论文笔记 | VAIN: Attentional Multi-agent Predictive Modeling

2017 年 12 月 10 日 科技创新与创业 宋卫平

Hoshen Y. VAIN: Attentional Multi-agent Predictive Modeling[J]. arXiv preprint arXiv:1706.06122, 2017.

原文:https://arxiv.org/pdf/1706.06122.pdf

简介:

这篇文章来自多agent领域,主要讲述在其它agent的影响下,当前agent的状态如何进行更新。在本文中,作者提出了一种attention模型,每个agent的状态预测是由所有agent信息的加权整合和自身状态信息的交互完成的。

这种思想与两篇ICLR 2018 submissions,即GCN with attention mechanism,非常相近且发布较早(2017年6月)。

 

背景:

在多agent系统中,信息是极其不规则的,多个agent之间既无固定的空间结构,也没有自然的顺序关系。因此,成熟的深度学习方法CNN、RNN等不能直接应用于多agent系统的建模。已有工作IN(Interaction Networks)最早提出使用深度学习模型解决多agent系统中每个agent状态预测问题,其关键步骤是计算agent之间两两的交互特征,然后再与agent自身的非交互特征相融合。

不难看出其复杂度是agent数量的平方,大大限制了应用场景。之后,CommNet提出了一种线性的方法,去掉了计算两两交互特征,取而代之的是为每个agent计算一个服务于其它agent的特征,这个特征是独立计算的,不依赖与其它agent。因此,CommNet的复杂度降为线性。

模型:

总结IN和CommNet两种算法,一种充分利用了agent之间的交互信息但复杂度较高,一种降低复杂度的同时弱化了agent之间的交互。

本文可以看作是在CommNet的基础上,增加了attention模型。在保持线性复杂度的同时,对agent之间的交互更好地建模。

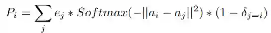
模型框架如上图。在输入层,F_i代表agent i的原始特征,如类型、位置等信息。第二部包涵两个编码器:编码器E_s将F_i转化为 agent的自身特征,编码器E_c通过F_i生成agent用来交互的特征及attention向量。在第三部,以加权平均的方式将所有agent( 不包含自身)的交互特征进行组合,计算公式如下:

第四部,作者使用拼接方式将交互特征P_i和自身特征e_i进行融合,得到中间表示C_i。然后设计了一个解码器D(全连接网络),将中间表示C_i映射为标量(回归任务)或向量(分类任务)o_i.对于分类任务,将输出o_i做softmax即可。


思考:

本文的工作与GCN with attention极其相关。个人认为,主要区别有: 
1)GCN是以图作为输入的,每个节点并非从其它所有节点接受信息而是邻居节点。
2) Attention的计算方式不同,本文的attention score计算方式区别于传统计算方法,相当于衡量两个agent的attention vector之间的欧式距离。


作者:宋卫平,北京大学在读博士,研究方向为深度学习,推荐系统,网络表示学习。

登录查看更多
4

相关内容

arXiv(X依希腊文的χ发音,读音如英语的archive)是一个收集物理学、数学、计算机科学与生物学的论文预印本的网站,始于1991年8月14日。截至2008年10月,arXiv.org已收集超过50万篇预印本;至2014年底,藏量达到1百万篇。在2014年时,约以每月8000篇的速度增加。
近期必读的5篇 WSDM 2020【图神经网络(GNN)】相关论文
专知会员服务
57+阅读 · 2020年1月10日
必读的7篇 IJCAI 2019【图神经网络(GNN)】相关论文
专知会员服务
92+阅读 · 2020年1月10日
BERT进展2019四篇必读论文
专知会员服务
70+阅读 · 2020年1月2日
六篇 CIKM 2019 必读的【图神经网络(GNN)】长文论文
专知会员服务
38+阅读 · 2019年11月3日
【论文笔记】Graph U-Nets
专知
81+阅读 · 2019年11月25日
【论文笔记】自注意力图池化
专知
82+阅读 · 2019年11月18日
精选论文 | 图深度学习【附打包下载】
人工智能前沿讲习班
11+阅读 · 2019年6月12日
论文浅尝 | Interaction Embeddings for Prediction and Explanation
开放知识图谱
11+阅读 · 2019年2月1日
《pyramid Attention Network for Semantic Segmentation》
统计学习与视觉计算组
44+阅读 · 2018年8月30日
Relation Networks for Object Detection 论文笔记
统计学习与视觉计算组
16+阅读 · 2018年4月18日
论文笔记 | Modeling MOOC Student Behavior
科技创新与创业
5+阅读 · 2017年12月25日
论文共读 | Attention is All You Need
黑龙江大学自然语言处理实验室
15+阅读 · 2017年9月7日
Arxiv
26+阅读 · 2018年2月27日
VIP会员
最新内容
《美陆军条例:陆军指挥政策(2026版)》
专知会员服务
5+阅读 · 今天8:10
《军用自主人工智能系统的治理与安全》
专知会员服务
4+阅读 · 今天8:02
《系统簇式多域作战规划范畴论框架》
专知会员服务
7+阅读 · 4月20日
高效视频扩散模型:进展与挑战
专知会员服务
3+阅读 · 4月20日
乌克兰前线的五项创新
专知会员服务
7+阅读 · 4月20日
 军事通信系统与设备的技术演进综述
专知会员服务
6+阅读 · 4月20日
《北约标准:医疗评估手册》174页
专知会员服务
5+阅读 · 4月20日
相关资讯
【论文笔记】Graph U-Nets
专知
81+阅读 · 2019年11月25日
【论文笔记】自注意力图池化
专知
82+阅读 · 2019年11月18日
精选论文 | 图深度学习【附打包下载】
人工智能前沿讲习班
11+阅读 · 2019年6月12日
论文浅尝 | Interaction Embeddings for Prediction and Explanation
开放知识图谱
11+阅读 · 2019年2月1日
《pyramid Attention Network for Semantic Segmentation》
统计学习与视觉计算组
44+阅读 · 2018年8月30日
Relation Networks for Object Detection 论文笔记
统计学习与视觉计算组
16+阅读 · 2018年4月18日
论文笔记 | Modeling MOOC Student Behavior
科技创新与创业
5+阅读 · 2017年12月25日
论文共读 | Attention is All You Need
黑龙江大学自然语言处理实验室
15+阅读 · 2017年9月7日
Top
微信扫码咨询专知VIP会员