10的80次方比特!科学家首次计算出宇宙中包含的总信息量

2021 年 10 月 29 日 新智元



  新智元报道  

来源:网络

编辑:小咸鱼

【新智元导读】长期以来,研究人员一直认为信息与宇宙之间存在联系,希望探索如何将信息在物质世界中编码。解决这些问题可以在物理和计算的多个分支中催生出实际应用。朴茨茅斯大学的研究人员试图阐明这些信息到底有多少,并给出了宇宙中所有可见物质中编码信息量的数值估计:大约是6.036 × 10^80比特。


今年,「元宇宙」这个概念可是火的不要不要的。


Facebook积极招兵买马,招揽数千工程师全力奋战「元宇宙」,甚至连自己「Facebook」的名字都要改掉,足以看出其全面转型,构建与真实世界共存的虚拟世界的决心。

 


国内的科技大厂也没闲着,纷纷在「元宇宙」相关的VR、AR、显示头盔等领域布局。

 

所有的这些探索都是希望再造一个虚拟的世界,将它与我们真实的世界相融合。

 


但是,有没有一种可能,我们真实的宇宙其实本来就是一个「数字宇宙」呢?

 

还真有人提到过这个问题。

 

2018年,马斯克就曾在节目中说,他相信人类可能生活在一个巨大且先进的「矩阵模拟」中。

 

 

2020年,加拿大蒙特利尔大学的研究人员刊文称,一个类似德雷克方程的公式,可以计算我们生存在这一「模拟」中的可能性。

 

照这么看,我们的宇宙就好像一个巨大的计算机系统,宇宙里的每个星球,每点尘埃,每朵花,每片云,甚至每个人,都像是一串数字的代码,包含有自己的独特信息。

 

 

那么问题来了,宇宙中的「信息」该怎么样去衡量呢?

 

宇宙中有第五种物质形态?

 

20世纪20年代末以来,与物理测量、物质以及宇宙的信息内容相关的问题一直是科学争论的话题。

 

随着数字计算机、数字技术和数字数据存储的出现,信息物理的话题进入了一个新的时代。

 

1961年,Landauer首次提出热力学和信息之间的联系,证明数字信息不仅仅是一个抽象的数学实体,它实际上是物理的。

 

后来,Landauer推测宇宙可能是一台模拟自身的巨型计算机,Lloyd之后的研究进一步发展了这一观点。

 

 

随着「质量-能量-信息」等效原理的发表,Melvin M.Vopson假设「信息」是宇宙中除固体、液体、气体和等离子体之外的第五种主要物质形式。

 

这一激进的理论的观点是信息由物理系统注册,所有物理系统也都可以注册信息。

 

因此,无论人们能不能观测到宇宙中的「信息」,宇宙中应该是储存着一定数量的信息的。

 

如果宇宙中「信息」真的存在,那宇宙中储存着的信息在哪里?还有,宇宙中储存了多少信息?

 

「信息」何来? 


为了回答这个问题,让我们想象观察和分析一个随机的基本粒子。

 

假设这个粒子是一个在真空中运动的自由电子,但是你对这个粒子及其性质没有先验知识。

 

在追踪粒子并开始研究后,通过细致的测量确定粒子的质量为9.109 × 10^–31千克,电荷为1.602 × 10^–19 C,旋转1/2。

 

 

如果被观察的粒子是已经发现过的,那么在这种情况下,不就可以把它的属性与「电子」相匹配了,对吧?

 

这里关键的一点是,观察和测量的过程中,观察者并没有产生任何信息。

 

所以,描述电子或任何基本粒子的三个自由度已经嵌入了粒子本身。

 

这相当于说粒子和基本粒子储存了关于自身的信息,那么,通过外推法,信息储存在宇宙的物质中。


「信息」有多少?


怎么解答「宇宙中有多少信息」这个问题呢?

 

既然每个粒子都嵌入了自己的信息,那么用每个粒子的信息乘以宇宙中的粒子数,不就知道答案了吗?

 

每个基本粒子的信息含量

 

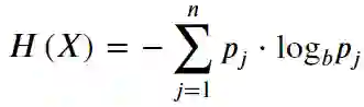
从观察一个事件的发生中提取的信息量,可以用1948年发表的香农信息论来估计。

 

 

对于发生概率为p,从观察事件中提取的信息I(p)是:


 

对于信息的二进制位,b = 2。

 

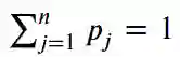
让我们假设一组n个独立而独特的事件集合X = { x1,x2,…,xn },具有概率分布P = { p1,p2,…,pn }。

 

每个事件xj可能发生的概率pj = p(xj),其中pj≥ 0,

 

根据香农的说法,每个事件的平均信息,可以在观察集合X时计算H(X):


 

举个例子,掷硬币是一个对应0或1(正或反)的双态系统。因此,n = 2,X = { 0,1 }。

 

 

假设系统上没有外部作用,那么这两种状态具有相等的概率,pj=1/n=1/2,p={ 1/2, 1/2 }。

 

那么,这个系统的信息熵是H(X) = 1,表示在此过程中编码了1位信息,这也正好对应掷硬币的结果有1位信息:是正面,而不是反面。

 

Vopson用同样的方法来估计宇宙中物质的信息含量,获得每个基本粒子编码了1.509比特的信息这一结论。

 

既然已知可观测宇宙中每个基本粒子的信息含量,那么如果知道有多少粒子,就可以计算出宇宙中物质存储的全部信息。

 

宇宙中粒子的总数

 

在计算宇宙中的粒子总数时,Vopson推导的公式精确地再现了众所周知的爱丁顿数,即可观测宇宙中质子的总数。

 

最终的计算表明,可观测的宇宙包含 4 × 10^80个粒子,这与爱丁顿给出的质子数很吻合。

 

 

所以,每个粒子储存1.509比特的信息,可观测宇宙中物质的总信息含量为6.036 × 10^80比特,这个值比前人的估计值要低不少。

 

独特的「第一次」


「这是第一次采用这种方法来测量宇宙的信息含量,它提供了一个清晰的数字预测」,Vopson说,「即使不完全准确,数值预测也为实验测试提供了一条潜在的途径」。

 

 

虽然这项研究中的方法忽略了反粒子和中微子,并对信息传递和存储做了某些假设,但它为估计每个基本粒子的信息含量提供了一个独特的工具。

 

而实际实验可以用来测试和完善这些预测,包括继续探索信息是否是宇宙中物质的第五种状态这一假设。



参考资料:

https://aip.scitation.org/doi/10.1063/5.0064475 
https://scitechdaily.com/physicist-quantifies-amount-of-information-in-entire-visible-universe/



登录查看更多
1

相关内容

企业如何探索元宇宙,如何驾驭炒作和现实?(附报告)
清华大学:2021元宇宙研究报告!
专知会员服务
234+阅读 · 2021年11月2日
专知会员服务
80+阅读 · 2021年10月19日
专知会员服务
151+阅读 · 2021年9月25日
专知会员服务
128+阅读 · 2021年8月4日
【硬核书】群论,Group Theory,135页pdf
专知会员服务
130+阅读 · 2020年6月25日
【硬核书】不完全信息决策理论,467页pdf
专知会员服务
367+阅读 · 2020年6月24日
【纽约大学】最新《离散数学》笔记,451页pdf
专知会员服务
132+阅读 · 2020年5月26日
元宇宙不是泡沫
AI前线
0+阅读 · 2022年2月7日
我想给元宇宙泼点冷水
InfoQ
0+阅读 · 2021年12月6日
30年前,钱学森就给VR取了个中国味特浓的名字
颠覆性创新:未来人人都可以构建一个元宇宙
THU数据派
1+阅读 · 2021年10月27日
Facebook,改头换脸!5年All in元宇宙,铁了心干
THU数据派
0+阅读 · 2021年10月21日
国家自然科学基金
0+阅读 · 2014年12月31日
国家自然科学基金
0+阅读 · 2014年12月31日
国家自然科学基金
0+阅读 · 2014年12月31日
国家自然科学基金
0+阅读 · 2013年12月31日
国家自然科学基金
1+阅读 · 2012年12月31日
国家自然科学基金
0+阅读 · 2012年12月31日
国家自然科学基金
0+阅读 · 2011年12月31日
国家自然科学基金
0+阅读 · 2011年12月31日
国家自然科学基金
0+阅读 · 2008年12月31日
国家自然科学基金
0+阅读 · 2008年12月31日
Arxiv
0+阅读 · 2022年4月20日
Quantum Computing -- from NISQ to PISQ
Arxiv
1+阅读 · 2022年4月15日
Arxiv
20+阅读 · 2021年9月21日
Arxiv
25+阅读 · 2021年6月25日
VIP会员
最新内容
AutoScientists:自组织智能体团队驱动长期科学实验
战略前沿人工智能的再思考(中文)
专知会员服务
3+阅读 · 今天14:53
《量化地基防空系统间接效应的博弈论方法》
专知会员服务
3+阅读 · 今天14:51
“史诗怒火行动”中美军损失的作战飞机
专知会员服务
2+阅读 · 今天14:38
ICML 2026 | 理解上下文持续学习中的泛化与遗忘
专知会员服务
5+阅读 · 5月28日
Agent Harness综述:大模型智能体执行器工程全景
专知会员服务
13+阅读 · 5月28日
《基于理论的威慑效能评估》
专知会员服务
8+阅读 · 5月28日
相关VIP内容
企业如何探索元宇宙,如何驾驭炒作和现实?(附报告)
清华大学:2021元宇宙研究报告!
专知会员服务
234+阅读 · 2021年11月2日
专知会员服务
80+阅读 · 2021年10月19日
专知会员服务
151+阅读 · 2021年9月25日
专知会员服务
128+阅读 · 2021年8月4日
【硬核书】群论,Group Theory,135页pdf
专知会员服务
130+阅读 · 2020年6月25日
【硬核书】不完全信息决策理论,467页pdf
专知会员服务
367+阅读 · 2020年6月24日
【纽约大学】最新《离散数学》笔记,451页pdf
专知会员服务
132+阅读 · 2020年5月26日
相关基金
国家自然科学基金
0+阅读 · 2014年12月31日
国家自然科学基金
0+阅读 · 2014年12月31日
国家自然科学基金
0+阅读 · 2014年12月31日
国家自然科学基金
0+阅读 · 2013年12月31日
国家自然科学基金
1+阅读 · 2012年12月31日
国家自然科学基金
0+阅读 · 2012年12月31日
国家自然科学基金
0+阅读 · 2011年12月31日
国家自然科学基金
0+阅读 · 2011年12月31日
国家自然科学基金
0+阅读 · 2008年12月31日
国家自然科学基金
0+阅读 · 2008年12月31日
Top
微信扫码咨询专知VIP会员