卡尔曼滤波器算法浅析及matlab实战

2017 年 7 月 25 日 无人机

作者:Liu_LongPo  

出处:Liu_LongPo的博客


卡尔曼滤波器是一种利用线性系统状态方程,通过系统输入输出观测数据,对系统状态进行最优估计的算法。而且由于观测包含系统的噪声和干扰的影响,所以最优估计也可看做是滤波过程。


卡尔曼滤波器的核心内容就是5条公式,计算简单快速,适合用于少量数据的预测和估计。


下面我们用一个例子来说明一下卡尔曼算法的应用。


假设我们想在有一辆小车,在 t 时刻其速度为 Vt ,位置坐标为 Pt,ut 表示 t 时刻的加速度,那么我们可以用Xt表示 t 时刻的状态,如下:

则我们可以得到,由t-1 时刻到 t 时刻,位置以及速度的转换如下:

用向量表示上述转换过程,如下:

如下图:

那么我们可以得到如下的状态转移公式:

(1)

其中矩阵 F 为状态转移矩阵,表示如何从上一状态来推测当前时刻的状态,B 为控制矩阵,表示控制量u如何作用于当前矩阵,上面的公式 x 有顶帽子,表示只是估计值,并不是最优的。


有了状态转移公式就可以用来推测当前的状态,但是所有的推测都是包含噪声的,噪声越大,不确定越大,协方差矩阵用来表示这次推测带来的不确定性


协方差矩阵


假设我们有一个一维的数据,这个数据每次测量都不同,我们假设服从高斯分布,那么我们可以用均值和方差来表示该数据集,我们将该一维数据集投影到坐标轴上,如下图:

可以看到,服从高斯分布的一维数据大部分分布在均值附近。


现在我们来看看服从高斯分布的二维数据投影到坐标轴的情况,如下图:

二维数据比一维数据稍微复杂一点,投影后有3种情况,分别是:


左图:两个维的数据互不相关;


中图:两个维的数据正相关,也就是 y 随着 x 的增大而增大(假设两个维分别为 x 和 y)


右图:两个维的数据负相关,也就是 y 随着 x 的增大而减小。


那怎么来表示两个维的数据的相关性呢?答案就是协方差矩阵。


状态协方差矩阵传递


在公式(1)之中,我们已经得到了状态的转移公式,但是由上面可知,二维数据的协方差矩阵对于描述数据的特征是很重要的,那么我们应该如何更新或者说传递我们的二维数据的协方差矩阵呢?假如我们用 P 来表示状态协方差,即

那么加入状态转换矩阵 F ,得到

(2)

也即:

因此我们便得到了协方差的转换公式。


现在我们得到了两个公式,运用这两个公式能够对现在状态进行预测。按照我们的正常思路来理解,预测结果不一定会对嘛,肯定有误差。而且在我们大多数回归算法或者是拟合算法中,一般思路都是先预测,然后看看这个预测结果跟实际结果的误差有多大,再根据这个误差来调整预测函数的参数,不断迭代调整参数直到预测误差小于一定的阈值。


卡尔曼算法的迭代思想也类似,不过这里根据误差调整的是状态 X 。


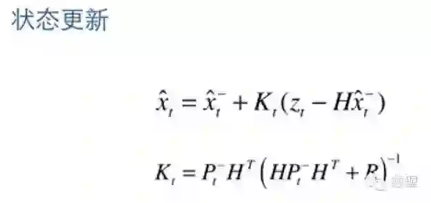
在这里,我们的实际数据就是 Z, 如下图:

其中,矩阵 H 为测量系统的参数,即观察矩阵,v 为观测噪声, 其协方差矩阵为R


那么我们的状态更新公式如下:

其中K 为卡尔曼系数, Z-Hx 则为残差,也就是我们说的,预测值与实际值的误差。


K的作用:


1.K 权衡预测协方差P和观察协方差矩阵R那个更加重要,相信预测,残差的权重小,相信观察,残差权重大,由 K 的表达是可以退出这个结论
2,将残差的表现形式从观察域转换到状态域(残差与一个标量,通过K 转换为向量),由 状态 X 的更新公式可得到该结论。


至此,我们已经得到了 t 状态下的最优估计值 Xt。但为了能让我们的迭代算法持续下去,我们还必须更新状态协方差的值。


状态协方差的更新


以上就是卡尔曼滤波算法的思想,只有简单的 5 条公式,总结如下:

Matlab 实现

function kalmanFiltering%%clc close all%%%%   Description : kalmanFiltering%   Author : Liulongpo%   Time2015-4-29 16:42:34%%%Z=(1:2:200); %观测值  汽车的位置  也就是我们要修改的量noise=randn(1,100); %方差为1的高斯噪声Z=Z+noise;X=[0 ; 0 ]; %初始状态P=[1 0;0 1]; %状态协方差矩阵F=[1 1;0 1]; %状态转移矩阵Q=[0.0001,0;0 , 0.0001]; %状态转移协方差矩阵H=[1,0]; %观测矩阵R=1; %观测噪声方差figure;hold on;for i = 1:100%基于上一状态预测当前状态  X_ = F*X;% 更新协方差  Q系统过程的协方差  这两个公式是对系统的预测P_ = F*P*F'+Q;% 计算卡尔曼增益K = P_*H'/(H*P_*H'+R);% 得到当前状态的最优化估算值  增益乘以残差X = X_+K*(Z(i)-H*X_);%更新K状态的协方差P = (eye(2)-K*H)*P_; scatter(X(1), X(2),4); %画点,横轴表示位置,纵轴表示速度endend

效果如下

其中 x 轴为位置,y轴为速度。


在代码中,我们设定x的变化是 1:2:200,则速度就是2,可以由上图看到,值经过几次迭代,速度就基本上在 2 附近摆动,摆动的原因是我们加入了噪声。


接下来来看一个实际例子。


我们的数据为 data = [149.360 , 150.06, 151.44, 152.81,154.19 ,157.72];


这是运用光流法从视频中获取角点的实际x轴坐标,总共有6个数据,也就是代表了一个点的连续6帧的x轴坐标。接下来这个例子,我们将实现用5帧的数据进行训练,然后预测出第6帧的x轴坐标。


在上一个matlab例子中,我们的训练数据比较多,因此我们的初始状态设置为[0,0],也就是位置为0,速度为0,在训练数据比较多的情况下,初始化数据为0并没有关系,因为我们在上面的效果图中可以看到,算法的经过短暂的迭代就能够发挥作用。


但在这里,我们的训练数据只有5帧,所以为了加快训练,我们将位置状态初始化为第一帧的位置,速度初始化为第二帧与第一帧之差。


代码如下:

KF.m

function [predData,dataX] = KF(dataZ)%%%%   Description : kalmanFiltering%   Author : Liulongpo%   Time2015-4-29 16:42:34%%%Z = dataZ'; len = length(Z);%Z=(1:2:200); %观测值  汽车的位置  也就是我们要修改的量noise=randn(1,len); %方差为1的高斯噪声dataX = zeros(2,len); Z=Z+noise; X=[Z(1) ; Z(2)-Z(1) ]; %初始状态  分别为 位置 和速度P=[1 0;0 1]; %状态协方差矩阵F=[1 1;0 1]; %状态转移矩阵Q=[0.0001,0;0 , 0.0001]; %状态转移协方差矩阵H=[1,0]; %观测矩阵R=1; %观测噪声方差%figure;%hold on;for i = 1:len%基于上一状态预测当前状态  % 2x1  2x1X_ = F*X;% 更新协方差  Q系统过程的协方差  这两个公式是对系统的预测%   2x1  2x1  1x2  2x2P_ = F*P*F'+Q;% 计算卡尔曼增益K = P_*H'/(H*P_*H'+R);% 得到当前状态的最优化估算值  增益乘以残差X = X_+K*(Z(i)-H*X_);%更新K状态的协方差P = (eye(2)-K*H)*P_;dataX(:,i) = [X(1);X(2)];%scatter(X(1), X(2),4); %画点,横轴表示位置,纵轴表示速度endpredData = F*X;end

testKF.m

function testKF%% clc close all%%%data = load('D:\\a.txt');%data = [149.360 , 150.06, 151.44, 152.81,154.19,157.72,157.47,159.33,153.66];data = [149.360 , 150.06, 151.44, 152.81,154.19 ,157.72];[predData , DataX] = KF(data'); error = DataX(1,:) - data;i = 1:length(data); figure subplot 311scatter(i,data,3),title('原始数据') subplot 312scatter(i,DataX(1,:),3),title('预测数据') subplot 313scatter(i,error,3),title('预测误差') predData(1)%{scatter(i,error,3); figure scatter(i,data,3) figure scatter(i,predData(1,:),3)%}end

效果如下:

预测结果为: 155.7493 ,跟实际结果 157.72 仅有1.9 的误差,可以看到,卡尔曼滤波器算法对于少量数据的预测效果还是挺不错的。当然,预测位置的同时,我们也得到了预测速度。




登录查看更多
5

相关内容

在概率论和统计学中,协方差矩阵(也称为自协方差矩阵,色散矩阵,方差矩阵或方差-协方差矩阵)是平方矩阵,给出了给定随机向量的每对元素之间的协方差。 在矩阵对角线中存在方差,即每个元素与其自身的协方差。
专知会员服务
142+阅读 · 2020年5月19日
【干货书】机器学习Python实战教程,366页pdf
专知会员服务
347+阅读 · 2020年3月17日
机器学习速查手册,135页pdf
专知会员服务
345+阅读 · 2020年3月15日
【泡泡读者来稿】一步步深入了解S-MSCKF(二)
泡泡机器人SLAM
10+阅读 · 2018年10月25日
目标跟踪算法分类
大数据技术
13+阅读 · 2018年9月17日
干货:10 种机器学习算法的要点(附 Python代码)
全球人工智能
4+阅读 · 2018年1月5日
免费|机器学习算法Python实现
全球人工智能
6+阅读 · 2018年1月2日
动手写机器学习算法:SVM支持向量机(附代码)
七月在线实验室
12+阅读 · 2017年12月5日
机器学习(16)之支持向量机原理(二)软间隔最大化
机器学习算法与Python学习
6+阅读 · 2017年9月8日
EKF常用于目标跟踪系统的扩展卡尔曼滤波器
无人机
10+阅读 · 2017年7月25日
Bivariate Beta LSTM
Arxiv
6+阅读 · 2019年10月7日
Arxiv
12+阅读 · 2019年3月14日
Arxiv
25+阅读 · 2018年1月24日
VIP会员
最新内容
以色列-美国-伊朗战争中的无人机:关键要点
专知会员服务
1+阅读 · 今天14:04
《Palantir任务保障性软件安全标准(MA-S2)》
专知会员服务
5+阅读 · 今天13:49
基于声学的无人机检测技术综述
专知会员服务
3+阅读 · 今天13:37
《当代混合战争分析框架:俄乌战争经验教训》
专知会员服务
4+阅读 · 今天13:11
战略前沿人工智能的再思考(中文)
专知会员服务
7+阅读 · 5月29日
《量化地基防空系统间接效应的博弈论方法》
专知会员服务
5+阅读 · 5月29日
“史诗怒火行动”中美军损失的作战飞机
专知会员服务
6+阅读 · 5月29日
ICML 2026 | 理解上下文持续学习中的泛化与遗忘
专知会员服务
5+阅读 · 5月28日
相关资讯
【泡泡读者来稿】一步步深入了解S-MSCKF(二)
泡泡机器人SLAM
10+阅读 · 2018年10月25日
目标跟踪算法分类
大数据技术
13+阅读 · 2018年9月17日
干货:10 种机器学习算法的要点(附 Python代码)
全球人工智能
4+阅读 · 2018年1月5日
免费|机器学习算法Python实现
全球人工智能
6+阅读 · 2018年1月2日
动手写机器学习算法:SVM支持向量机(附代码)
七月在线实验室
12+阅读 · 2017年12月5日
机器学习(16)之支持向量机原理(二)软间隔最大化
机器学习算法与Python学习
6+阅读 · 2017年9月8日
EKF常用于目标跟踪系统的扩展卡尔曼滤波器
无人机
10+阅读 · 2017年7月25日
Top
微信扫码咨询专知VIP会员