论文浅尝 - ACL2020 | Segmented Embedding of Knowledge Graphs

2020 年 11 月 20 日 开放知识图谱


来源:ACL2020

链接:https://arxiv.org/pdf/2005.00856.pdf


摘要

知识图谱的嵌入愈发变成AI的热点之一,对许多下游任务至关重要(如个性化推荐、问答等)


同时,此模型强调两个关键特性:

利用足够多的特征进行交叉计算(分块)

同时在计算时,区别对称关系、非对称关系特征

本文的贡献有两个:
1.提出了
轻量级框架SEEK,同时满足模型低复杂性、高表达力
2.提出了新的
打分函数,同时完成特征整合、关系留存


1 引言

知识图谱 knowledge graph (KG)含有大量的实体和关系,表示为三元组(h, r, t),即(头实体 , 关系, 尾实体)

知识图谱嵌入(KGE)是为了,把大量相关的三元组映射到低维空间(保留潜在的语义信息)现有的KGE模型存在的问题:不能很好地平衡模型复杂性(模型参数的数量)和模型表达力(获取语义信息的能力),如下分为两类:

1)模型简单、表达有限
如:TransE、DistMult (简单易用,获取语义信息的能力欠佳)

2)模型复杂、表达力强
如:TransH、TransR、Single DistMult、ConvE、InteractE (模型复杂,需要大量向量计算,扩展性差)

本文的轻量级KGE框架SEEK有如下特性:特征有交互保留关系特性高效的打分函数

特征交互:把嵌入空间分为多块,让各块之间有关联(而不用增加模型参数)

关系特性:同时保留对称的、非对称的关系(对称关系:双向关系;非对称关系:单向关系)

打分函数:结合上述两种特征,计算得分(来自于3个模型的打分函数:DistMult、HoIE、ComplEx)


2 SEEK的框架

各种打分函数是KGE(knowledge graph embedding )的基础,基于此我们建立了SEEK本文提出的SEEK模型的参数和TransE、DistMult一样少,却能更好地表达图谱。


2.1 得分函数的Design

SEEK在得分函数的设计中,迭代了四个版本,逐一看下。

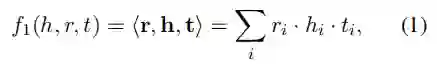
f1: Multi-linear Dot Product:

下图是公式,具体是计算头实体h,尾实体 t,关系 r 之间的点乘。这个是以下公式的基础。

             

f2: Multi-linear Dot Product Among Segments:

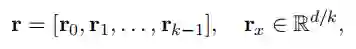
将嵌入维度划分为多段,考虑段与段之间的信息交互。其中 k 是段的个数,d是维度,x 代表关系向量 r 切分后的第 x 段,y 代表头实体向量 h 切分后的第 y 段,w 代表尾实体向量 t 切分后的第 w 段。

例如,我们可以将关系向量嵌入表示为:

          
         


f3: Modeling both Symmetric and Antisymmetric Relations:

我们需要考虑关系的对称性和反对称性。

对于f2模型来说,当给一个具有对称性的关系 r 和一个三元组 (h, r, t),存在f2(h, r, t) = f2(t, r, h),但是对于给定一个反对称关系 r ,仍然存在f2(h, r, t) = f2(t, r, h),这就是不对的,因为此时的 f2(t, r, h)是一个错的三元组。

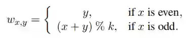
为了考虑关系的对称性和反对称性,将关系向量 r的切割分为奇数和偶数两部分,并引入变量 Sx,y,偶数部分能够捕捉对称性,并且奇数部分能够捕捉反对称性。

           

          

其中Sx,y控制了关系向量的切割点为奇数与偶数时三元组的正负关系。下面是分成 2 段的一个例子

     


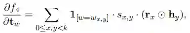
f4: Reducing Computing Overheads

优化计算复杂度。

f3 算法的时间复杂度是O(n2)级别的,还是较高,f4优化了其复杂度,降至O(n2)

对尾实体 t 引入变量Wx,y,具体的计算公式如下,也是分为奇数偶数部分, k 为分割段数,Sx,y计算和f3一样。

       

          

    其中由于Wx,y的计算只与x和y存在关系,因此时间复杂度降为了O(n2),下面是分成 4 段的一个例子

r 的下标为偶数的情况下,考虑了对称性,Sx,y计算和f3一样,都是正(+),偶数的情况下 t 也没有变化。

r 的下标为奇数的情况下,考虑了反对称性,Sxy 计算和 f3 一样,x + y 大于等于 4 的时候为负,其余为正,t 的计算是 (x + y) % k 取余,替换尾实体,段之间的特征交互随着k的增大而增多。

        


2.2 模型训练

损失函数为-log函数,L2正则化,激活函数sigmoid



    Θ:向量嵌入时的参数
    Ω:图谱中本来的三元组、生成的负样本三元组
梯度的计算公式:



    L目标函数,Θ参数,对f4
求导时:



3 实验效果

验证效果采用的数据集是 FB15K,DB100K 和 YAGO37,FB15K 是 Freebase 的子集,DB100K来自DBpedia,YAGO37 来自 YAGO3,具体数据如下:

       


采用的评测任务是链接预测,在三个数据集上面的效果如下图,其中k和d 的设置在三个数据集上面都不一致,是采用网格搜索找到的最优超参数。

评测指标,MRR:所有正确实例排名的倒数的平均值;Hits@N:正确实例的排名中不大于 N 的比例。


4 总结

本文提出一个轻量级框架SEEK,利用打分函数,在不增加模型参数的情况下,提高了模型对知识图谱的嵌入表示效果。主要原理是:1.分块并利用不同块之间的特征交叉计算 2.区分并保留多种关系 。同时SEEK是一个普适性更强的模型,DistMult, ComplEx, HolE可作为SEEK的特例。本文从效率、效果、鲁棒性方面阐述了SEEK的性能。


 


 

OpenKG


开放知识图谱(简称 OpenKG)旨在促进中文知识图谱数据的开放与互联,促进知识图谱和语义技术的普及和广泛应用。

点击阅读原文,进入 OpenKG 网站。


登录查看更多
0

相关内容

【知识图谱@ACL2020】Knowledge Graphs in Natural Language Processing
专知会员服务
66+阅读 · 2020年7月12日
【AAAI2020知识图谱论文概述】Knowledge Graphs @ AAAI 2020
专知会员服务
134+阅读 · 2020年2月13日
17篇知识图谱Knowledge Graphs论文 @AAAI2020
专知会员服务
173+阅读 · 2020年2月13日
ACL2020 | 基于Knowledge Embedding的多跳知识图谱问答
AI科技评论
19+阅读 · 2020年6月29日
论文浅尝 | 可建模语义分层的知识图谱补全方法
开放知识图谱
30+阅读 · 2020年3月8日
ACL 2019开源论文 | 基于Attention的知识图谱关系预测
论文浅尝 | 利用 KG Embedding 进行问题回答
开放知识图谱
22+阅读 · 2019年7月7日
论文浅尝 | 一种嵌入效率极高的 node embedding 方式
开放知识图谱
13+阅读 · 2019年5月12日
论文浅尝 | 面向知识图谱补全的共享嵌入神经网络模型
开放知识图谱
31+阅读 · 2019年4月7日
论文浅尝 | 基于属性嵌入的知识图谱间实体对齐方法
开放知识图谱
30+阅读 · 2019年3月26日
论文浅尝 | 基于知识库的自然语言理解 02#
开放知识图谱
8+阅读 · 2019年2月24日
论文浅尝 | 用对抗学习做知识表示(NAACL2018)
开放知识图谱
5+阅读 · 2019年1月2日
论文浅尝 | Open world Knowledge Graph Completion
开放知识图谱
19+阅读 · 2018年1月30日
Arxiv
8+阅读 · 2020年5月2日
Arxiv
15+阅读 · 2019年11月26日
VIP会员
最新内容
人工智能在战场行动中的演进及伊朗案例
专知会员服务
2+阅读 · 今天13:08
美AI公司Anthropic推出网络安全模型“Mythos”
专知会员服务
2+阅读 · 今天12:58
【博士论文】面向城市环境的可解释计算机视觉
专知会员服务
0+阅读 · 今天12:57
大语言模型的自改进机制:技术综述与未来展望
专知会员服务
0+阅读 · 今天12:50
《第四代军事特种作战部队选拔与评估》
专知会员服务
1+阅读 · 今天6:23
相关资讯
ACL2020 | 基于Knowledge Embedding的多跳知识图谱问答
AI科技评论
19+阅读 · 2020年6月29日
论文浅尝 | 可建模语义分层的知识图谱补全方法
开放知识图谱
30+阅读 · 2020年3月8日
ACL 2019开源论文 | 基于Attention的知识图谱关系预测
论文浅尝 | 利用 KG Embedding 进行问题回答
开放知识图谱
22+阅读 · 2019年7月7日
论文浅尝 | 一种嵌入效率极高的 node embedding 方式
开放知识图谱
13+阅读 · 2019年5月12日
论文浅尝 | 面向知识图谱补全的共享嵌入神经网络模型
开放知识图谱
31+阅读 · 2019年4月7日
论文浅尝 | 基于属性嵌入的知识图谱间实体对齐方法
开放知识图谱
30+阅读 · 2019年3月26日
论文浅尝 | 基于知识库的自然语言理解 02#
开放知识图谱
8+阅读 · 2019年2月24日
论文浅尝 | 用对抗学习做知识表示(NAACL2018)
开放知识图谱
5+阅读 · 2019年1月2日
论文浅尝 | Open world Knowledge Graph Completion
开放知识图谱
19+阅读 · 2018年1月30日
Top
微信扫码咨询专知VIP会员