FCN、Unet、Unet++:医学图像分割那点事儿

2020 年 8 月 20 日 极市平台
↑ 点击 蓝字  关注极市平台

作者丨Error@知乎
来源丨https://zhuanlan.zhihu.com/p/159173338

极市导读

 

本文先厘清了语义分割、实例分割和全景分割等定义的区别。在此基础上,进一步分析了FCN、Unet、Unet++等算法在医学图像上的适用情况。>>>极市七夕粉丝福利活动:炼丹师们,七夕这道算法题,你会解吗?

先上目录:

  1. 相关知识点解释
  2. FCN 网络算法的理解
  3. Unet 网络算法的理解
  4. Unet++ 网络算法的理解
  5. Unet+++ 网络算法的理解
  6. DeepLab v3+ 算法简阅
  7. Unet在医学图像上的适用与CNN分割算法的简要总结

一、相关知识点解释

1、图像分割中几种定义的区别

语义分割(Semantic Segmentation):就是对一张图像上的所有像素点进行分类。(eg: FCN/Unet/Unet++/...)

实例分割(Instance Segmentation):可以理解为目标检测语义分割的结合。(eg: Mask R-CNN/...)相对目标检测的边界框,实例分割可精确到物体的边缘;相对语义分割,实例分割需要标注出图上同一物体的不同个体。

全景分割(Panoptic Segmentation):可以理解为语义分割实例分割的结合。实例分割只对图像中的object进行检测,并对检测到的object进行分割;全景分割是对图中的所有物体包括背景都要进行检测和分割。

图像分类:图像中的气球是一个类别。[1]
语义分割:分割出气球和背景。
目标检测:图像中有7个目标气球,并且检测出每个气球的坐标位置。
实例分割:图像中有7个不同的气球,在像素层面给出属于每个气球的像素。

2. CNN特征学习的优势

高分辨率特征(较浅的卷积层)感知域较小,有利于feature map和原图进行对齐的,也就是我说的可以提供更多的位置信息。
低分辨率信息(深层的卷积层)由于感知域较大,能够学习到更加抽象一些的特征,可以提供更多的上下文信息,即强语义信息,这有利于像素的精确分类。

3. 上采样(意义在于将小尺寸的高维度feature map恢复回去)

上采样(upsampling)一般包括2种方式:

Resize,如双线性插值直接对图像进行缩放(这种方法在原文中提到)
Deconvolution(反卷积)[2],也叫Transposed Convolution(转置卷积),可以理解为卷积的逆向操作。

4. 医学影像语义分割的几个评估指标[3]

1)Jaccard(IoU)

用于比较有限样本集之间的相似性与差异性。Jaccard值越大,样本相似度越高

关于对TP、FP、TN、FN的理解,可参考我的另一篇目标检测中mAP计算的博文:https://zhuanlan.zhihu.com/p/139073511

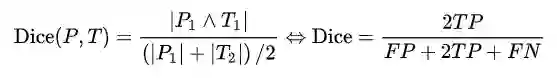
2)Dice相似系数

一种集合相似度度量指标,通常用于计算两个样本的相似度,值的范围0~1 ,分割结果最好时值为1 ,最差时值为0 。Dice相似系数对mask的内部填充比较敏感

3)Hausdorff 距离(豪斯多夫距离

描述两组点集之间相似程度的一种量度,对分割出的边界比较敏感。

4)F1-score

用来衡量二分类模型精确度的一种指标,同时考虑到分类模型的准确率和召回率,可看做是准确率和召回率的一种加权平均

二、FCN网络的理解

FCN将一般的经典的分类网络模型(VGG16...)的最后一层的FC层(全连接)换成卷积,这样可以通过二维的特征图,后接softmax获得每个像素点的分类信息,从而解决了分割问题。

核心思想:
- 不含全连接层(fc)的全卷积(fully conv)网络。可适应任意尺寸输入。
- 增大数据尺寸的反卷积(deconv)层。能够输出精细的结果。
- 结合不同深度层结果的跳级(skip)结构。同时确保鲁棒性和精确性。

FCN结构示意图

对于FCN-32s,直接对pool5 feature进行32倍上采样获得32x upsampled feature,再对32x upsampled feature每个点做softmax prediction获得32x upsampled feature prediction(即分割图)。

对于FCN-16s,首先对pool5 feature进行2倍上采样获得2x upsampled feature,再把pool4 feature和2x upsampled feature逐点相加,然后对相加的feature进行16倍上采样,并softmax prediction,获得16x upsampled feature prediction。

对于FCN-8s,首先进行pool4+2x upsampled feature逐点相加,然后又进行pool3+2x upsampled逐点相加,即进行更多次特征融合。

FCN缺点:

结果不够精细。进行8倍上采样虽然比32倍的效果好了很多,但是上采样的结果还是比较模糊和平滑,对图像中的细节不敏感。

对各个像素进行分类,没有充分考虑像素与像素之间的关系。忽略了在通常的基于像素分类的分割方法中使用的空间规整(spatial regularization)步骤,缺乏空间一致性。

FCN论文地址:https://arxiv.org/abs/1411.4038

三、U-net网络的理解

Unet网络结构图

整个U-Net网络结构类似于一个大型的字母U,与FCN都是很小的分割网络,既没有使用空洞卷积,也没有后接CRF,结构简单。

1. 首先进行Conv+Pooling下采样;
2. 然后反卷积进行上采样,crop之前的低层feature map,进行融合;
3. 再次上采样。
4. 重复这个过程,直到获得输出388x388x2的feature map,
5. 最后经过softmax获得output segment map。总体来说与FCN思路非常类似。

UNet的encoder下采样4次,一共下采样16倍,对称地,其decoder也相应上采样4次,将encoder得到的高级语义特征图恢复到原图片的分辨率。

它采用了与FCN不同的特征融合方式:

  1. FCN采用的是 逐点相加,对应tensorflow的tf.add()函数
  2. U-Net采用的是 channel维度拼接融合,对应tensorflow的tf.concat()函数

Unet论文地址:https://arxiv.org/pdf/1505.04597.pdf

四、Unet++网络的理解 [4]

文章对Unet改进的点主要是skip connection,作者认为skip connection 直接将unet中encoder的浅层特征与decoder的深层特征结合是不妥当的,会产生semantic gap。

文中假设:当所结合的浅层特征与深层特征是semantically similar时,网络的优化问题就会更简单,因此文章对skip connection的改进就是想bridge/reduce 这个semantic gap。

附Unet++论文地址:https://arxiv.org/pdf/1807.10165.pdf

代码地址:https://github.com/MrGiovanni/UNetPlusPlus

五、Unet+++算法的理解 [5]

为了弥补UNet和UNet++的缺陷,UNet 3+中的每一个解码器层都融合了来自编码器中的小尺度和同尺度的特征图,以及来自解码器的大尺度的特征图,这些特征图捕获了全尺度下的细粒度语义和粗粒度语义

附U-net+++论文地址:https://arxiv.org/abs/2004.08790

六、DeepLab v3+算法简阅 [6]

DeepLab v3+结构图

Encoder部分

Encoder就是原来的DeepLabv3,
需要注意点:
1. 输入尺寸与输出尺寸比(output stride = 16),最后一个stage的膨胀率rate为2
2. Atrous Spatial Pyramid Pooling module(ASPP)有四个不同的rate,额外一个全局平均池化

Decoder部分

先把encoder的结果上采样4倍,然后与resnet中下采样前的Conv2特征concat一起,再进行3x3的卷积,最后上采样4倍得到最终结果。
需要注意点:融合低层次信息前,先进行1x1的卷积,目的是降通道(例如有512个通道,而encoder结果只有256个通道)

DeepLab v3+论文地址:https://arxiv.org/pdf/1802.02611.pdf

七、Unet在医学图像上的适用与CNN分割算法的简要总结

1. Unet结构特点
UNet相比于FCN和Deeplab等,共进行了4次上采样,并在同一个stage使用了skip connection,而不是直接在高级语义特征上进行监督和loss反传,这样就保证了最后恢复出来的特征图融合了更多的low-level的feature,也使得不同scale的feature得到了的融合,从而可以进行多尺度预测和DeepSupervision。4次上采样也使得分割图恢复边缘等信息更加精细。

2. 为什么适用于医学图像?[7]

1. 因为医学图像边界模糊、梯度复杂,需要较多的高分辨率信息。高分辨率用于精准分割。
2. 人体内部结构相对固定,分割目标在人体图像中的分布很具有规律,语义简单明确,低分辨率信息能够提供这一信息,用于目标物体的识别。
UNet结合了低分辨率信息(提供物体类别识别依据)和高分辨率信息(提供精准分割定位依据),完美适用于医学图像分割。

3. 分割算法改进总结:

  1. 下采样+上采样:Convlution + Deconvlution/Resize
  2. 多尺度特征融合:特征逐点相加/特征channel维度拼接
  3. 获得像素级别的segement map:对每一个像素点进行判断类别

参考

  1. 实例分割理解 https://blog.csdn.net/tony2278/article/details/90028747?utm_medium=distribute.pc_relevant.none-task-blog-BlogCommendFromMachineLearnPai2-4.nonecase&depth_1-utm_source=distribute.pc_relevant.none-task-blog-BlogCommendFromMachineLearnPai2-4.nonecase
  2. 可以参考一下卷积运算的几种操作 https://blog.csdn.net/attitude_yu/article/details/84697181
  3. https://zhuanlan.zhihu.com/p/117435908?from_voters_page=true
  4. 周纵苇的研习Unet https://zhuanlan.zhihu.com/p/44958351
  5. UNet3+(UNet+++)论文解读 https://zhuanlan.zhihu.com/p/136164721
  6. DeepLab系列理解 https://www.jianshu.com/p/755b001bfe38
  7. Unet神经网络为什么会在医学图像分割表现好?https://www.zhihu.com/question/269914775

推荐阅读


添加极市小助手微信(ID : cvmart2),备注:姓名-学校/公司-研究方向-城市(如:小极-北大-目标检测-深圳),即可申请加入极市目标检测/图像分割/工业检测/人脸/医学影像/3D/SLAM/自动驾驶/超分辨率/姿态估计/ReID/GAN/图像增强/OCR/视频理解等技术交流群:月大咖直播分享、真实项目需求对接、求职内推、算法竞赛、干货资讯汇总、与 10000+来自港科大、北大、清华、中科院、CMU、腾讯、百度等名校名企视觉开发者互动交流~

△长按添加极市小助手

△长按关注极市平台,获取 最新CV干货

觉得有用麻烦给个在看啦~   
登录查看更多
18

相关内容

专知会员服务
84+阅读 · 2020年9月27日
【ECCV2020】OCRNet化解语义分割上下文信息缺失难题
专知会员服务
17+阅读 · 2020年8月24日
【ECCV2020】EfficientFCN:语义分割中的整体引导解码器
专知会员服务
18+阅读 · 2020年8月23日
高效医疗图像分析的统一表示
专知会员服务
36+阅读 · 2020年6月23日
医学图像分割的深度学习解决方案综述
专知会员服务
88+阅读 · 2020年2月14日
病理图像的全景分割
人工智能前沿讲习班
16+阅读 · 2019年6月1日
一文带你读懂 SegNet(语义分割)
AI研习社
19+阅读 · 2019年3月9日
超像素、语义分割、实例分割、全景分割 傻傻分不清?
计算机视觉life
19+阅读 · 2018年11月27日
《pyramid Attention Network for Semantic Segmentation》
统计学习与视觉计算组
44+阅读 · 2018年8月30日
BiSeNet:双向分割网络进行实时语义分割
统计学习与视觉计算组
22+阅读 · 2018年8月23日
一文概览主要语义分割网络:FCN,SegNet,U-Net...
极市平台
6+阅读 · 2018年6月8日
Mask R-CNN 论文笔记
统计学习与视觉计算组
11+阅读 · 2018年3月22日
【应用】深度对抗学习在图像分割和超分辨率中的应用
GAN生成式对抗网络
4+阅读 · 2017年9月12日
语义分割中的深度学习方法全解:从FCN、SegNet到DeepLab
炼数成金订阅号
26+阅读 · 2017年7月10日
Arxiv
7+阅读 · 2018年12月10日
W-net: Bridged U-net for 2D Medical Image Segmentation
Arxiv
20+阅读 · 2018年7月12日
Arxiv
6+阅读 · 2018年7月9日
VIP会员
最新内容
BES:让语言模型通过双向进化搜索自我改进
专知会员服务
3+阅读 · 5月30日
以色列-美国-伊朗战争中的无人机:关键要点
专知会员服务
4+阅读 · 5月30日
《Palantir任务保障性软件安全标准(MA-S2)》
专知会员服务
10+阅读 · 5月30日
基于声学的无人机检测技术综述
专知会员服务
7+阅读 · 5月30日
《当代混合战争分析框架:俄乌战争经验教训》
战略前沿人工智能的再思考(中文)
专知会员服务
8+阅读 · 5月29日
《量化地基防空系统间接效应的博弈论方法》
专知会员服务
6+阅读 · 5月29日
相关资讯
病理图像的全景分割
人工智能前沿讲习班
16+阅读 · 2019年6月1日
一文带你读懂 SegNet(语义分割)
AI研习社
19+阅读 · 2019年3月9日
超像素、语义分割、实例分割、全景分割 傻傻分不清?
计算机视觉life
19+阅读 · 2018年11月27日
《pyramid Attention Network for Semantic Segmentation》
统计学习与视觉计算组
44+阅读 · 2018年8月30日
BiSeNet:双向分割网络进行实时语义分割
统计学习与视觉计算组
22+阅读 · 2018年8月23日
一文概览主要语义分割网络:FCN,SegNet,U-Net...
极市平台
6+阅读 · 2018年6月8日
Mask R-CNN 论文笔记
统计学习与视觉计算组
11+阅读 · 2018年3月22日
【应用】深度对抗学习在图像分割和超分辨率中的应用
GAN生成式对抗网络
4+阅读 · 2017年9月12日
语义分割中的深度学习方法全解:从FCN、SegNet到DeepLab
炼数成金订阅号
26+阅读 · 2017年7月10日
Top
微信扫码咨询专知VIP会员