【弧长和单位切向量】图解高等数学-下 07

2017 年 12 月 20 日 遇见数学 李想

10.6 弧长和单位切向量 T

现在来看下曲线形状的特征, 这些特征能描述曲线弯曲和扭曲的程度.

曲线的弧长

来看看怎样定义光滑曲线的距离. 其实与平面曲线一样, 观察下面动图:

弧长函数

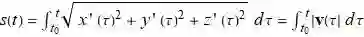
选取以 t 为参数 曲线 C 上的点  P( t 0 )  为基点, t 的每个值确定 C 上的一个点  P(t)= x(t),y(t),z(t)  和一个沿曲线从基点测量起的距离 s(t) 函数:

s 的每个值确定 C 上的一个点, s 称为曲线的弧长参数, 对于研究空间曲线的弯曲和扭转非常有用.

单位切向量 T

速度向量 v=dr/dt 切于曲线, 从而向量 T=v/|v| 是曲线的单位切向量, 它是描述空间物体运动标架的三个向量之一.

曲率和平面曲线的主单位法向量

曲线的"弯曲"和"扭曲"并不是相同. 当一个质点沿平面光滑曲线运动时, T=dr/ds 随曲线的弯曲而转动. T 是单位向量, 在质点沿曲线运动时它的长度保持常值而仅仅方向改变. 单位长度 T 的转动率为曲率, 用希腊字母 [Kappa] 记号(读 kappa).

如果\left\left| rac{T}{s}ightight|大, T 在质点通过 P 时转动得就急剧, 在点 P 的曲率就大, 反之亦然. 可以观察下图:

当曲线弯曲时, 向量 dT/ds 指向 T 转动的方向. 也就是说, 主单位法向量指向曲线凹的一侧. 观察下面动图:

曲率圆和曲率半径

在平面曲线的 [Kappa]!=0 的点 P 的曲率圆是曲线所在平面上的圆周:

  1. 它在点 P 切于曲线(跟曲线有同样的切线)

  2. 它在点 P 跟曲线有同样的曲率

  3. 位于曲线的凹的一侧.

曲线在点 P 的曲率半径是曲率圆的半径:

下面观察  y= x 2  的曲率圆动画:


登录查看更多
5

相关内容

通常认为,高等数学是由微积分学,较深入的代数学、几何学以及它们之间的交叉内容所形成的一门基础学科。
打怪升级!2020机器学习工程师技术路线图
专知会员服务
99+阅读 · 2020年6月3日
自回归模型:PixelCNN
专知会员服务
29+阅读 · 2020年3月21日
 第八届中国科技大学《计算机图形学》暑期课程课件
专知会员服务
62+阅读 · 2020年3月4日
TensorFlow Lite指南实战《TensorFlow Lite A primer》,附48页PPT
专知会员服务
70+阅读 · 2020年1月17日
机器学习入门的经验与建议
专知会员服务
94+阅读 · 2019年10月10日
小孩都看得懂的主成分分析
平均机器
5+阅读 · 2019年9月22日
单位圆与三角函数
遇见数学
14+阅读 · 2019年1月22日
可视化理解四元数,愿你不再掉头发
计算机视觉life
31+阅读 · 2019年1月2日
BAT机器学习面试题1000题(331~335题)
七月在线实验室
12+阅读 · 2018年8月13日
条件概率和贝叶斯公式 - 图解概率 03
遇见数学
10+阅读 · 2018年6月5日
【机器学习数学基础】动图解释泰勒级数(一)
机器学习研究会
6+阅读 · 2018年2月25日
图解机器学习
深度学习世界
3+阅读 · 2017年11月24日
图解高等数学|线性代数
遇见数学
39+阅读 · 2017年10月18日
BAT机器学习面试1000题系列(第46~50题)
七月在线实验室
7+阅读 · 2017年10月7日
Arxiv
3+阅读 · 2019年10月31日
Arxiv
5+阅读 · 2018年10月11日
Arxiv
5+阅读 · 2018年1月30日
VIP会员
最新内容
乌克兰前线的五项创新
专知会员服务
1+阅读 · 今天6:14
 军事通信系统与设备的技术演进综述
专知会员服务
1+阅读 · 今天5:59
《北约标准:医疗评估手册》174页
专知会员服务
1+阅读 · 今天5:51
《提升生成模型的安全性与保障》博士论文
专知会员服务
0+阅读 · 今天5:47
美国当前高超音速导弹发展概述
专知会员服务
4+阅读 · 4月19日
无人机蜂群建模与仿真方法
专知会员服务
10+阅读 · 4月19日
澳大利亚发布《国防战略(2026年)》
专知会员服务
4+阅读 · 4月19日
全球高超音速武器最新发展趋势
专知会员服务
4+阅读 · 4月19日
相关资讯
小孩都看得懂的主成分分析
平均机器
5+阅读 · 2019年9月22日
单位圆与三角函数
遇见数学
14+阅读 · 2019年1月22日
可视化理解四元数,愿你不再掉头发
计算机视觉life
31+阅读 · 2019年1月2日
BAT机器学习面试题1000题(331~335题)
七月在线实验室
12+阅读 · 2018年8月13日
条件概率和贝叶斯公式 - 图解概率 03
遇见数学
10+阅读 · 2018年6月5日
【机器学习数学基础】动图解释泰勒级数(一)
机器学习研究会
6+阅读 · 2018年2月25日
图解机器学习
深度学习世界
3+阅读 · 2017年11月24日
图解高等数学|线性代数
遇见数学
39+阅读 · 2017年10月18日
BAT机器学习面试1000题系列(第46~50题)
七月在线实验室
7+阅读 · 2017年10月7日
Top
微信扫码咨询专知VIP会员