辛普森法估算积分 - 《普林斯顿微积分读本》

2018 年 10 月 19 日 遇见数学

B.3 辛普森法则

为什么要止步于梯形法则呢?梯形仍然有一个笨拙的线形上边. 在条纹的上边使用曲线而不是线段, 我们可以做得更好. 以下就是操作细节. 首先, 我们来看看相邻的两个条纹, 不用线段连接上边, 而是用一个二次曲线, 如图 B-6 所示.

图 B-6

正如我们将在 B.3.1 节中看到的, 阴影部分的面积是

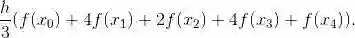
平方单位, 其中我们又设了 h = (b - a) /n. 现在, 如果对每一对条纹重复这个操作, 再将所有的面积相加, 就会得到近似. 如同梯形法则的情况, 相邻的两个条纹共用一条边, 因此会有一些量被重复一次. 例如, 如果有四个条纹, 那么面积和将是

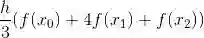
我们把形如 f (x2) 的两项合并起来变为 2f (x2), 因此面积和是

如果有更多的条纹依然会有相同样式的结果. 如果 j 是偶数, f (xj) 的系数等于 2; 如果 j 是奇数, f (xj) 的系数等于 4——f (x0) 和 f(xn) 除外, 它们的系数都是 1.总之, 我们有:

我们拿它和上一节的梯形法则比较一下. 代替形如 1, 2, 2, ..., 2, 2, 1 的系数, 这一次系数形如 1, 4, 2, 4, 2, ..., 2, 4, 2, 4, 1. 还要注意的是, 前面分母中的常数为 3 而不是 2.

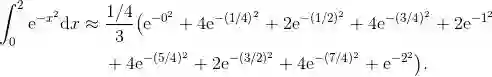
 应用辛普森法则很容易. 我们回到原来的那个例子中:

并应用辛普森法则, 其中 n = 8. (我们不能用 n = 5, 因为 n 必须为偶数才能使用辛普森法则. ) 每一条的宽度为 h = (2 - 0) /8 单位, 即  , 因此划分为

根据以上公式, 我们有

 使用计算器, 这大约是 0.882 066, 这十分接近我们在上一节的估算. 确切地说, 使用梯形法则时 (其中 n = 5), 我们得到估算 0.881 131. 为了准确起见, 我使用了计算机程序, 得积分近似到小数点后六位的正确值是 0.882 081. 因此, 辛普森法则 (n = 8) 比梯形法则 (n = 5) 更好. 当然, 更公平的比较需在两种情况下都使用 n = 8; 希望你来重复这种情况下的梯形法则的计算, 并和刚才相应的辛普森法则的估算结果进行比较.

向上滑动阅览简介及目录 

者:阿德里安·班纳
者:杨爽 , 赵晓婷 , 高璞
出版社:人邮出版社图灵数学

二维码或点击【阅读原文】
跳转遇见微店购买, 然后可领取50-15非图书类优惠券

本书阐述了求解微积分的技巧,详细讲解了微积分基础、极限、连续、微分、导数的应用、积分、无穷级数、泰勒级数与幂级数等内容,旨在教会读者如何思考问题从而找到解题所需的知识点,着重训练大家自己解答问题的能力。

本书适用于大学低年级学生、高中高年级学生、想学习微积分的数学爱好者以及广大数 学教师。本书既可作为教材、习题集,也可作为学习指南,同时还有利于教师备课。

目录

第1章函数、图像和直线 
1.1 函数 
1.1.1 区间表示法 
1.1.2 求定义域 
1.1.3 利用图像求值域 
1.1.4 垂线检验 
1.2 反函数 
1.2.1 水平线检验 
1.2.2 求反函数 
1.2.3 限制定义域 
1.2.4 反函数的反函数 
1.3 函数的复合 
1.4 奇函数和偶函数 
1.5 线性函数的图像 
1.6 常见函数及其图像 
第2 章三角学回顾 
2.1 基本知识 
2.2 扩展三角函数定义域 
2.2.1 ASTC方法 
2.2.2 (0,2π)以外的三角函数 
2.3 三角函数的图像 
2.4 三角恒等式 
第3 章极限导论 
3.1 极限:基本思想 
3.2 左极限与右极限 
3.3 何时不存在极限 
3.4 在∞和—∞处的极限 
3.5 关于渐近线的两个常见误解 
3.6 三明治定理 
3.7 极限的基本类型小结 
第4 章求解多项式的极限问题 
4.1 x→a时的有理函数的极限 
4.2 x→a时的平方根的极限 
4.3 x→∞时的有理函数的极限 
4.4 x→∞时的多项式型函数的极限 
4.5 x→—∞时的有理函数的极限 
4.6 包含绝对值的函数的极限 
第5 章连续性和可导性 
5.1 连续性 
5.1.1 在一点处连续 
5.1.2 在一个区间上连续 
5.1.3 连续函数的一些例子 
5.1.4 介值定理 
5.1.5 一个更难的介值定理 
例子 
5.1.6 连续函数的最大值和 
最小值 
5.2 可导性 
5.2.1 平均速率 
5.2.2 位移和速度 
5.2.3 瞬时速度 
5.2.4 速度的图像阐释 
5.2.5 切线 
5.2.6 导函数 
5.2.7 作为极限比的导数 
5.2.8 线性函数的导数 
5.2.9 二阶导数和更高阶导数 
5.2.10 何时导数不存在 
5.2.11 可导性和连续性 
第6 章求解微分问题 
6.1 使用定义求导 
6.2 用更好的办法求导 
6.2.1 函数的常数倍 
6.2.2 函数和与函数差 
6.2.3 通过乘积法则求积函数的导数 
6.2.4 通过商法则求商函数的导数 
6.2.5 通过链式求导法则求复合函数的导数 
6.2.6 那个难以处理的例子 
6.2.7 乘积法则和链式求导法则的理由 
6.3 求切线方程 
6.4 速度和加速度 
6.5 导数伪装的极限 
6.6 分段函数的导数 
6.7 直接画出导函数的图像 
第7 章三角函数的极限和导数 
7.1 三角函数的极限 
7.1.1 小数的情况 
7.1.2 问题的求解——小数的情况 
7.1.3 大数的情况 
7.1.4 其他的"情况 
7.1.5 一个重要极限的证明 
7.2 三角函数的导数 
7.2.1 求三角函数导数的例子 
7.2.2 简谐运动 
7.2.3 一个有趣的函数 
第8 章隐函数求导和相关变化率 
8.1 隐函数求导 
8.1.1 技巧和例子 
8.1.2 隐函数求二阶导 
8.2 相关变化率 
8.2.1 一个简单的例子 
8.2.2 一个稍难的例子 
8.2.3 一个更难的例子 
8.2.4 一个非常难的例子 
第9 章指数函数和对数函数 
9.1 基础知识 
9.1.1 指数函数的回顾 
9.1.2 对数函数的回顾 
9.1.3 对数函数、指数函数及反函数 
9.1.4 对数法则 
9.2 e的定义 
9.2.1 一个有关复利的问题 
9.2.2 问题的答案 
9.2.3 更多关于e和对数函数的内容 
9.3 对数函数和指数函数求导 
9.4 求解指数函数或对数函数的极限 
9.4.1 涉及e的定义的极限 
9.4.2 指数函数在0附近的行为 
9.4.3 对数函数在1附近的行为 
9.4.4 指数函数在∞或—∞附近的行为 
9.4.5 对数函数在∞附近的行为 
9.4.6 对数函数在0附近的行为 
9.5 取对数求导法 
9.6 指数增长和指数衰变 
9.6.1 指数增长 
9.6.2 指数衰变 
9.7 双曲函数 
第10 章反函数和反三角函数 
10.1 导数和反函数 
10.1.1 使用导数证明反函数存在 
10.1.2 导数和反函数:可能出现的问题 
10.1.3 求反函数的导数 
10.1.4 一个综合性例子 
10.2 反三角函数 
10.2.1 反正弦函数 
10.2.2 反余弦函数 
10.2.3 反正切函数 
10.2.4 反正割函数 
10.2.5 反余割函数和反余切函数 
10.2.6 计算反三角函数 
10.3 反双曲函数 
第11 章导数和图像 
11.1 函数的极值 
11.1.1 全局极值和局部极值 
11.1.2 极值定理 
11.1.3 求全局最大值和最小值 
11.2 罗尔定理 
11.3 中值定理 
11.4 二阶导数和图像 
11.5 对导数为零点的分类 
11.5.1 使用一次导数 
11.5.2 使用二阶导数 
第12 章绘制函数图像 
12.1 建立符号表格 
12.1.1 建立一阶导数的符号表格 
12.1.2 建立二阶导数的符号表格 
12.2 绘制函数图像的全面方法 
12.3 例题 
12.3.1 一个不使用导数的例子 
12.3.2 完整的方法:例一 
12.3.3 完整的方法:例二 
12.3.4 完整的方法:例三 
12.3.5 完整的方法:例四 
第13 章最优化和线性化 
13.1 最优化 
13.1.1 一个简单的最优化例子 
13.1.2 最优化问题:一般方法 
13.1.3 一个最优化的例子 
13.1.4 另一个最优化的例子 
13.1.5 在最优化问题中使用隐函数求导 
13.1.6 一个较难的最优化例子 
13.2 线性化 
13.2.1 线性化问题:一般方法 
13.2.2 微分 
13.2.3 线性化的总结和例子 
13.2.4 近似中的误差 
13.3 牛顿法 
第14 章洛必达法则及极限问题总结 
14.1 洛必达法则 
14.1.1 类型A:0/0 
14.1.2 类型A:±∞/±∞ 
14.1.3 类型B1:(∞—∞) 
14.1.4 类型B2:(0x±∞) 
14.1.5 类型C:1±∞,00或∞0 
14.1.6 洛必达法则类型的总结 
14.2 关于极限的总结 
第15 章积分 
15.1 求和符号 
15.1.1 一个有用的求和 
15.1.2 伸缩求和法 
15.2 位移和面积 
15.2.1 三个简单的例子 
15.2.2 一段更常规的旅行 
15.2.3 有向面积 
15.2.4 连续的速度 
15.2.5 两个特别的估算 
第16 章定积分 
16.1 基本思想 
16.2 定积分的定义 
16.3 定积分的性质 
16.4 求面积 
16.4.1 求通常的面积 
16.4.2 求解两条曲线之间的面积 
16.4.3 求曲线与y轴所围成的面积 
16.5 估算积分 
16.6 积分的平均值和中值定理 
16.7 不可积的函数 
第17 章微积分基本定理 
17.1 用其他函数的积分来表示的函数 
17.2 微积分的第一基本定理 
17.3 微积分的第二基本定理 
17.4 不定积分 
17.5 怎样解决问题:微积分的第一基本定理 
17.5.1 变形1:变量是积分下限 
17.5.2 变形2:积分上限是一个函数 
17.5.3 变形3:积分上下限都为函数 
17.5.4 变形4:极限伪装成导数 
17.6 怎样解决问题:微积分的第二基本定理 
17.6.1 计算不定积分 
17.6.2 计算定积分 
17.6.3 面积和绝对值 
17.7 技术要点 
17.8 微积分第一基本定理的证明 
第18 章积分的方法I 
18.1 换元法 
18.1.1 换元法和定积分 
18.1.2 如何换元 
18.1.3 换元法的理论解释 
18.2 分部积分法 
18.3 部分分式 
18.3.1 部分分式的代数运算 
18.3.2 对每一部分积分 
18.3.3 方法和一个完整的例子 
第19 章积分的方法II 
19.1 应用三角恒等式的积分 
19.2 关于三角函数的幂的积分 
19.2.1 sin或cos的幂 
19.2.2 tan的幂 
19.2.3 sec的幂 
19.2.4 cot的幂 
19.2.5 csc的幂 
19.2.6 约化公式 
19.3 关于三角换元法的积分 
19.3.1 类型1:pa2?x2 
19.3.2 类型2:px2+a2 
19.3.3 类型3:px2?a2 
19.3.4 配方和三角换元法 
19.3.5 关于三角换元法的总结 
19.3.6 平方根的方法和三角换元法 
19.4 积分技巧总结 
第20 章反常积分:基本概念 
20.1 收敛和发散 
20.1.1 反常积分的一些例子 
20.1.2 其他破裂点 
20.2 关于无穷区间上的积分 
20.3 比较判别法(理论) 
20.4 极限比较判别法(理论) 
20.4.1 函数互为渐近线 
20.4.2 关于判别法的陈述 
20.5 p判别法(理论) 
20.6 绝对收敛判别法 
第21 章反常积分:如何解题 
21.1 如何开始 
21.1.1 拆分积分 
21.1.2 如何处理负函数值 
21.2 积分判别法总结 
21.3 常见函数在∞和—∞附近的表现 
21.3.1 多项式和多项式型函数在∞和—∞附近的表现 
21.3.2 三角函数在∞和—∞附近的表现 
21.3.3 指数在∞和—∞附近的表现 
21.3.4 对数在∞附近的表现 
21.4 常见函数在0附近的表现 
21.4.1 多项式和多项式型函数在0附近的表现 
21.4.2 三角函数在0附近的表现 
21.4.3 指数函数在0附近的表现 
21.4.4 对数函数在0附近的表现 
21.4.5 更一般的函数在0附近的表现 
21.5 如何应对不在0或1处的瑕点 
第22 章数列和级数:基本概念 
22.1 数列的收敛和发散 
22.1.1 数列和函数的联系 
22.1.2 两个重要数列 
22.2 级数的收敛与发散 
22.3 第n项判别法(理论) 
22.4 无穷级数和反常积分的性质 
22.4.1 比较判别法(理论) 
22.4.2 极限比较判别法(理论) 
22.4.3 p判别法(理论) 
22.4.4 绝对收敛判别法 
22.5 级数的新判别法 
22.5.1 比式判别法(理论) 
22.5.2 根式判别法(理论) 
22.5.3 积分判别法(理论) 
22.5.4 交错级数判别法(理论) 
第23 章求解级数问题 
23.1 求几何级数的值 
23.2 应用第n项判别法 
23.3 应用比式判别法 
23.4 应用根式判别法 
23.5 应用积分判别法 
23.6 应用比较判别法、极限比较判别法和p判别法 
23.7 应对含负项的级数 
第24 章泰勒多项式、泰勒级数和幂级数导论 
24.1 近似值和泰勒多项式 
24.1.1 重访线性化 
24.1.2 二次近似 
24.1.3 高阶近似 
24.1.4 泰勒定理 
24.2 幂级数和泰勒级数 
24.2.1 一般幂级数 
24.2.2 泰勒级数和麦克劳林级数 
24.2.3 泰勒级数的收敛性 
24.3 一个有用的极限 
第25 章求解估算问题 
25.1 泰勒多项式与泰勒级数总结 
25.2 求泰勒多项式与泰勒级数 
25.3 用误差项估算问题 
25.3.1 第一个例子 
25.3.2 第二个例子 
25.3.3 第三个例子 
25.3.4 第四个例子 
25.3.5 第五个例子 
25.3.6 误差项估算的一般方法 
25.4 误差估算的另一种方法 
第26 章泰勒级数和幂级数:如何解题 
26.1 幂级数的收敛性 
26.1.1 收敛半径 
26.1.2 求收敛半径和收敛区域 
26.2 合成新的泰勒级数 
26.2.1 代换和泰勒级数 
26.2.2 泰勒级数求导 
26.2.3 泰勒级数求积分 
26.2.4 泰勒级数相加和相减 
26.2.5 泰勒级数相乘 
26.2.6 泰勒级数相除 
26.3 利用幂级数和泰勒级数求导 
26.4 利用麦克劳林级数求极限 
第27 章参数方程和极坐标 
27.1 参数方程 
27.2 极坐标 
27.2.1 极坐标与笛卡儿坐标互换 
27.2.2 极坐标系中画曲线 
27.2.3 求极坐标曲线的切线 
27.2.4 求极坐标曲线围成的面积 
第28 章复数 
28.1 基础 
28.2 复平面 
28.3 复数的高次幂 
28.4 解zn=w 
28.5 解ez=w 
28.6 一些三角级数 
28.7 欧拉恒等式和幂级数 
第29 章体积、弧长和表面积 
29.1 旋转体的体积 
29.1.1 圆盘法 
29.1.2 壳法 
29.1.3 总结和变式 
29.1.4 变式1:区域在曲线和y轴之间 
29.1.5 变式2:两曲线间的区域 
29.1.6 变式3:绕平行于坐标轴的轴旋转 
29.2 一般立体体积 
29.3 弧长 
29.4 旋转体的表面积 
第30 章微分方程 
30.1 微分方程导论 
30.2 可分离变量的一阶微分方程 
30.3 一阶线性方程 
30.4 常系数微分方程 
30.4.1 解一阶齐次方程 
30.4.2 解二阶齐次方程 
30.4.3 为什么特征二次方程适用 
30.4.4 非齐次方程和特解 
30.4.5 求特解 
30.4.6 求特解的例子 
30.4.7 解决yP和yH间的冲突 
30.4.8 IVP 
30.5 微分方程建模 
附录A 极限及其证明 
A.1 极限的正式定义 
A.2 由原极限产生新极限 
A.3 极限的其他情形 
A.4 连续与极限 
A.5 再谈指数函数和对数函数 
A.6 微分与极限 
A.7 泰勒近似定理的证明 
附录B 估算积分 
B.1 使用条纹估算积分 
B.2 梯形法则 
B.3 辛普森法则 
B.4 近似的误差 
符号列表 
索引




辛普森法则的证明

让我们将图像平移, 以便中线位于 y 轴, 如图 B-7 所示.

图 B-7

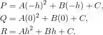
可以看到, 平移的结果将划分端点的 x 坐标移到了 -h、0 和 h. 不再使用 f (x0)、 f (x1) 和 f (x2), 我们只分别写出 P 、Q 和 R. 上边的点由某二次曲线连接, 但我们不知道它是什么. 好吧, 我们就称它为 g 并假设 g (x) = Ax2 + Bx + C. 我们知道 P = g (-h)、Q = g (0) 及 R = g (h), 这表示

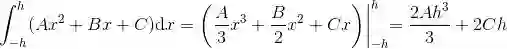
中间那个方程就是 C = Q, 那么重新整理其他两个方程, 会看到 A = (P + R - 2Q) / (2h2). (我们不需要知道 B 是什么!) 现在, 所求阴影部分的面积简化后就是

平方单位. 从上述公式中代换 A 和 C 的值, 表达式可简化为

现在, 我们所要做的就是将它平移至更一般的位置 (不影响其面积) 并用函数值 f (x0)、f (x1) 和 f (x2) 分别替换 P 、Q 和 R, 来获得上一节开始部分的原型公式.(完)

点击【阅读原文】进一步查看或购买此书

登录查看更多
3

相关内容

泰勒级数的定义 若函数f(x)在点的某一邻域内具有直到(n+1)阶导数,则在该邻域内f(x)的n阶泰勒公式为: f(x)=f(x0)+f`( x0)(x- x0)+f``( x0)(x-x0)²/2!+f```( x0)(x- x0)³/3!+...fn(x0)(x- x0)n/n!+.... 其中:fn(x0)(x- x0)n/n!,称为拉格朗日余项。 以上函数展开式称为泰勒级数。
【2020新书】监督机器学习,156页pdf,剑桥大学出版社
专知会员服务
154+阅读 · 2020年6月27日
【干货书】数值计算C编程,319页pdf,Numerical C
专知会员服务
72+阅读 · 2020年4月7日
《深度学习》圣经花书的数学推导、原理与Python代码实现
博客 | MIT—线性代数(上)
AI研习社
10+阅读 · 2018年12月18日
【机器学习数学基础】动图解释泰勒级数(一)
机器学习研究会
6+阅读 · 2018年2月25日
机器学习应该准备哪些数学预备知识?
AI100
4+阅读 · 2017年11月26日
干货|通俗易懂地解释EM算法并举例说明?
机器学习研究会
12+阅读 · 2017年11月17日
图解高等数学|线性代数
遇见数学
39+阅读 · 2017年10月18日
最大熵原理(一)
深度学习探索
12+阅读 · 2017年8月3日
大学数学不好,或许是数学教材的锅?
算法与数学之美
15+阅读 · 2017年8月1日
【基础数学】- 01
遇见数学
20+阅读 · 2017年7月25日
[有意思的数学] 参数估计
机器学习和数学
15+阅读 · 2017年6月4日
Efficient and Effective $L_0$ Feature Selection
Arxiv
5+阅读 · 2018年8月7日
Arxiv
3+阅读 · 2018年1月31日
VIP会员
最新内容
美陆军设想无人系统司令部
专知会员服务
2+阅读 · 今天13:45
【博士论文】已对齐人工智能系统的持久脆弱性
专知会员服务
0+阅读 · 今天13:52
扭曲还是编造?视频大语言模型幻觉研究综述
专知会员服务
0+阅读 · 今天13:41
《采用系统思维应对混合战争》125页
专知会员服务
2+阅读 · 今天12:47
战争机器学习:数据生态系统构建(155页)
专知会员服务
6+阅读 · 今天8:10
内省扩散语言模型
专知会员服务
6+阅读 · 4月14日
国外反无人机系统与技术动态
专知会员服务
4+阅读 · 4月14日
相关资讯
博客 | MIT—线性代数(上)
AI研习社
10+阅读 · 2018年12月18日
【机器学习数学基础】动图解释泰勒级数(一)
机器学习研究会
6+阅读 · 2018年2月25日
机器学习应该准备哪些数学预备知识?
AI100
4+阅读 · 2017年11月26日
干货|通俗易懂地解释EM算法并举例说明?
机器学习研究会
12+阅读 · 2017年11月17日
图解高等数学|线性代数
遇见数学
39+阅读 · 2017年10月18日
最大熵原理(一)
深度学习探索
12+阅读 · 2017年8月3日
大学数学不好,或许是数学教材的锅?
算法与数学之美
15+阅读 · 2017年8月1日
【基础数学】- 01
遇见数学
20+阅读 · 2017年7月25日
[有意思的数学] 参数估计
机器学习和数学
15+阅读 · 2017年6月4日
Top
微信扫码咨询专知VIP会员