GitHub支持用LaTeX写数学公式了!亲测有效

2022 年 5 月 26 日 CVer

点击下方卡片,关注“CVer”公众号

AI/CV重磅干货,第一时间送达

点击进入—> CVer 微信技术交流群

丰色 发自 凹非寺
转载自:量子位(QbitAI)

提问:在GitHub的README文件中插入数学公式有多少种办法?

做成图片?

复制公式去codecogs生成一个svg图片的外链?

还是用插件?

……

这些方法有的麻烦,有的需要收费,有的还会出bug。

就不能原生支持一下吗!!

能!

大家吐槽了这么多年,就在最近,GitHub终于宣布可以用LaTeX语法直接写公式了!

$符号搞定,亲测有效

GitHub是用MathJax实现的这个功能。

MathJax是一个基于JavaScript的开源显示引擎,能够支持非常多的LaTeX宏包。

很多人应该对它不陌生,用过它的插件来在GitHub中加入公式。

废话不多说,直接看方法:

1、编写行内公式

如果你想在行内插公式,只需用一个“$”进行分隔,就像这样:

This sentence uses $ delimiters to show math inline: $\sqrt{3x-1}+(1+x)^2$

然后就能直接正确显示公式了:

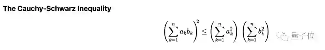
2、编写行间公式

如果你想在行间插入公式,只需另起一行并用两个“$”进行分隔:

The Cauchy-Schwarz Inequality

$$\left( \sum{k=1}^n a_k b_k \right)^2 \leq \left( \sum{k=1}^n ak^2 \right) \left( \sum{k=1}^n b_k^2 \right)$$

效果如下:

需要注意的是:

(1)如果你的公式包含“$”,则需要在前面加上“\”进行转义;

(2)如果在公式之外你的正文也包含“$”,则需要用“<span></span>”标记;

是不是非常简单?

我们亲自试一下看看。

首先新建一个仓库,然后打开README.md文件,往里面扔入一些带markdown格式的公式和文字。

然后点击“预览”:

成功!(行间公式自动居中了。)

参考链接:
https://docs.github.com/cn/get-started/writing-on-github/working-with-advanced-formatting/organizing-information-with-tables

点击进入—> CV 微信技术交流群


ICCV和CVPR 2021论文和代码下载


后台回复:CVPR2021,即可下载CVPR 2021论文和代码开源的论文合集

后台回复:ICCV2021,即可下载ICCV 2021论文和代码开源的论文合集

后台回复:Transformer综述,即可下载最新的3篇Transformer综述PDF


目标检测和Transformer交流群成立


扫描下方二维码,或者添加微信:CVer6666,即可添加CVer小助手微信,便可申请加入CVer-目标检测或者Transformer 微信交流群。另外其他垂直方向已涵盖:目标检测、图像分割、目标跟踪、人脸检测&识别、OCR、姿态估计、超分辨率、SLAM、医疗影像、Re-ID、GAN、NAS、深度估计、自动驾驶、强化学习、车道线检测、模型剪枝&压缩、去噪、去雾、去雨、风格迁移、遥感图像、行为识别、视频理解、图像融合、图像检索、论文投稿&交流、PyTorch、TensorFlow和Transformer等。


一定要备注:研究方向+地点+学校/公司+昵称(如目标检测或者Transformer+上海+上交+卡卡),根据格式备注,可更快被通过且邀请进群


▲扫码或加微信: CVer6666,进交流群


CVer学术交流群(知识星球)来了!想要了解最新最快最好的CV/DL/ML论文速递、优质开源项目、学习教程和实战训练等资料,欢迎扫描下方二维码,加入CVer学术交流群,已汇集数千人!


扫码进群

▲点击上方卡片,关注CVer公众号

整理不易,请点赞和在看

登录查看更多
0

相关内容

GitHub.com 使用 Git 作为版本控制系统(version control system)提供在线源码托管的服务,同时是个有社交功能的开发者社区。 国外类似服务: Bitbucket.com
Gitlab.com
国内类似服务:
Coding.net
代码注释最详细的Transformer
专知会员服务
113+阅读 · 2022年6月30日
吴恩达知乎问答:如何系统学习机器学习?
专知会员服务
21+阅读 · 2022年4月10日
专知会员服务
94+阅读 · 2020年12月26日
最新《序列预测问题导论》教程,212页ppt
专知会员服务
86+阅读 · 2020年8月22日
【2020新书】现代C++初学者指南,301页pdf
专知会员服务
163+阅读 · 2020年7月24日
简明扼要!Python教程手册,206页pdf
专知会员服务
48+阅读 · 2020年3月24日
专知会员服务
110+阅读 · 2020年3月12日
《深度学习》圣经花书的数学推导、原理与Python代码实现
Keras作者François Chollet推荐的开源图像搜索引擎项目Sis
专知会员服务
30+阅读 · 2019年10月17日
GitHub 热门:机器学习 100 天!
THU数据派
1+阅读 · 2022年4月1日
用LaTex写论文经验分享
极市平台
3+阅读 · 2021年9月10日
CVPR 2019 | 34篇 CVPR 2019 论文实现代码
AI科技评论
21+阅读 · 2019年6月23日
Github库分享:超全的PyTorch学习资源汇总
专知
25+阅读 · 2019年5月9日
动手写机器学习算法:SVM支持向量机(附代码)
七月在线实验室
12+阅读 · 2017年12月5日
国家自然科学基金
0+阅读 · 2015年12月31日
国家自然科学基金
3+阅读 · 2014年12月31日
国家自然科学基金
4+阅读 · 2014年12月31日
国家自然科学基金
0+阅读 · 2012年12月31日
国家自然科学基金
2+阅读 · 2011年12月31日
国家自然科学基金
0+阅读 · 2011年12月31日
国家自然科学基金
0+阅读 · 2009年12月31日
国家自然科学基金
0+阅读 · 2009年12月31日
国家自然科学基金
0+阅读 · 2008年12月31日
已删除
Arxiv
33+阅读 · 2020年3月23日
Arxiv
27+阅读 · 2018年4月12日
Arxiv
10+阅读 · 2018年3月22日
VIP会员
最新内容
以色列-美国-伊朗战争中的无人机:关键要点
专知会员服务
1+阅读 · 今天14:04
《Palantir任务保障性软件安全标准(MA-S2)》
专知会员服务
5+阅读 · 今天13:49
基于声学的无人机检测技术综述
专知会员服务
4+阅读 · 今天13:37
《当代混合战争分析框架:俄乌战争经验教训》
专知会员服务
4+阅读 · 今天13:11
战略前沿人工智能的再思考(中文)
专知会员服务
7+阅读 · 5月29日
《量化地基防空系统间接效应的博弈论方法》
专知会员服务
5+阅读 · 5月29日
“史诗怒火行动”中美军损失的作战飞机
专知会员服务
6+阅读 · 5月29日
ICML 2026 | 理解上下文持续学习中的泛化与遗忘
专知会员服务
5+阅读 · 5月28日
相关VIP内容
代码注释最详细的Transformer
专知会员服务
113+阅读 · 2022年6月30日
吴恩达知乎问答:如何系统学习机器学习?
专知会员服务
21+阅读 · 2022年4月10日
专知会员服务
94+阅读 · 2020年12月26日
最新《序列预测问题导论》教程,212页ppt
专知会员服务
86+阅读 · 2020年8月22日
【2020新书】现代C++初学者指南,301页pdf
专知会员服务
163+阅读 · 2020年7月24日
简明扼要!Python教程手册,206页pdf
专知会员服务
48+阅读 · 2020年3月24日
专知会员服务
110+阅读 · 2020年3月12日
《深度学习》圣经花书的数学推导、原理与Python代码实现
Keras作者François Chollet推荐的开源图像搜索引擎项目Sis
专知会员服务
30+阅读 · 2019年10月17日
相关资讯
相关基金
国家自然科学基金
0+阅读 · 2015年12月31日
国家自然科学基金
3+阅读 · 2014年12月31日
国家自然科学基金
4+阅读 · 2014年12月31日
国家自然科学基金
0+阅读 · 2012年12月31日
国家自然科学基金
2+阅读 · 2011年12月31日
国家自然科学基金
0+阅读 · 2011年12月31日
国家自然科学基金
0+阅读 · 2009年12月31日
国家自然科学基金
0+阅读 · 2009年12月31日
国家自然科学基金
0+阅读 · 2008年12月31日
Top
微信扫码咨询专知VIP会员