二维声学系统中的拓扑相变及边界传输

2017 年 11 月 6 日 中国物理学会期刊网 张志旺 等

作者:张志旺 程营 刘晓峻 (南京大学物理学院)


1 引言


拓扑学(topology)是数学的分支,主要研究几何图形或空间在连续改变形状后还能保持不变的一些性质,比如拉伸、褶皱和弯曲,但不撕裂或粘合,重要的拓扑性质包括连通性和紧致性。通过分析空间、维度以及变换等概念,拓扑学发展成为几何学和集合论的研究领域。Leonhard Euler提出的柯尼斯堡七桥问题和多面体公式可以说是这个领域的第一个定理,代表拓扑学的诞生。虽然拓扑空间的概念在20 世纪初被提出,但早在19世纪Johann Benedict Listing 就已提出拓扑学这一术语。到20 世纪中期,拓扑学已经成为数学的一个重要分支。拓扑学的概念也逐渐被引申到其他学科领域,比如在生物学中通过纽结理论研究酶对DNA的影响;在计算机科学中运用几何拓扑学中的方法进行拓扑数据分析;在物理学中,凝聚态物理、量子场论和物理宇宙学等领域都运用了拓扑学的概念。


拓扑学在凝聚态物理中的应用可以追溯到20世纪。1960 年,Thouless 和Kosterlitz 两位科学家理论推导出在实空间二维超流/超导体系中涡旋运动的理论模型,他们发现随着温度的变化,在这种体系中存在着一种由相位无序到“准长程序”的特殊相变(Kosterlitz—Thouless 相变),这种相变是涡旋游离态到束缚态转变所导致的。之后人们发现,除了实空间,在倒空间(动量空间)中也存在着丰富和美妙的拓扑结构。1980 年,Von Klitzing在低温强磁场下发现整数量子霍尔效应。1982年,Thouless等人提出了电子态波函数的拓扑分类,发现了TKNN 不变量,即陈数(Chern number),利用这一整数,可以对所有的二维绝缘体态进行分类。在那个时期,人们在二维电子气在强磁场下形成的量子霍尔效应系统这一人造体系中实现了具有非零陈数的物质态,而具有非零陈数的天然晶体材料,只能在时间反演对称性破缺(具有自发磁性)的系统中寻找。2005 年Kane/Mele 和Bernevig/张首晟分别基于石墨烯和特殊应力场下的半导体量子阱,几乎同时提出了用自旋陈数(spin Chern number)来描述的自旋霍尔效应体系(或拓扑绝缘体),这种具有时间反演不变的二维绝缘体可以分为奇偶两类,数学上叫做Z2分类,其中奇数类具有被时间反演对称保护的狄拉克型边界态,而偶数类则没有这种受保护的边界态。


量子霍尔效应、量子自旋霍尔效应和拓扑绝缘体的发现彻底改变了人们对凝聚态物理的认知,也激发了人们对其他领域拓扑现象的研究。近几十年来,光子/声子晶体以及光/声超构材料的概念被提出,从而实现对传统波更有效的操控,比如可以实现光/声零密度材料、超透射现象、隐身斗篷以及聚焦等功能。同时,超构材料的发现也为光/声拓扑相的研究奠定了基础。首先,在光学领域,人们通过旋磁光子晶体、双各向异性超构材料以及耦合光波导等方法在二维空间实现拓扑相变。由于声波方程和光波方程的相似性,使得声学拓扑相的研究成为近年来的研究热点,声学拓扑保护边界态传输可以较好抑制背向散射,并且对缺陷有着很强的鲁棒性,使得其在声通信、噪声控制以及声、电集成中有着巨大的应用前景。本文将主要讨论声学拓扑态及其相关问题,介绍近年来二维声学系统中的类量子霍尔效应、Floquet 拓扑绝缘体、类量子自旋霍尔效应以及类谷霍尔效应的相关工作。


2 声学类量子霍尔效应


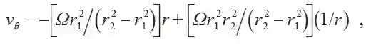
实现类量子霍尔效应需要打破T对称性(时间反演对称性),光学中可以通过外加磁场等方法实现,但是对于缺少磁场并且只有纵波模式的声波而言,如何破缺T 或者如何构建等效磁场是亟待解决的问题。2014 年,Romain Fleury 等人提出了一种利用环形流速场打破时间反演对称性的方法,并构建了声学隔离器,这一发现为实现声学类量子霍尔效应提供了可能。2015 年Zhaoju Yang 等人(同年还有其他两个研究组)在二维声学系统中利用背景流速场等效于磁场,并构造了受拓扑保护的单向边界传输态。该研究小组从可以形成狄拉克简并点的三角晶格出发,在每一个单元外围(r1<r<r2) 施加相同库艾特(Couette) 流场, 如图1(a) 所示, 流速vθ 满足:

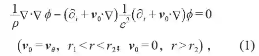
 其中r 从单元中心测量。假设可以忽略黏性和热流,声波主方程满足:


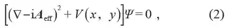
其中ρ 是流体的密度,c 是声速, v0 是背景流速。在坐标变换Ψ = √ρ ϕ 下,(1)式可写为如下形式:

其中有效矢势Aeff = - ωv0(x,y)/c2 ,标量势V (x,y) =- 1/4 |∇ln ρ|2 - 1/2∇2 ln ρ + ω2/c2 。由环形流速场产生的有效矢势可以产生等效磁场Beff = ∇×Aeff 。如图1(b)所示,由于加入流速后的等效磁场导致的时间反演对称性的破缺,能带图中原本在第一布里渊区(Brillouin zone)边界产生的狄拉克锥被打开,产生带隙。通过计算贝利联络(Berry connection)和陈数:

可以得到图1(b)所示的两条能带的陈数为+1 和-1,根据“体态—边界对应”原理,对于一个基于这种三角晶格的有限声子晶体而言,这两条能带之间的带隙中将存在单向的声拓扑边界态。如图1(c)所示,当流速Ω=2π×400 rad/s 时,在一维声子晶体(y 方向20 个单元,x 方向无限)带隙中形成群速度方向相反的单向传输边界态,分别对应于上、下边界。如图1(d)所示,进一步构造34×14 的有限大声子晶体,在上方边界入射声波,频率ω0 = 0.577 × 2πc/a , 声波将沿边界单方向传输。由于不存在背向传输边界态,缺陷将不会引起背向散射,因此在边界上引入空腔、弯曲路径 等缺陷(图1(d))都不会影响声波的单向传输,可以保证较高的传输效率。


图1 (a)背景流速场下的二维三角晶格;(b)无流速场(红色曲线,Ω=2π×0 rad/s)和有流速场(蓝色曲线,Ω=2π×400 rad/s)下声子晶体的能带结构;(c)一维声子晶体能带结构,红色曲线表示拓扑边界态,蓝色曲线表示体态;(d)边界分别无缺陷、有空腔和有弯曲3 种情况下的声压分布

   

但是,这种拓扑结构需要同步协调所有单元周围的流速场并保证具有相同流速,并且本身具有的损耗和噪声使得在实验以及实际应用中很难实现以及操控。


3 声学Floquet 拓扑绝缘体


加入背景流速场打破时间反演对称性从而构建类量子霍尔效应的方法带来的固有损耗和噪声使得其在应用上受到限制,为了解决这一问题,2016 年,Romain Fleury 等人提出了在六方晶格中进行时间和空间调制的方法,并构建了声学Floquet 拓扑绝缘体。这种理论模型是基于格点旋转的慢调制,优势在于晶格间不需要均一的相位。如图2(a)所示,在六方晶格的每个格点上有一个三聚物,可以等效为3 个声容C0 = β0V0 ,因此由3 个空腔组成的三聚物可以等效为LC 共振回路。为了打破时间反演对称性构造拓扑非平庸特性,可以用一个时间相关的局域势ΔCm(t) = δC cos(ωmt - φm) 来调制每个空腔的声容,调制强度为δC/C0 ,频率为fm = ωm/2π ,相位φm 依赖于每一个子腔m,所以这种调制给每一个三聚物施加了一个等效自旋,从而打破时间反演对称性(图2(b))。如图2(c)所示,弱的时空调制将对声子晶体的能带结构产生影响。没有调制的情况下,将在22 kHz 附近产生4 条传输能带,分别对应于群速度趋于零的能带和快狄拉克能带,由于晶体的时间反演对称性和组合的时空反演对称性,这4 条能带将在Γ和Κ点简并。进一步研究发现,当引入调制δC/C0 = 6% ,fm= 2 kHz 时,能带将沿频率轴向以ωm 为周期平移,并且在Γ和Κ点的简并态被打开,打开的大小和调制强度有关。利用时间相关的紧束缚态模型的等效哈密顿量,这个六角晶格的哈密顿量可以被改写为

其中|m> = |m1,m2,m3 >对应于构成六角晶格格点的3 个声腔。在系统的每一个周期t=nT 引入频闪演化算符

,时间相关的等效哈密顿量可以写为

,再利用等效哈密顿量的本征态|pn> 和贝利联络A=-i< pn| ∂k| pn> 得到陈数Cn = 1/2π ∫BZ(∂kx Ay - ∂ky Ax )d2k ,4条能带分别为Cn = {1,0,0, - 1} ,可以发现当施加调制时系统从平庸态转换为非平庸态。进一步研究发现,这样的经过时空调制的声子晶体存在拓扑保护的边界态传输现象。


虽然声学Floquet 拓扑绝缘体理论模型已经被提出,但是实验上实现周期性的含时调制有一定的难度,所以在实际应用中,更需要不含时的Floquet 拓扑态。2016 年Yugui Peng 等人提出了一种用超构材料波导间的耦合模型构建声学Floquet拓扑绝缘体的方法,并进行了实验验证。如图2(d)所示,这种二维晶格的一个单元是由一个位于中心的晶格环和四周4个耦合环组成,每个环是由亚波长尺寸的空气—金属层周期排列构成的超材料波导环(图2(e)),这种结构的等效折射率为

其中t,w为金属板的厚度和宽度,p 为结构的周期, ω = 2πf 表示声波的角频率。声波在晶格环中的传输方向被定义为赝自旋,即顺时针为赝自旋向上,逆时针为赝自旋向下,人为设计晶体的结构可以构造支持赝自旋轨道耦合的拓扑边界传输态。通过计算由这种单元构成的半无限大的晶体的能带结构,发现在带隙中产生了单向拓扑边界态,如图2(f)—(i)所示,进一步通过有限元仿真和实验验证了这种赝自旋—轨道耦合拓扑边界态,需要注意的是在此类模型中,两种声学赝自旋态是完全解耦的,所以这种拓扑态的缺陷免疫特性仅限于自旋不反转的情况,需要较高的加工精度。这种超构材料声波导也可以用一些基于水声环耦合模型或者空气声环耦合模型来代替,实现二维声学系统的Floquet拓扑绝缘体。


图2 (a)由声学三聚物形成的六角晶格,灰色材料为硅橡胶;(b)六角晶格的初基原胞,给每个空腔的声容C = C0 + ΔC( t) 施加一个旋转形式的时间周期性调制,频率为ωm ,调制幅度为δC ,可以在晶体中产生一种手性;(c)施加时间调制前(蓝色曲线)后(橙色曲线)的能带结构对比;(d)二维耦合超材料环状晶格的结构图;(e)空气—金属结构的细节放大图;(f,g)赝自旋向上边界态传输的声场幅值的仿真和实验结果;(h,i)赝自旋向下边界态传输的声场幅值的仿真和实验结果,相邻两个晶格环的距离为2D


4 声学类量子自旋霍尔效应


电子的自旋—轨道耦合带来了许多引人入胜的现象和重要的应用,包括拓扑绝缘体和自旋电子学。我们都知道,电子是费米子,而光子/声子是玻色子,声波和电子本质上的不同导致自旋自由度在声学系统里的缺失。虽然我们可以通过外加流速场和耦合声波导等方法构造声学赝自旋(pseudospin),进而构建声学拓扑态,但是这些方法中严苛的外界条件、精细的工业加工要求和庞大的尺寸限制了在实际中的应用。


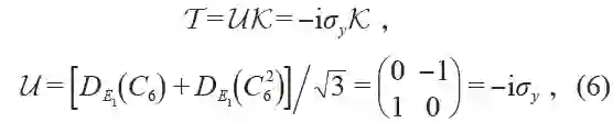
2017 年,南京大学刘晓峻教授课题组在理论上提出了在无流速背景的超材料声子晶体中构造声学赝自旋偶极子和四极子模式,并实现可调控声波拓扑传输的普遍性理论方法。首先, 如图3(a) 所示,对蜂窝状晶格声子晶体的初基原胞旋转30°并放大,使得蜂窝状晶格变为由6 个单元组成的超元胞构成的三角晶格,再通过能带折叠理论形成双狄拉克锥(图3(b))。这个系统中,赝时间反演对称性来自于声子晶体的对称性,赝时间反演算符满足:


其中, DE1(C6) 和DE1(C62) 代表C6旋转对称性下60°和120°的旋转操作, σy 是泡利(Pauli)矩阵, K 是复共轭算符,所以在这种声子晶体中满足T2 = -1的赝时间反演保护性质。然后,在保持所有单元不变的情况下仅依靠收缩或者扩大超元胞内各单元的间距(R),可以打破双狄拉克锥形成带隙。研究发现,在带隙附近的声压场分布呈现出类似于电子p/d 轨道的对称形式,而平均声强沿顺时针或逆时针转动,即产生了区别于传统声学多极子模态的有效声学赝自旋偶极子和四极子。根据经典声学理论,传统的声学多极子模式中,声波能量以固定方位向外辐射,无法形成旋转声场,声子晶体中形成的这种赝自旋多极子为二维声学系统新奇现象的进一步探索提供了可能。研究进一步发现,收缩超元胞内单元时,赝自旋偶极子模式(声压p 对称分布)频率位于赝自旋四极子模式(声压d 对称分布)之下,与传统声学理论一致;而扩大超元胞内单元间距时赝自旋偶极子模式频率跃居赝自旋四极子模式之上。同时,在这个声学系统中,通过贝利曲率计算Z2拓扑不变量,即陈数可以简化为:

其中B来自于二阶微扰项,为负值, εpd 对应于声压p/d对称分布时的本征态。根据理论分析,缩小超元胞单元间距时,M>0,所以陈数C±=0,带隙为平庸态(trivial);扩大超元胞单元间距时,M<0,所以陈数C±=±1,带隙为非平庸态(nontrivial)。总的来说,如图3(c,d)所示,由小到大地改变超元胞内单元间距,能带发生了反转,拓扑态经历了一个从平庸态到非平庸态的变化。


图3 (a)由包含6 单元的超元胞(R/a=1/3)组成的三角晶格;(b)通过能带折叠理论得出的能带结构;(c)通过收缩和扩大超元胞内单元间距打破双狄拉克锥形成带隙;(d)p/d 轨道反转,即能带发生反转;(e)一维带状声子晶体结构及其能带结构;(f)拓扑边界态声压及声强场分布


在这个拓扑体系中,两个简并的布洛赫态之间的模式杂化形成了赝自旋向上和赝自旋向下。如图3(e,f)所示,在平庸态和非平庸态声子晶体之间的边界上可以形成声赝自旋与传输轨道相耦合的声拓扑边界态,成功地在二维声学系统中构建了类量子自旋霍尔效应,赝自旋态和声传输路径的耦合形成了类似电子体系中经典的“4=2+2”轨道:自旋向下态在上边界向右传播,在下边界向左传播;自旋向上态在上边界向左传播,在下边界向右传播。经研究发现,在拓扑带隙中,同频率或者不同频率的两种赝自旋态之间的边界态传输不会形成干扰,通过调节超元胞内单元的间距可以实现可调控的、任意形状的拓扑边界,这非常有利于多变的实际应用。同时,这种拓扑保护边界态拥有背向散射抑制能力以及很好的鲁棒性,拓扑边界上的空腔、无序排列以及弯曲等缺陷不仅不会引起背向散射,而且不会改变边界声传输的自旋态。这种产生声学赝自旋多极子模式的普遍性方法还可以进一步推广到“气—液”、“固—液”、“固—气”等多种基本的声学体系中。南京大学卢明辉、陈延峰研究小组也在C6v对称性声子晶体中发现了由于偶然简并在布里渊区中心形成的双狄拉克锥,这不同于上文提到的能带折叠理论。通过调节占空比可以实现p/d对称的能带反转,并且为了研究声拓扑边界态的手征传播特性,设计了一种“x”型的分路器模型。使得赝自旋向上和赝自旋向下的声波具有完全不同的入口和出口通道,因而在空间上分离出赝自旋向上和向下的两类声子。同时,他们通过实验验证了这种类量子自旋霍尔效应的声拓扑绝缘体的鲁棒性单向传输。


5 声谷态输运


众所周知,电子具有两个内禀自由度,即电荷和自旋。除了这两个自由度,固体材料还有谷自由度(valley degree of freedom),而谷就是指能带结构中的极值点,不仅在常规半导体材料中广泛出现,也存在于当下热门的二维晶体中,如石墨烯、二硫化钼等。谷自由度的定义与电子的自旋自由度类似,所以谷自由度也被称作赝自旋,并且利用谷自由度进行信息处理具有信息不易丢失、处理速度快、能耗小、集成度高、传输距离远等优点。


2016 年,武汉大学刘正猷研究小组将电子系统谷态的概念引入到二维声子晶体中,并且在具有不同谷霍尔相的两种声子晶体之间的边界上发现拓扑边界态声传输。如图4(a)所示,可旋转的正三角形散射体排列成三角晶格,背景媒质为空气,晶格常数为a,α为旋转角,其中p 和q 代表流体基中两个不等价的晶格中心。可以看出, 当旋转角为α = 0° 时,声子晶体具有C3对称性,能带结构中将在第一布里渊区K和K'点形成狄拉克锥。当旋转角度发生偏转时( -60° < α < 60° ),正三角形散射体和晶格的镜面对称性失配,能带结构中的狄拉克锥打开形成带隙,在带隙两边形成一对极值点,也就是谷态,如图4(b)所示。由于K和K'点之间可以通过时间反演操作转换,所以可以主要研究K点谷态对应的声压场和声强场分布。研究发现,类似于电子体系的谷态,声谷态也具备手征性,在散射体之间形成了声涡旋场。如图4(c)所示,如果用+、-标记涡旋的逆、顺时针旋转方向,p、q 标记产生涡旋的位置,那么当α<0时,能带上方谷态为q,下方谷态为p;当α>0时,能带上方谷态为p,下方谷态为q。说明旋转散射体的过程中,能带经历了打开—闭合—打开的过程, 并且谷的涡旋特征在经过旋转角α = 0° 时发生了交换,类似于电子体系,这里的谷赝自旋反转意味着发生了谷霍尔相变。


图4 (a)由在三角晶格格点位置的正三角形散射体构造的声子晶体;(b)散射体的旋转角α = 0° (黑色线条)和α = -10° (彩色线条)情况下的色散曲线;(c)谷态频率随散射体转角的变化,插图为α = ±10° 时的谷态场分布;(d)上图为转角α = 10° 和50° 的散射体构成的声子晶体的能带结构图,下图为转角α = -10° 和10° 的散射体构成的声子晶体的能带结构图,说明不同谷霍尔相之间的边界上支持拓扑边界态传输;边界态的(e)宇称选择性激发和(f)动量选择性激发


这个系统中的声谷霍尔相变可以用一个α依赖的连续哈密顿量来描述,此哈密顿量可以通过k·P 微扰理论推导得到,其基矢空间由简并时谷赝自旋态张成, 哈密顿量形式为δH= vDδkx σx + vDδky σy +mvD2σz 。其中, vD 是α = 0°形成狄拉克锥时的狄拉克速度, δk 是动量空间中偏离K点的动量, σi 为泡利矩阵,等效质量定义为m= (ωq+ - ωp- )/2vD2 , ωq+p- 对应谷赝自旋q+/p-的特征频率,所以不同的谷霍尔相可以由有效质量的符号来表示。类似于石墨烯体系,可以通过哈密顿量δH 得到非平庸的贝利曲率Ω(δk) =1/2 mvD(δk2 +m2vD2)-3/2,在布里渊区内对其积分可以得到非零拓扑电荷CK = sgn(m)/2 。对于一个位于不同谷霍尔绝缘体之间的边界态,两侧的拓扑荷的变化是量子化的( |ΔCK|  = 1 ),也就意味着会产生手性的边界传输态。比如,由晶体的对称性可知, α = -10° , α = 10° 和α = 50° 的声子晶体的能带结构是相同的,但是在α = -10° 和α = 10° 两种不同谷霍尔相声子晶体之间的边界上,由于发生了等效质量的反转,所以可以在带隙内产生一对谷手征的边界传输态,如图4(d)所示。然而α = 10° 和α = 50° 两种声子晶体由于没有发生等效质量反转,所以拥有相同的谷霍尔相,在带隙中没有产生拓扑边界态。研究发现,拓扑谷霍尔边界态本质上源自单个谷的物理性质,这包含两重含义:边界态色散曲线来自于独立的谷投影;波函数由相同谷的简并基矢态线性叠加构成。谷间退耦合导致了很多有趣的边界输运现象,比如边界态的宇称/动量选择性激发,以及边界态的抗反射效应等。


6 结束语


近几年来,二维声学系统中的拓扑效应的快速发展使得拓扑声学这个研究领域成为研究热点,三维空间中的拓扑声学的理论模型也被提出。构建具有更宽频带边界态的可调控声学拓扑绝缘体还需要进一步研究,从应用角度考虑,科学家们也将进一步研究基于不同拓扑性质的声学器件,比如声隐身、声信号单向无损耗传输以及噪声控制,这些有望对军事、医学以及工业产生巨大的影响。


本文选自《物理》2017年第10期



十大热门文章

1. 回归后杨振宁先生所做的五项贡献||朱邦芬

2. 基于智能全局优化算法的理论结构预测 | 视频

3. 机器学习方法在量子多体物理中的应用

4.  深度学习在高能物理领域中的应用

5.  信息时代的天文学||视频

6.  计算机处理围棋复杂的能力压倒了人类||视频

7.  超导“小时代”之二十三:异彩纷呈不离宗

8. 物理学咬文嚼字之九十:化学元素之名

9. 刚刚,引力波探测获2017年诺贝尔物理学奖

10. 刚刚,LIGO联合全球天文研究机构共同发布了一个前所未有的大新闻!

END


更多精彩文章,请关注微信号:cpsjournals


长按指纹 > 识别图中二维码 > 添加关注
登录查看更多
2

相关内容

专知会员服务
43+阅读 · 2020年7月7日
最新《动态网络嵌入》综述论文,25页pdf
专知会员服务
138+阅读 · 2020年6月17日
最新《医学图像深度语义分割》综述论文
专知会员服务
97+阅读 · 2020年6月7日
【边缘智能综述论文】A Survey on Edge Intelligence
专知会员服务
123+阅读 · 2020年3月30日
专知会员服务
63+阅读 · 2020年3月4日
【CPS】CPS应用案例集
产业智能官
85+阅读 · 2019年8月9日
光子Ising机的前景光明
中国物理学会期刊网
6+阅读 · 2019年7月17日
自动驾驶技术解读——自动驾驶汽车决策控制系统
智能交通技术
30+阅读 · 2019年7月7日
傅里叶变换和拉普拉斯变换的物理解释及区别
算法与数学之美
11+阅读 · 2018年2月5日
一杯咖啡背后的拓扑 | 顾险峰
中国物理学会期刊网
7+阅读 · 2018年2月2日
EKF常用于目标跟踪系统的扩展卡尔曼滤波器
无人机
10+阅读 · 2017年7月25日
Arxiv
19+阅读 · 2018年6月27日
Arxiv
3+阅读 · 2018年4月18日
Arxiv
3+阅读 · 2017年10月1日
VIP会员
最新内容
无人机与反无人机系统(书籍)
专知会员服务
1+阅读 · 今天6:45
乌克兰2026年军用无人机:现代战争如何被改变
专知会员服务
1+阅读 · 今天5:53
美陆军2026条令:安全与机动支援
专知会员服务
0+阅读 · 今天5:49
技术、多域威慑与海上战争(报告)
专知会员服务
7+阅读 · 4月13日
“在云端防御”:提升北约数据韧性(报告)
专知会员服务
4+阅读 · 4月13日
人工智能及其在海军行动中的整合(综述)
专知会员服务
4+阅读 · 4月13日
相关资讯
【CPS】CPS应用案例集
产业智能官
85+阅读 · 2019年8月9日
光子Ising机的前景光明
中国物理学会期刊网
6+阅读 · 2019年7月17日
自动驾驶技术解读——自动驾驶汽车决策控制系统
智能交通技术
30+阅读 · 2019年7月7日
傅里叶变换和拉普拉斯变换的物理解释及区别
算法与数学之美
11+阅读 · 2018年2月5日
一杯咖啡背后的拓扑 | 顾险峰
中国物理学会期刊网
7+阅读 · 2018年2月2日
EKF常用于目标跟踪系统的扩展卡尔曼滤波器
无人机
10+阅读 · 2017年7月25日
Top
微信扫码咨询专知VIP会员