神经网络的损失函数为什么是非凸的?

2019 年 9 月 26 日 极市平台

加入极市专业CV交流群,与6000+来自腾讯,华为,百度,北大,清华,中科院等名企名校视觉开发者互动交流!更有机会与李开复老师等大牛群内互动!

同时提供每月大咖直播分享、真实项目需求对接、干货资讯汇总,行业技术交流。关注 极市平台 公众号 ,回复 加群,立刻申请入群~


作者:覃含章

https://www.zhihu.com/question/265516791/answer/769005628

来源:知乎,已获作者授权转载,禁止二次转载。


简单说下这个问题吧。


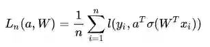
考虑最简单的一类神经网络,只有一个隐层、和输入输出层的网络。也就是说给定组样本,我们网络的经验损失函数可以写成:


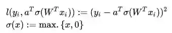
就是我们要优化的权重:代表输入层到隐层的权重, 代表隐层到输出层的权重。这里我们取 损失函数和ReLU作为我们的激活函数。即上式中(用 代表对向量每一个元素取max)



注意到虽然像取平方,ReLU激活函数 ,求内积这些“函数”单独来看都是凸的,但他们这么一复合之后就不一定是凸的了。一些常见的判断凸函数的方法请见:


怎么判断一个优化问题是凸优化还是非凸优化?

(文章链接:https://www.zhihu.com/question/334515180/answer/748981244)


为了方便说明这个函数是非凸的,我们需要一个经典引理:一个高维凸函数可以等价于无数个一维凸函数的叠加。


一个(高维)函数是凸的,当且仅当把这个函数限制到任意直线上它在定义域上仍然是凸的。这是凸分析里很基本的一个定理,不熟悉的同学不妨尝试用定义来证明它。


更正式的来说,


引理:是凸的,当且仅当

对任意,关于是凸的。


反过来也就是说,只要我们找到一点,和一个“方向” ,使得这个函数非凸就可以了! 回顾一维凸函数的定义,这就是说在这个方向上找到两个点,他们平均的函数值比他们平均值上的函数值要低就行了!


最后就是轻松愉快的画图举反例环节。这边为了说明方便,取参数空间为四维的  不过这种思路其实对任意维度的  都成立,只要画图的时候任选两个维度就好(把其它维度的值固定住)。


这里我们取真实的  。然后均匀随机地生成  个 (二维的[0,1]均匀随机向量), 就用 生成,

 是[0,0.5]的均匀随机数(这样图像看起来会比较规整)。我们固定住 ,画出采样出来的  在 上的图像:


如上红线,我们可以很轻松的找到一条使 “非凸”的线,因此证明完毕: 是非凸的。


这个本质上就是 @陈泰红 (https://www.zhihu.com/people/chenhong007/activities)答案中提到Goodfellow在Quora说的思路:“plot a cross-section of the function and look at it”,而它的正确性就是这边的引理所保证的。注意到这边如果你要用求导大法是不太容易的,因为隐层套的是ReLU激活函数,只能求次微分,看起来会稍微麻烦一些。



-End-


*延伸阅读



添加极市小助手微信(ID : cv-mart),备注:研究方向-姓名-学校/公司-城市(如:目标检测-小极-北大-深圳),即可申请加入目标检测、目标跟踪、人脸、工业检测、医学影像、三维&SLAM、图像分割等极市技术交流群,更有每月大咖直播分享、真实项目需求对接、干货资讯汇总,行业技术交流一起来让思想之光照的更远吧~


△长按添加极市小助手


△长按关注极市平台


觉得有用麻烦给个在看啦~  

登录查看更多
12

相关内容

非凸优化与统计学,89页ppt,普林斯顿Yuxin Chen博士
专知会员服务
104+阅读 · 2020年6月28日
最新《自动微分手册》77页pdf
专知会员服务
104+阅读 · 2020年6月6日
【新书册】贝叶斯神经网络,41页pdf
专知会员服务
180+阅读 · 2020年6月3日
神经网络的拓扑结构,TOPOLOGY OF DEEP NEURAL NETWORKS
专知会员服务
35+阅读 · 2020年4月15日
麻省理工学院MIT-ICLR2020《神经网络能推断出什么?》
专知会员服务
51+阅读 · 2020年2月19日
从最优化的角度看待 Softmax 损失函数
极市平台
31+阅读 · 2019年2月21日
详解常见的损失函数
七月在线实验室
20+阅读 · 2018年7月12日
干货|深度神经网络(DNN)反向传播算法(BP)
全球人工智能
7+阅读 · 2018年1月12日
理解神经网络的激活函数
论智
7+阅读 · 2018年1月8日
何恺明大神的「Focal Loss」,如何更好地理解?
PaperWeekly
10+阅读 · 2017年12月28日
从零开始:教你如何训练神经网络
机器之心
5+阅读 · 2017年12月11日
干货|浅谈神经网络中激活函数的设计
机器学习研究会
5+阅读 · 2017年10月28日
BAT机器学习面试1000题系列(第51~55题)
七月在线实验室
10+阅读 · 2017年10月8日
干货 | 深度学习之损失函数与激活函数的选择
机器学习算法与Python学习
15+阅读 · 2017年9月18日
Bivariate Beta LSTM
Arxiv
6+阅读 · 2019年10月7日
Parsimonious Bayesian deep networks
Arxiv
5+阅读 · 2018年10月17日
Arxiv
3+阅读 · 2018年8月17日
Arxiv
8+阅读 · 2018年4月8日
VIP会员
最新内容
未来的海战无人自主系统
专知会员服务
0+阅读 · 7分钟前
美军多域作战现状分析:战略、概念还是幻想?
专知会员服务
0+阅读 · 20分钟前
无人机与反无人机系统(书籍)
专知会员服务
11+阅读 · 今天6:45
美陆军2026条令:安全与机动支援
专知会员服务
3+阅读 · 今天5:49
技术、多域威慑与海上战争(报告)
专知会员服务
8+阅读 · 4月13日
“在云端防御”:提升北约数据韧性(报告)
专知会员服务
5+阅读 · 4月13日
人工智能及其在海军行动中的整合(综述)
专知会员服务
7+阅读 · 4月13日
相关资讯
从最优化的角度看待 Softmax 损失函数
极市平台
31+阅读 · 2019年2月21日
详解常见的损失函数
七月在线实验室
20+阅读 · 2018年7月12日
干货|深度神经网络(DNN)反向传播算法(BP)
全球人工智能
7+阅读 · 2018年1月12日
理解神经网络的激活函数
论智
7+阅读 · 2018年1月8日
何恺明大神的「Focal Loss」,如何更好地理解?
PaperWeekly
10+阅读 · 2017年12月28日
从零开始:教你如何训练神经网络
机器之心
5+阅读 · 2017年12月11日
干货|浅谈神经网络中激活函数的设计
机器学习研究会
5+阅读 · 2017年10月28日
BAT机器学习面试1000题系列(第51~55题)
七月在线实验室
10+阅读 · 2017年10月8日
干货 | 深度学习之损失函数与激活函数的选择
机器学习算法与Python学习
15+阅读 · 2017年9月18日
Top
微信扫码咨询专知VIP会员