Dynamic Zoom-in Network 论文笔记

2018 年 7 月 18 日 统计学习与视觉计算组

Dynamic Zoom-in Network for Fast Object Detection in Large Images CVPR 2018 论文 论文链接 https://arxiv.org/abs/1711.05187

1.摘要

作者提出了一个用于检测高分辨率图像中不同尺度目标的方法,减少计算量的同时,保证了检测的准确率。整体是一个从粗糙到精细(coarse-to-fine)的检测流程。先使用 R-net 检测下采样的图像,再使用 Q-net 通过强化学习选择能提高准确率的区域进行放大检测。最后实验表明,相比于直接检测高分辨率图像,作者的方法在自己的数据集上减少了 50% 的像处理,同时保证准确率不降低。

2.Dynamic zoom-in network

受 GPU 等硬件的限制,通常不能直接处理高分辨率图像。常见的处理方法有: (1)将图像划分为子图,分别检测,整合结果,检测结果较准确,但计算量较大; (2)下采样图像,检测速度较快,但检测小目标的准确率较低。 作者提出的方法,减少处理时间的同时保证了检测准确率,看一下他是怎么做的。

检测框架分为两个子网络,R-netQ-net。不过,严格的说应该有四个网络,两个检测网络,一个状态生成网络,一个动作预测网络。大体流程如下:

输入一幅下采样的图像,先粗糙(coarse)检测,然后 R-net 输出一个得分图,尺寸与输入图像相同。对于那些使用精细检测能提高 AP 的区域,得分较高;粗糙检测可以直接得到较好结果的区域,得分较低。

将得分图输入到 Q-net,通过强化学习,选择一个最优的放大检测区域,然后进行精细(fine)检测,同时将得分图上对应处理过的区域置0。迭代此过程,直到整个得分图的值都很小为止。

2.1 问题表示

Action (x,y,h,w) 表示放大区域动作。

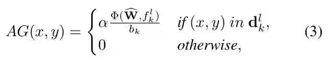
State 表示当前检测状态,由两部分组成: (1)待分析区域的 accuracy gain; (2)已经在高分辨图像中分析过的区域历史记录。 作者使用 AG map 表示上述部分。AG map 与 R-net 的输入图像大小一致。AG map 中每个像素值表示如果放大区域包含该像素值,那么有多大的可能性提升检测准确率。 因此可以根据 AG map 上像素值大小确定最优 action。当选择一个 action 后,被选择区域的 AG 值会降低,因此 AG map 可以动态的记录 action 历史。

Cost-aware reward function 表示某 state s 下某 action a 的 reward 函数,在 DQN 中使用。

前两项衡量了检测准确率提升得分(accuracy improvement),最后一项衡量了放大指定区域的计算开销(cost increment)。

k in a 表示 action a 包含的所有 proposals k。表示粗糙和精细检测的得分,是 ground truth 标签。

 b 表示被选择区域的像素个数,B 表示整个图像像素个数。

R(s,a) 的作用:训练时,Q-net 使用 R(s,a) 计算即时奖励,并通过 Q-learning 学习长时(long-term)奖励。

2.2 Zoom-in accuracy gain regression network

R-net 依据粗糙检测器来预测放大指定区域的准确率收益。R-net由一对粗糙和精细检测器训练而来,因此可以由两者之间的相关性学习到合适的准确率收益。

使用两个预训练的检测器和一组训练图片,并分别获得两组检测结果: (1)低分辨率检测:使用下采样的图像,检测结果包括

 (2)高分辨率检测:使用高分辨率图像,检测结果包括

d 是 bounding box,p 是目标概率,f 是检测结果对应的特征向量。

作者提出了一个 match layer 来匹配有关系的低分辨率和高分辨率检测结果: 如果高分辨率 bbox 预测结果与低分辨率 bbox 预测结果的 IoU>0.5,则认为两者有关系。

通过 match layer 得到一组关系,使用来度量哪个检测器更接近 GT,其中为 GT 标签。

更接近 GT 标签时,表示区域值得放大检测;否则低分辨率图像输出的结果可能更准确,因此需要避免放大该区域。

总结一下,就是得分小于0,低分辨率检测效果好,得分接近于0,那么高分辨率低分辨率效果相似,得分大于0,高分辨率检测效果好。

作者提出了一个 Correlation Regression(CR) Layer 来估计 proposal k 的放大准确率收益,优化目标为:

其中 Φ 表示要学习的回归函数,本文用两个 FC 层表示,FC1 有4096个单元,FC2 只有1个输出单元。

用 CR 层预测每个 proposals 的放大收益,并假设某个 proposal 中的每个像素对 accuracy gain 有相同贡献,那么 AG map 可以定义为:

表示中的像素个数。放大检测后,proposal 区域中的所有像素置0,防止重复处理相同的区域。

2.3 Zoom-in Q function learning network

Q-net 部分使用强化学习的方法,输入 state(AG map),输出一个最优动放大动作。

强化学习使用的是 Nature 版的 DQN 算法,与最初版的 DQN 相比,使用了一个参数延迟于 Q 网络 C 步的网络来生成目标,减少了目标 Q 值和预测 Q 值的相关性 。

Nature DQN 算法流程如下:

本文作者没有对算法做改动。上述算法对应到论文中: Q-net 输入网络的 state 为 AG map,输出 n 个不同的动作,通过作者的描述和 Figure 2 可以看出,这些动作(放大区域)是预先设定好大小的。

以 Figure 2 为例,输出两种大小的放大动作,分别将将原图划分2x2个和3x3个区域,一共13个动作,每个动作有一个得分,选择得分最高的区域进行放大检测。

reward 函数使用上面提出的 R(s,a)。训练时,选择得分最大的动作,对该区域放大,并将 AG map 对应区域像素值置0。使用高分辨率检测器对放大区域进行检测,得到一组 proposals,然后使用 R-net 中的方法,和低分辨率检测结果配对,利用公式1输出 reward。

Window selection refinement

Q-net 输出动作后,由于动作(选择区域)是固定的,为了提高 reward,可以对选择的区域位置进行微调。微调策略如下:

其中,即动作 a 包含的区域在一定范围内向四个方向移动,选取在 AG map 包含的像素值之和最大的区域作为微调后的动作

3.实验细节

由于 COCO 等常规数据集图像尺寸较小,因此作者使用了自己处理的数据集,用于行人检测: (1)CPD数据集,原始分辨率640x480,低分辨率400x300,高分辨率800x600; (2)WP数据集,低分辨率长边1000像素,高分辨率长边2000像素。

3.1 Baseline 方法

Fine-detection-all 使用精细检测器检测高分辨率图像。结果准确率高,但计算量大。

Coarse-detection-all 使用粗糙检测器检测下采样的图像。

GS+Rnet 使用贪婪搜索策略(greedy search,GS)代替 Q-net,每次搜索 AG map 上奖励最高的区域放大检测,不考虑 long-term reward。

ER+Qnet R-net 训练时,不考虑精细和粗糙检测器的关系,使用粗糙检测器结果的交叉熵作为区域得分,具体计算如下:

相当于只考虑低分辨率检测结果,物体概率高熵低则不放大,物体概率低熵高则就放大。

SSD and YOLO2 两个single-stage检测器。

3.2 变体方法

作者对上述方法进行改动,提出了一些变体方法:

Qnet-CNN 即上述使用 CNN 的 Q-net,如 Figure 2 所示。不包括窗口微调。

Qnet* 即 Qnet-CNN+窗口微调。

Qnet-FC 使用两个全连接层代替 Q-net 中的 CNN。

Rnet* 用“不包含放大开销的 reward 函数”训练的 R-net,即 reward 函数中 λ=0。

3.3 评测指标

实验的评测标准以 Fine-detection-all 为基准,评测标准如下,其中后两项用于衡量计算耗时: Aperc 带评测检测器 AP 占 Fine-detection-all 结果百分比; Pperc 处理像素百分比; Tperc 检测用时百分比。

4. 实验结果

region refinement 效果

可以看出,由于微调前 Q-net 输出的放大区域是固定的,可能出现区域只包含目标某一部分的情况。微调后这种情况得到改善。

Q-net*-CNN 效果

通过第一列可以看出,贪婪搜索每次只考虑当前最大 reward,导致出现很多重复的选择区域。 Q-net 考虑的是 long-term reward,每次选择的不一定是最优区域,但是整体考虑,Q-net 搜索次数少,几乎没有重复选择的区域。

R-net 效果

Figure 5 对比了 R-net 和 ER 的区别。

其中 C 和 F 分别表示粗糙和精细检测器预测红框是行人的概率,红色值表示 R-net 预测的 accuracy gain,蓝色的值表示使用交叉熵损失。

Baseline 评估结果

c,f 分别表示 coarse-detection-all 和 fine-detection-all 两种检测结果。

作者提出的方法及其变体

与 single-stage 检测器对比


参考资料

[1] Human-level control through deep reinforcement learning https://storage.googleapis.com/deepmind-media/dqn/DQNNaturePaper.pdf [2] DQN从入门到放弃6 DQN的各种改进 https://zhuanlan.zhihu.com/p/21547911


登录查看更多
6

相关内容

五篇 ICCV 2019 的【图神经网络(GNN)+CV】相关论文
专知会员服务
15+阅读 · 2020年1月9日
【NeurIPS2019】图变换网络:Graph Transformer Network
专知会员服务
112+阅读 · 2019年11月25日
【论文笔记】Graph U-Nets
专知
81+阅读 · 2019年11月25日
【论文笔记】基于强化学习的句子摘要排序
CornerNet: Detecting Objects as Paired Keypoints 论文笔记
统计学习与视觉计算组
7+阅读 · 2018年9月27日
论文笔记之Feature Selective Networks for Object Detection
统计学习与视觉计算组
21+阅读 · 2018年7月26日
Cascade R-CNN 论文笔记
统计学习与视觉计算组
8+阅读 · 2018年6月28日
RASNet 论文笔记
统计学习与视觉计算组
10+阅读 · 2018年4月26日
Relation Networks for Object Detection 论文笔记
统计学习与视觉计算组
16+阅读 · 2018年4月18日
SRGAN论文笔记
统计学习与视觉计算组
110+阅读 · 2018年4月12日
Mask R-CNN 论文笔记
统计学习与视觉计算组
11+阅读 · 2018年3月22日
论文 | YOLO(You Only Look Once)目标检测
七月在线实验室
14+阅读 · 2017年12月12日
Arxiv
11+阅读 · 2019年4月15日
Arxiv
6+阅读 · 2019年4月8日
dynnode2vec: Scalable Dynamic Network Embedding
Arxiv
15+阅读 · 2018年12月6日
Arxiv
5+阅读 · 2018年4月17日
VIP会员
最新内容
《系统簇式多域作战规划范畴论框架》
专知会员服务
2+阅读 · 今天14:54
高效视频扩散模型:进展与挑战
专知会员服务
0+阅读 · 今天13:34
乌克兰前线的五项创新
专知会员服务
6+阅读 · 今天6:14
 军事通信系统与设备的技术演进综述
专知会员服务
4+阅读 · 今天5:59
《北约标准:医疗评估手册》174页
专知会员服务
4+阅读 · 今天5:51
《提升生成模型的安全性与保障》博士论文
专知会员服务
4+阅读 · 今天5:47
美国当前高超音速导弹发展概述
专知会员服务
4+阅读 · 4月19日
无人机蜂群建模与仿真方法
专知会员服务
13+阅读 · 4月19日
相关VIP内容
相关资讯
【论文笔记】Graph U-Nets
专知
81+阅读 · 2019年11月25日
【论文笔记】基于强化学习的句子摘要排序
CornerNet: Detecting Objects as Paired Keypoints 论文笔记
统计学习与视觉计算组
7+阅读 · 2018年9月27日
论文笔记之Feature Selective Networks for Object Detection
统计学习与视觉计算组
21+阅读 · 2018年7月26日
Cascade R-CNN 论文笔记
统计学习与视觉计算组
8+阅读 · 2018年6月28日
RASNet 论文笔记
统计学习与视觉计算组
10+阅读 · 2018年4月26日
Relation Networks for Object Detection 论文笔记
统计学习与视觉计算组
16+阅读 · 2018年4月18日
SRGAN论文笔记
统计学习与视觉计算组
110+阅读 · 2018年4月12日
Mask R-CNN 论文笔记
统计学习与视觉计算组
11+阅读 · 2018年3月22日
论文 | YOLO(You Only Look Once)目标检测
七月在线实验室
14+阅读 · 2017年12月12日
Top
微信扫码咨询专知VIP会员