【泡泡图灵智库】基于图割优化的RANSAC算法(CVPR)

2018 年 9 月 30 日 泡泡机器人SLAM

泡泡图灵智库,带你精读机器人顶级会议文章

标题:Graph-Cut RANSAC

作者:Daniel Barath  and Jiri Matas  

来源:CVPR2018

编译:李永飞

审核:颜青松

欢迎个人转发朋友圈;其他机构或自媒体如需转载,后台留言申请授权


摘要

       大家好,今天为大家带来的文章是——基于图割优化的RANSAC算法,该文章发表于CVPR2018。


        本文提出了一种新的鲁棒估计算法,叫做图割RANSAC,简称GC-RANSAC。当找到当前最好模型时,该算法在局部优化中使用图割算法来区分内点和野点。本文提出的局部优化算法理论简洁、易于实现,是全局最优解且效率高。

          基于仿真合成测试数据和真实图片对的实验表明,GG-RANSAC在一系列问题上(比如,直线拟合,单应矩阵、仿射矩阵、基本矩阵以及本质矩阵的估计)的结果比当前最好的算法更加精确。对于许多问题的求解,该算法能够以接近精确度小的算法的速度实时运行(在标准CPU上运行时间为毫秒级)。

主要贡献

        本文提出了一种使用局部优化算法改进RANSCA精度的方法,其主要贡献为:

        1、提出了一种考虑空间一致性的内点判断方法,从而改进了RANSCA算法的精度;

        2、采用图割算法解决内点判断的优化问题,提高了算法的效率。


算法流程

        传统的RANSCA算法主要包括如下步骤:

        1、随机采样计算模型需要的最少数据;

        2、由采样的数据计算出模型参数;

        3、计算其余数据对模型的匹配程度;

        4、重复1-3直到找到匹配程度最高的模型。

       其中,第三步的判断方法一般为:分别判断每一个数据与模型的距离是否小于某一个阈值,满足则定义为内点,否则定义为野点。这样的判断准则比较生硬,且没有考虑数据的空间一致性。


        本文的主要工作就是改进了第三步的准则。下面将进行具体的介绍:

1、基于能量函数最小化的内点判断

        当计算得到模型时,内点的判断可以看做一个最小化能量函数的问题,传统的RANSCA算法内点判断问题等价于:

其中,

        上式中,Lp即为点的真实标签(内点为1,野点为0),也是需求取的变量。容易看出,上式的解即为:距离小于阈值的点为1,大于阈值的点为0——与传统的判别方法一致。

        由于标签值只有0和1,因此比较生硬,无法更细致的刻画点和模型的匹配程度,因此往往引入核函数(如高斯函数),此时:

其中,

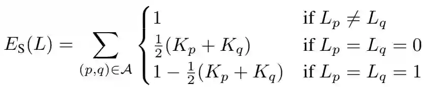
2、空间一致性

        空间一致性是指:在空间上相近的点,往往具有相同的标签(内点或野点)。本文将这一思想引入RANSCA中。考虑到可能出现野点多于内点的情况,提出了如下的准则:

        上式第一行表示:惩罚标签不一致的邻近点;第二行表示:如果两个点都为野点,则其与模型的接近程度越大,给予的惩罚越大;第三行表示:如果两个点都为内点,则其与模型越匹配,惩罚越小。

 

3、GG-RANSCA

        整个GG-RANSCA算法如下:

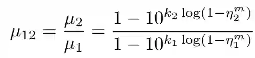
        其中为控制局部优化的次数,使得局部优化的效果尽可能发挥最大,本文提出了如下准则:仅当µ12大于一定值时,才进行局部优化。

µ1,µ2表示对当前模型的置信度。

        其中的局部优化算法为:

        图模型的构建算法为:

        由于待求解变量的取值为0和1,因此可以使用基于图割的算法进行快速的求解。


主要结果

    作者在仿真和真实数据上进行了实验,并与经典RANSAC, LO-RANSAC , LO+-RANSAC, LO’-RANSAC, and EP-RANSAC等算法进行了对比,实验结果如下:

1、2D线段检测仿真实验

        该实验使用仿真合成的数据:在600x600的图像中,生成一条直线,并采样100个点,对采样点加入高斯白噪声。实验数据示意图如下:

图1. 直线(a)和点画线(b)拟合算法结果示例。1000个黑色点是野点,100个红色点为内点。

        实验结果如下:

图2. 拟合出的直线的平均角度误差随噪声强度的变化曲线。对于每一个噪声强度,算法跑1000次。线的类型和野点数量为(a)直线,100%,(b)直线,500%,(c)虚线,100%,(d)虚线,500%。

表1. 在直线拟合和基本矩阵估算实验中,能得到正确解所需的最小内点采样比率。对于直线拟合实验,实验结果为所有实验的平均值——在三个不同的野点率(100%,500%,1000%)和不同噪声强度(0-9个像素)各运行1000次,因此总共运行了15000次。对于基本矩阵估算实验,实验结果为AdelaideRMF数据集上运行1000次的平均结果。


2、基于真实图像数据的单应矩阵、仿射矩阵、基本矩阵以及本质矩阵的估计

        具体实验条件及实验参数设置,请查阅原文。实验结果为:

表2. 基本矩阵估算的数据集为:kusvod2 (24 对图片), AdelaideRMF (19 对图片) 和Multi-H (4 对图片);单应矩阵估计数据集为:homogr (16 对图片) 和EVD (15 对图片);本质矩阵估算数据集为:strecha (467 对图片),仿射变换估计数据集为:SZTAKI Earth Observation(52对图片)。因此,本文总共在597张图片中测试了提出的算法。前三列显示了数据集、问题(F/H/E/A)、图片对的数量。后五列为在99%置信度60FPS计算速度的限制下的测试结果(EP-RANSCA不受速度限制,因为它不能实时运行)。对于其他列,实验不设置时间限制,且置信度设为95%。结果为1000次运行的平均值。LO是局部优化的次数,括号中为图割算法运行的次数。模型的几何误差记录与第二行;平均的处理时间和需要的样本数记录在第三和第四行。对于基本矩阵和本质矩阵几何误差为Sampson距离,对于单应矩阵和仿射矩阵,几何误差为投影误差。


Abstract    

    A novel method for robust estimation, called Graph-Cut RANSAC1, GC-RANSAC in short, is introduced. To separate inliers and outliers, it runs the graph-cut algorithm in the local optimization (LO) step which is applied when a so-far-the-best model is found. The proposed LO step is conceptually simple, easy to implement, globally optimal and efficient. GC-RANSAC is shown experimentally, both on synthesized tests and real image pairs, to be more geometrically accurate than state-of-the-art methods on a range of problems, e.g. line fitting, homography, affine transformation, fundamental and essential matrix estimation. It runs in real-time for many problems at a speed approximately equal to that of the less accurate alternatives (in milliseconds on standard CPU).



如果你对本文感兴趣,想要下载完整文章进行阅读,可以关注【泡泡机器人SLAM】公众号


点击阅读原文,即可获取本文下载链接。

欢迎来到泡泡论坛,这里有大牛为你解答关于SLAM的任何疑惑。

有想问的问题,或者想刷帖回答问题,泡泡论坛欢迎你!

泡泡网站:www.paopaorobot.org

泡泡论坛:http://paopaorobot.org/forums/


泡泡机器人SLAM的原创内容均由泡泡机器人的成员花费大量心血制作而成,希望大家珍惜我们的劳动成果,转载请务必注明出自【泡泡机器人SLAM】微信公众号,否则侵权必究!同时,我们也欢迎各位转载到自己的朋友圈,让更多的人能进入到SLAM这个领域中,让我们共同为推进中国的SLAM事业而努力!

商业合作及转载请联系[email protected]

登录查看更多
2

相关内容

SAC:Selected Areas in Cryptography。 Explanation:密码术的选择区。 Publisher:Springer。 SIT:http://dblp.uni-trier.de/db/conf/sacrypt/
【CVPR 2020-商汤】8比特数值也能训练卷积神经网络模型
专知会员服务
26+阅读 · 2020年5月7日
专知会员服务
32+阅读 · 2020年4月24日
专知会员服务
42+阅读 · 2020年2月20日
【泡泡图灵智库】边缘化采样一致性
泡泡机器人SLAM
23+阅读 · 2019年10月14日
【泡泡图灵智库】HSfM: 混合运动恢复结构(CVPR)
泡泡机器人SLAM
11+阅读 · 2018年12月13日
【泡泡图灵智库】基于点线的直接单目视觉里程计(ICRA)
【泡泡图灵智库】基于线段引导的直接视觉里程计算法
泡泡机器人SLAM
3+阅读 · 2018年8月19日
Real-time Scalable Dense Surfel Mapping
Arxiv
5+阅读 · 2019年9月10日
Few Shot Learning with Simplex
Arxiv
5+阅读 · 2018年7月27日
Arxiv
4+阅读 · 2017年11月4日
VIP会员
最新内容
人工智能在战场行动中的演进及伊朗案例
专知会员服务
2+阅读 · 今天13:08
美AI公司Anthropic推出网络安全模型“Mythos”
专知会员服务
2+阅读 · 今天12:58
【博士论文】面向城市环境的可解释计算机视觉
专知会员服务
0+阅读 · 今天12:57
大语言模型的自改进机制:技术综述与未来展望
专知会员服务
0+阅读 · 今天12:50
《第四代军事特种作战部队选拔与评估》
专知会员服务
1+阅读 · 今天6:23
相关VIP内容
【CVPR 2020-商汤】8比特数值也能训练卷积神经网络模型
专知会员服务
26+阅读 · 2020年5月7日
专知会员服务
32+阅读 · 2020年4月24日
专知会员服务
42+阅读 · 2020年2月20日
Top
微信扫码咨询专知VIP会员