步长?填充?池化?教你从读懂词语开始了解计算机视觉识别最火模型 | CNN入门手册(中)

2017 年 7 月 24 日 大数据文摘 大数据文摘

大数据文摘作品,转载要求见文末

编译 | 马卓群,元元

keiko,钱天培


在上周,我们为大家带来了一篇卷积神经网络的入门介绍:《卷积?神经?网络?教你从读懂词语开始了解计算机视觉识别最火模型 | CNN入门手册(上)》(戳标题直接阅读),相信大家已经对卷积神经网络有了初步的了解。这周,我们将更深入地介绍卷积神经网络(以下简称“ConvNets”),解释上周我们提到却又没有细讲的一些概念 。

声明:我在这部分介绍的一些主题非常复杂,完全可以单独列出来写成一篇文章。为了在保证内容全面性的同时,保持文章的简洁明了,我会提供原研究论文的链接供大家参考,这些论文对我讨论的主题有更详细的解释。 

首先,让我们回过头来看看我们的之前介绍的卷积层。还记得过滤器,感受域,卷积吗?如果不记得的话,请回顾本系列的上集《卷积?神经?网络?教你从读懂词语开始了解计算机视觉识别最火模型 | CNN入门手册(上)》(戳标题直接阅读)

现在,我们可以通过改变2个主要参数来修改每个层的表现行为。在选择过滤器的尺寸后,还要选择步长和填充。

步长控制着过滤器如何对输入量进行卷积。在第一部分的例子中,过滤器是通过一次移动一个单位来对输入量进行卷积的,而这个器移动单位就是步长。(在这种情况下,步长即为1。)我们通常选择的步长会确保输出量是整数,而非分数。让我们看一个例子,想象我们有一个7×7的输入量,一个3×3的过滤器(为了更加简明,这里我们忽略第三维度),步长为1。这是情况相信大家已经很熟悉了。

老一套,对吧?看看你是否能猜出,随着步长增加到2,输出量将会发生什么变化。

图为步长为2时卷积的输出情况

所以,正如你所看到的,感受域现在一次移动了2个单位,输出量也缩小了。请注意,如果我们试图将步长设为3,当我们进行到最后一行/列,我们就会遇到感受域无法与输入量完全重叠、有空白余留的问题。通常,如果希望在感受域有更少地重叠、保持较小的空间维度,程序员们就会增加步长。

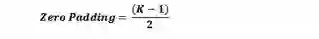
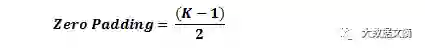
现在,让我们看看填充。在开始之前,让我们先想一个场景。当你把三个5×5×3个过滤器应用到一个32×32×3输入量时会发生什么?输出量将会是28×28×3。请注意,空间维度会减少。当我们继续应用卷积层的时候,量的大小将减少得比我们想像的更快。在学习网络的早期层中,我们希望最大化地保存原始输入卷的信息,以便我们提取那些低层次的特征。比如说我们要运用同样的卷积层,但同时我们想要让输出量保持在32 x 32 x 3。要做到这一点,我们可以对该层加一个大小为2的零填充。零填充就是对输入量在边界上用零进行填充。如果我们考虑2个零填充,那么我们就有了一个36×36×3的输入量。


如果你的步长为1,并且把零填充的大小设置为

其中,K是过滤器大小,那么输入量和输出量将始终保持相同的空间维度。

对于任何一个定卷积层,输出尺寸的计算公式如下:

其中,O是输出量的高度/长度,W是输入量的高度/长度,K是过滤器的大小,P是填充大小,S是步长。

选择超级变量

那么,我们要怎么知道应该用多少神经网络层、其中有多少卷积层、过滤器的尺寸是什么,以及步长和填充的值是多少呢?这些都不是无关紧要的问题,但也没有一套公认的标准。这是因为网络的选取将在很大程度上依赖于您所拥有的数据类型。数据会因为图像的大小、复杂度、图像处理任务的类型不同而变化。当你分析数据的时候,一个选择超参数的方式就是,寻找能创造出图像抽象的合适尺寸组合。

修正先行单元层(ReLU)

根据传统惯例,在每个卷积层后,我们会紧跟着应用一个非线性层(或激化层)。没有这个非线性转化,整个系统基本上就是在卷积层中进行线性操作(只是元素频繁的的乘法和加法)。在过去,我们通常使用的是非线性函数,比如tanh 函数和sigmoid函数,但研究人员发现ReLU层在不牺牲精确度的前提下加快网络的训练速度,从而带来更好的运作效果。同时,它也有助于缓解梯度消失问题。这个问题指的是,在经过每一层后,梯度会指数性地递减,因而低层的网络训练会变得非常慢。(对这个问题的详细解释已超出了这篇文章范围,如果想看进一步的解释,请参照https://en.wikipedia.org/wiki/Vanishing_gradient_problem 和 https://www.quora.com/What-is-the-vanishing-gradient-problem 

ReLU层将函数f(x)= max(0,x)应用于所有的输入值。基本上,这一层就是把所有的负激活变为0。这一层提高了模型中的非线性特性和整个网络,并且不影响感受野的卷积层。

这篇由伟大的Geoffrey Hinton而著(又名深度学习之父)的文章更详细的阐释了ReLu的优点(http://www.cs.toronto.edu/~fritz/absps/reluICML.pdf)。

池化层

在应用了一些ReLU层之后,程序员可以选择应用池化层。它也被称为向下采样层(downsampling layer)。在不同池化层中,最大值池化(maxpooling)是最受欢迎的。先用一个过滤器(通常大小2x2)和一个相同长度的步长。将其应用于输入量,然后在每一个分区输出最大数字 。

另外几种池化层的类型包括平均池和L2规范池。池化层背后的直观原理是,一旦我们知道原始输入量中(这里将会有一个高激活值)有一个特定的特征,那么它的确切位置,就没有它相对于其他特征的位置那么重要了。所以,你可以想象,这一层是如何极大地减少了网络的空间维度的(长度和宽度的变化,深度不变)。这可以帮助实现两个目的。首先,参数(或者权重)的数量减少了75%,从而降低了计算成本。其次,我们也可以借此控制过度拟合。 

过度拟合这个术语指的是,一个模型过于贴近训练示例,而导致不能很好地拟合验证集和测试集。过度拟合的一个典型症状就是,训练好的一个模型在训练集上可以达到100% 或 99% 拟合,而在测试集上却只能达到50%

丢弃层

现在来看看丢弃层。丢弃层对于神经网络而言有特殊作用 。在上一个部分,我们讨论了过度拟合的问题,即训练之后神经网络的权重参数过于贴近训练示例,以至于在新示例上的表现欠佳。丢弃层的想法本质上是很简单的。在这一层随机把几个激发点设置为零,从而“丢弃”他们,如此而已。这样一个看起来不必要而反常的简单过程有什么好处呢?一方面,这个过程促使神经网络变得“冗余”。这里冗余的意思是指,即使神经网络失去了一些激发点,还是能够提供正确的分类结论或者输出特定的示例。另一方面也确保神经网络没有过度拟合训练集,从而减轻过度拟合的问题。这里重点强调一下,丢弃层只是在训练过程中出现,而并不在测试过程中出现。

更多信息请参见Geoffrey Hinton 所著相关文献。(https://www.cs.toronto.edu/~hinton/absps/JMLRdropout.pdf

网中网层

网中网层是指一个采用1x1过滤器的卷积层。乍一看你可能会有疑问,感受域的范围通常要大过输出值的特征图,那么网中网究竟有什么作用呢?回想一下,这些1x1的卷积是有一定深度的,我们可以把它设想为1x1xN的卷积,其中N是在这层上过滤器的个数。实际上,网中网层是做了一个N维元素的对应相乘,其中N是层中输入的深度。 

Min Lin 所著相关文献对网中网层进行了更详细地阐述。(https://arxiv.org/pdf/1312.4400v3.pdf

分类、定位、检测、细分

在CNN入门手册(上)(加入链接)中,我们讨论过给图片物体分类这一任务。在这个过程中,我们先输入一张图片,然后从一串类别中输出图片物体对应类别的序号。但是,对于物体定位这样的任务而言,我们的目的不仅是得到分类序号,还要在图片中用边框指出物体的位置

除此之外,我们还可能碰到物体检测的任务,这需要对图片上的所有物体进行物体定位。因此,我们会得到多个边框以及多个分类标签。 

最后,我们还有细分物体的任务,其目的是输出分类标签和图片中所有物体的细节轮廓。

在CNN入门手册(下)中,我们会讲更多完整这些任务的细节,如果你已经急不可耐了,可以参阅下面的参考资料。

检测/定位: https://arxiv.org/pdf/1311.2524v5.pdf
细分: http://www.cv-foundation.org/openaccess/content_cvpr_2015/papers/Long_Fully_Convolutional_Networks_2015_CVPR_paper.pdf

是的,还有更多的参考材料没有被列举出来。

迁移学习

目前,深度学习圈子里有一个常见的误区,即如果没有谷歌式的海量数据,你就不可能做出一个有效的深度学习模型。虽然数据是创建神经网络的重要部分,但是迁移学习的思路可以减少数据的需求量。迁移学习的做法是采用一个预训练好的模型(别人用大量数据训练得到的神经网络的权重和参数),再用自己的数据微调模型。这个思路利用了预训练的模型进行特征提取。你需要把原来神经网络的最后一层去掉,换成你自己的分类标签(取决于你的问题空间),接着保持其他层的权重不变,正常地训练神经网络模型(保持其他层不变意思是在梯度下降/最优化的过程中不改变其他层的权重)

我们来讨论一下为什么这个方法可行。比如说我们用ImageNet( ImageNet是一个包括了超过1000类1400万张图片的数据集)训练得到预训练的模型。考虑一下神经网络模型的低层,我们知道低层部分会检测到诸如边缘和曲线这样的特征。现在,除非你的问题空间和数据集很独特,你的神经网络模型也会需要检测曲线和边缘特征。与其从随机权重初始值开始训练整个神经网络,我们可以采用预训练模型的权重(并保持这部分权重不变),然后重点对重要层(更高的层)进行训练。如果你的训练集数据与ImageNet差异很大,你可以只固定低层部分中的几层,用自己的数据训练更多层。

  • Yoshua Bengio 所著的参考文献(另一个深度学习的大师):https://arxiv.org/pdf/1411.1792v1.pdf

  • Ali Sharif Razavian 所著的参考文献:https://arxiv.org/pdf/1403.6382.pdf

  • Jeff Donahue 所著的参考文献:https://arxiv.org/pdf/1310.1531.pdf

数据增强技术

到目前为止,我们对卷积神经网络中数据的重要性大概还是模糊不清的。事实上,海量的数据对卷积神经网络的训练是十分重要的。(当然了,迁移学习可以在一定程度上弱化我们对数据量的要求。)那么最后,就让我们来讨论如何通过几个简单的变换增加已有的数据量吧。正如我们之前提到过的,当一个计算机处理一个图片输入时,它会读入一个像素值数组。如果整个图片都向左移动了一个单位,对于你我来说,这个变化是感觉不到的。然后,对于一个计算机而言,在分类和图片标签不变而像素数组改变的情况下,这个移动可能会造成很大的影响。在改变训练数据表示的同时固定分类标签的这种方法,被称为数据增强技术,这是一种人为扩展数据集的方法。一些常用的数据增强方法有调成灰度(grayscales),水平翻转(horizontal flips),竖直翻转(vertical flips,),随机裁剪(random crops), 颜色抖动(color jitters),平移(translations), 旋转(rotation)等等。如果对训练集的数据进行以上这几种变换,你可以很容易地得到原数据两至三倍的数据量来训练模型。

到这里,我们对卷积神经网络的

基础介绍就结束了。

下周我们将带来该系列的最后一篇,

介绍卷积神经网络

研究领域最重要的9篇论文

请大家敬请期待!

下周一见!


原文链接:https://adeshpande3.github.io/adeshpande3.github.io/A-Beginner's-Guide-To-Understanding-Convolutional-Neural-Networks-Part-2/


20177《顶级数据团队建设全景报告》下载

            
            
              
               
               
                 

关于转载

如需转载,请在开篇显著位置注明作者和出处(转自:大数据文摘 | bigdatadigest),并在文章结尾放置大数据文摘醒目二维码。无原创标识文章请按照转载要求编辑,可直接转载,转载后请将转载链接发送给我们;有原创标识文章,请发送【文章名称-待授权公众号名称及ID】给我们申请白名单授权。未经许可的转载以及改编者,我们将依法追究其法律责任。联系邮箱:[email protected]

志愿者介绍

回复“志愿者”加入我们

往期精彩文章

点击图片阅读

《卷积?神经?网络?教你从读懂词语开始了解计算机视觉识别最火模型 | CNN入门手册(上)》

登录查看更多
0

相关内容

在数学(特别是功能分析)中,卷积是对两个函数(f和g)的数学运算,产生三个函数,表示第一个函数的形状如何被另一个函数修改。 卷积一词既指结果函数,又指计算结果的过程。 它定义为两个函数的乘积在一个函数反转和移位后的积分。 并针对所有shift值评估积分,从而生成卷积函数。
【干货书】高级应用深度学习,294页pdf
专知会员服务
154+阅读 · 2020年6月20日
最新《自动微分手册》77页pdf
专知会员服务
104+阅读 · 2020年6月6日
卷积神经网络的概述论文:分析、应用和展望,21页pdf
专知会员服务
91+阅读 · 2020年4月7日
简明扼要!Python教程手册,206页pdf
专知会员服务
48+阅读 · 2020年3月24日
【干货】大数据入门指南:Hadoop、Hive、Spark、 Storm等
专知会员服务
98+阅读 · 2019年12月4日
深度学习算法与架构回顾
专知会员服务
84+阅读 · 2019年10月20日
一文看懂深度文本分类之 DPCNN 原理与代码
人工智能头条
10+阅读 · 2019年2月11日
卷积神经网络简明教程
论智
8+阅读 · 2018年8月24日
入门 | 什么是自注意力机制?
机器之心
17+阅读 · 2018年8月19日
卷积神经网络的最佳解释!
专知
12+阅读 · 2018年5月1日
深度学习、图像识别入门,从VGG16卷积神经网络开始
数据挖掘入门与实战
8+阅读 · 2018年3月28日
入门 | 一文看懂卷积神经网络
机器之心
5+阅读 · 2018年2月20日
一文了解各种卷积结构原理及优劣
量子位
9+阅读 · 2017年7月29日
CNN之卷积层
机器学习算法与Python学习
8+阅读 · 2017年7月2日
卷积神经网络(CNN)学习笔记1:基础入门
黑龙江大学自然语言处理实验室
14+阅读 · 2016年6月16日
Equalization Loss for Long-Tailed Object Recognition
Arxiv
5+阅读 · 2020年4月14日
Arxiv
6+阅读 · 2020年2月15日
Self-Attention Graph Pooling
Arxiv
5+阅读 · 2019年4月17日
Neural Approaches to Conversational AI
Arxiv
8+阅读 · 2018年12月13日
Arxiv
10+阅读 · 2018年2月17日
VIP会员
最新内容
《第四代军事特种作战部队选拔与评估》
专知会员服务
1+阅读 · 今天6:23
不对称优势上升:自主系统如何强化海上拒止
专知会员服务
1+阅读 · 今天5:51
《人工智能赋能电磁战》(报告)
专知会员服务
2+阅读 · 4月17日
【CMU博士论文】迈向可扩展的开放世界三维感知
相关VIP内容
【干货书】高级应用深度学习,294页pdf
专知会员服务
154+阅读 · 2020年6月20日
最新《自动微分手册》77页pdf
专知会员服务
104+阅读 · 2020年6月6日
卷积神经网络的概述论文:分析、应用和展望,21页pdf
专知会员服务
91+阅读 · 2020年4月7日
简明扼要!Python教程手册,206页pdf
专知会员服务
48+阅读 · 2020年3月24日
【干货】大数据入门指南:Hadoop、Hive、Spark、 Storm等
专知会员服务
98+阅读 · 2019年12月4日
深度学习算法与架构回顾
专知会员服务
84+阅读 · 2019年10月20日
相关资讯
一文看懂深度文本分类之 DPCNN 原理与代码
人工智能头条
10+阅读 · 2019年2月11日
卷积神经网络简明教程
论智
8+阅读 · 2018年8月24日
入门 | 什么是自注意力机制?
机器之心
17+阅读 · 2018年8月19日
卷积神经网络的最佳解释!
专知
12+阅读 · 2018年5月1日
深度学习、图像识别入门,从VGG16卷积神经网络开始
数据挖掘入门与实战
8+阅读 · 2018年3月28日
入门 | 一文看懂卷积神经网络
机器之心
5+阅读 · 2018年2月20日
一文了解各种卷积结构原理及优劣
量子位
9+阅读 · 2017年7月29日
CNN之卷积层
机器学习算法与Python学习
8+阅读 · 2017年7月2日
卷积神经网络(CNN)学习笔记1:基础入门
黑龙江大学自然语言处理实验室
14+阅读 · 2016年6月16日
Top
微信扫码咨询专知VIP会员