的


人类不同于其他动物之处在于,可以用智慧去记录更加准确的时间。所以,就有了远古时代在骨头上做标记,有了日历,有了日晷,有了漏刻,有了机械钟表,有了秒表,有了原子钟。


尽管人类对物理时间的掌控越来越精确,但脱离计时设备,我们直接感知到的时间却向来很主观(time perception)。


举个例子:


当你处在愉悦状态时,你可能会美滋滋地跟你的好朋友说:我男朋友对我挺好的,回复我的消息从来不会超过三分钟。


当你处在生气状态时,你却可能会恶狠狠地对你的好朋友说:我那个辣鸡男朋友,竟然隔了三分钟才回复我消息。


研究发现:处于积极情绪时,我们感知到的时间会更短;相反,消极情绪下对时间的感知会变长。


最真实的莫过于此:


你回到家准备休息了,领导给你发来消息,你心情顿时很烦躁。总算等到领导把活儿交待完了,你准备关掉手机睡觉,结果出现了「对方正在输入…」的提示——这关掉也不是,不关掉也不是,烦躁的情绪会让你觉得度秒如年。


实际上,我们对持续时间(时距)的知觉受到多方面的影响


其中一个重点就是:微信的「对方正在输入…」功能使得我们感知到的等待时间加长了。





「对方正在输入…」的提示并没有真的闪动五分钟,持续的物理时间可能只有十来秒,但我们却感觉好像过了很久。


02


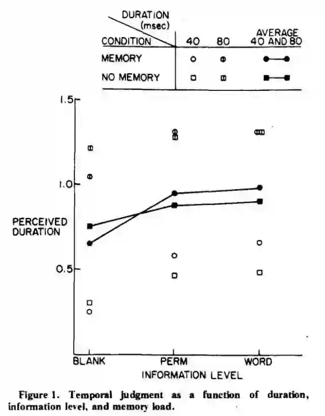
斯坦福大学心理学家Thomas(1975)做了相关实验,他们为了探究认知过程对时间觉知产生的影响,设计了以下的实验——给参与者呈现不同条件下的界面,让他们估计界面持续的时间。


实验采用2(靶目标呈现时间:40ms,80ms)×3(靶目标:空白界面,3个字母的无意义组合,3个字母的单词)×2(认知水平:需要记忆字母;不需要记忆字母)被试内设计。


屏幕首先呈现1s的黑屏,黑屏以后会出现一个界面,参与实验的学生需要对这个界面的持续时间进行按键判断;时间持续很短(20s左右)按键0,时间持续中等(60s左右)按键1,时间持续很长(100s左右)按键2(实验事先已经给参与者进行了时间估计的练习)。


需要判断的界面会随机出现两种刺激:


  1. 持续40ms:空白界面;无意义字母组合的界面;有意义字母(单词)的界面;

  2. 持续80ms:空白界面;无意义字母组合的界面;有意义字母(单词)的界面。


第一种情景下,学生只需要作出主观判断,通过按键,来判断刚才的界面呈现了多长时间。


第二种情景下,学生不仅要通过按键,来判断界面的时间长短,还需要记住界面上出现的字母。


最后的实验结果如下:



有价值的结果如下:


  • 不管需不需要记忆字母,在呈现时间相同的情况下,相较于界面中呈现字母的情况,界面空白时人们感觉等待的时间更短。

  • 需要记忆字母的情况比不需要记忆字母的情况,人们感觉等待的时间更长,并且两者的差距加大了。


由此研究者验证了以下假设:


人对时间的觉知来自两个处理器,一个是自带的计时器(time processor),你可以理解成类似于生物钟一样的东西,可以自动监测时间的变化;另一个是视觉信息处理器(visual information processor),也就是非时间信息。


这两个处理器共享注意资源。当视觉信息处理占用了更多的注意以后,原本我们自带的计时器(time processor)就不准了。在实验中,当需要同时记忆字母时,人们的注意资源也更多的被消耗,而使自带的计时器不准了,同时感知到的持续时间会越长。


03


回到微信这个「对方正在输入…」功能设计,你会发现这个过程跟上述实验有惊人的相似之处:


从你发出信息到你接受信息,这段等待时间就类似于上述的空白屏幕。假如在这个过程中,出现「对方正在输入…」的视觉提示,就类似于上述实验中呈现的有字母情况。


很显然,在这个等待过程中,「对方正在输入…」的提示占用了我们一部分的注意资源,就会使我们觉得等待的时间变长了。


当「对方正在输入…」出现在聊天界面时,我们会不由自主地进行各种猜想:


  • 他是不是有很多话想跟我说,却不好意思说?

  • 他这是要打一大段吗?

  • 怎么这么半天还没发过来,是因为忙被打断了吗?

  • ……


像我这种巨蟹宝宝,脑洞很有可能开到银河外。


这些不确定性越发增加了我们的认知负荷,消耗更多的注意资源,更容易让我们感觉到:“我等了半天,怎么就等来几个字的回复?!”


更可怕的是,这个设计有个bug,「对方正在输入…」提示到底什么时候会出现仿佛是个迷。这就更加重了我们的认知负荷,导致我们对等待时间的估计不准。


很多用户都感到云里雾里,很可能因为「对方正在输入……」把对象搞得生无可恋后,才发现原来不是他的锅。


为此,知友 @雷科技 还为大家整理了「对方正在输入……」出现和不会出现的情况。



那么如何避免「对方正在输入…」的提示带来的困扰呢?


——很简单,就当没看见。


PS:


其实,关于「对方正在输入…」这个功能到底带来了怎样的影响,其实完全可以设计成心理实验去验证。比如,放到实验情境中,设置 「有提示组」和 「无提示组」;还可以探究不同的提示时间、不同聊天内容下,人们对等待时间的感知到底是更长还是更短。


参考文献:

林苗,钱秀莹. (2012). 注意在时间知觉中的作用及其理论模型. 心理科学进展, 20(6).

Thomas, E. A. C. , & Weaver, W. B. . (1975). Cognitive processing and time perception. Attention Perception & Psychophysics, 17(4), 363-367.

Thomas, E. C. , & Brown, I. . (1974). Time perception and the filled-duration illusion. Attention Perception & Psychophysics, 16(3), 449-458.

—————— / END / ——————




—————— / 推荐阅读 / ——————


>> 微信,下的什么棋?

>> 为什么微信没有“已读”

>> 微信的“好看”,是否真的好看?

>> 微信搜一搜迈出新的一步,好戏来了

>> 从微信上,理解张小龙的“好产品设计的10个原则”


—————— / 好课精选 / ——————


对于0基础产品新人而言,想要顺利转岗产品拿下offer、高效上手产品工作,就必须要系统搭建产品知识框架、熟悉产品从想法到落地全流程,形成一定的产品思维。但这些都是难以通过自学来达到的。


在这里,向大家推荐起点学院联合腾讯课堂创办的产品入门课程「90天产品经理实战班」,带你你系统学习产品知识核心板块,实践产品从0到1全流程,掌握规范文档输出能力,达到产品岗位用人要求!


专业助教一对一为你诊断产品入门难题,报名即送Axure基础操作课程,还有精选干货资料等你来领取哦~


▼ 点击“阅读原文”开启产品之路

登录查看更多
0

相关内容

IRC(Internet Relay Chat的缩写,“因特网中继聊天”)是一种通过网络的即时聊天方式。
【CVPR2020】多模态社会媒体中危机事件分类
专知会员服务
55+阅读 · 2020年4月18日
【中科院自动化所】视觉对抗样本生成技术概述
专知会员服务
38+阅读 · 2020年4月15日
Python数据分析:过去、现在和未来,52页ppt
专知会员服务
103+阅读 · 2020年3月9日
新时期我国信息技术产业的发展
专知会员服务
71+阅读 · 2020年1月18日
生成式对抗网络GAN异常检测
专知会员服务
120+阅读 · 2019年10月13日
转岗产品经理,花了3个月都做不好需求工作
人人都是产品经理
10+阅读 · 2019年9月16日
语言处理想突破,三座大山必须过
THU数据派
6+阅读 · 2018年9月12日
人机交互如何改变人类生活 | 公开课笔记
人工智能头条
4+阅读 · 2018年7月9日
Facebook聊天AI新突破!可根据用户公开资料改变性格
DeepTech深科技
3+阅读 · 2018年2月10日
【NLP】周明:自然语言对话引擎
产业智能官
6+阅读 · 2017年10月19日
CoQA: A Conversational Question Answering Challenge
Arxiv
7+阅读 · 2018年8月21日
Arxiv
14+阅读 · 2018年4月6日
Arxiv
6+阅读 · 2018年1月14日
VIP会员
最新内容
《美陆军条例:陆军指挥政策(2026版)》
专知会员服务
7+阅读 · 今天8:10
《军用自主人工智能系统的治理与安全》
专知会员服务
5+阅读 · 今天8:02
《系统簇式多域作战规划范畴论框架》
专知会员服务
9+阅读 · 4月20日
高效视频扩散模型:进展与挑战
专知会员服务
4+阅读 · 4月20日
乌克兰前线的五项创新
专知会员服务
8+阅读 · 4月20日
 军事通信系统与设备的技术演进综述
专知会员服务
7+阅读 · 4月20日
《北约标准:医疗评估手册》174页
专知会员服务
6+阅读 · 4月20日
相关VIP内容
【CVPR2020】多模态社会媒体中危机事件分类
专知会员服务
55+阅读 · 2020年4月18日
【中科院自动化所】视觉对抗样本生成技术概述
专知会员服务
38+阅读 · 2020年4月15日
Python数据分析:过去、现在和未来,52页ppt
专知会员服务
103+阅读 · 2020年3月9日
新时期我国信息技术产业的发展
专知会员服务
71+阅读 · 2020年1月18日
生成式对抗网络GAN异常检测
专知会员服务
120+阅读 · 2019年10月13日
相关资讯
转岗产品经理,花了3个月都做不好需求工作
人人都是产品经理
10+阅读 · 2019年9月16日
语言处理想突破,三座大山必须过
THU数据派
6+阅读 · 2018年9月12日
人机交互如何改变人类生活 | 公开课笔记
人工智能头条
4+阅读 · 2018年7月9日
Facebook聊天AI新突破!可根据用户公开资料改变性格
DeepTech深科技
3+阅读 · 2018年2月10日
【NLP】周明:自然语言对话引擎
产业智能官
6+阅读 · 2017年10月19日
Top
微信扫码咨询专知VIP会员