理解情感 :从 Keras 移植到 pyTorch

2017 年 10 月 16 日 机器学习研究会 钱曙光

导语:情感情绪检测是自然语言理解的关键要素。最近,我们将原来的项目迁移到了新的集成系统上,该系统基于麻省理工学院媒体实验室推出的NLP模型搭建而成。

情感情绪检测是自然语言理解的关键要素。最近,我们将原来的项目迁移到了新的集成系统上,该系统基于麻省理工学院媒体实验室推出的NLP模型搭建而成。

代码已经开源了!(详见GitHub:https://github.com/huggingface/torchMoji )

该模型最初的设计使用了TensorFlow、Theano和Keras,接着我们将其移植到了pyTorch上。与Keras相比,pyTorch能让我们更自由地开发和测试各种定制化的神经网络模块,并使用易于阅读的numpy风格来编写代码。在这篇文章中,我将详细说明在移植过程中出现的几个有趣的问题:

  • 如何使用自定义激活功能定制pyTorch LSTM

  • PackedSequence对象的工作原理及其构建

  • 如何将关注层从Keras转换成pyTorch

  • 如何在pyTorch中加载数据:DataSet和Smart Batching

  • 如何在pyTorch中实现Keras的权重初始化

首先,我们来看看torchMoji/DeepMoji的模型。它是一个相当标准而强大的人工语言处理神经网络,具有两个双LSTM层,其后是关注层和分类器:

torchMoji/DeepMoji模型

如何构建一个定制化的pyTorch LSTM模块

DeepMoji有一个很不错的特点:Bjarke Felbo及其协作者能够在一个拥有16亿条记录的海量数据集上训练该模型。因此,预先训练的模型在此训练集中具有非常丰富的情感和情绪表征,我们可以很方便地使用这个训练过的模型。

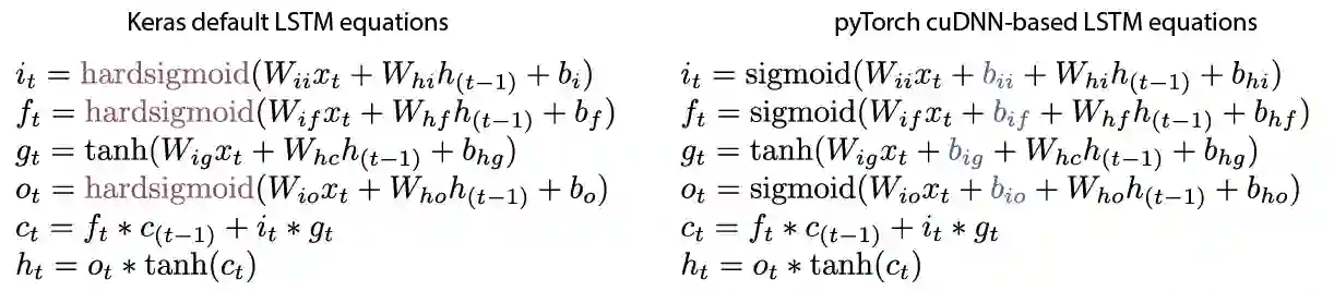
该模型是使用针对LSTM的回归内核的Theano/Keras默认激活函数hard sigmoid训练的,而pyTorch是基于NVIDIA的cuDNN库建模的,这样,可获得原生支持LSTM的GPU加速与标准的sigmoid回归激活函数:

Keras默认的LSTM和pyTorch默认的LSTM
因此,我写了一个具有hard sigmoid回归激活函数的自定义LSTM层:

def LSTMCell(input, hidden, w_ih, w_hh, b_ih=None, b_hh=None):
    """    A modified LSTM cell with hard sigmoid activation on the input, forget and output gates.    """
    hx, cx = hidden
    gates = F.linear(input, w_ih, b_ih) + F.linear(hx, w_hh, b_hh)

    ingate, forgetgate, cellgate, outgate = gates.chunk(4, 1)

    ingate = hard_sigmoid(ingate)
    forgetgate = hard_sigmoid(forgetgate)
    cellgate = F.tanh(cellgate)
    outgate = hard_sigmoid(outgate)

    cy = (forgetgate * cx) + (ingate * cellgate)
    hy = outgate * F.tanh(cy)    return hy, cydef hard_sigmoid(x):
    """    Computes element-wise hard sigmoid of x.    See e.g. https://github.com/Theano/Theano/blob/master/theano/tensor/nnet/sigm.py#L279    """
    x = (0.2 * x) + 0.5
    x = F.threshold(-x, -1, -1)
    x = F.threshold(-x, 0, 0)return x

这个LSTM单元必须集成在一个完整的模块中,这样才可以使用pyTorch所有的功能。这个集成相关的代码很长,建议直接引用到Github中的相关源代码。

Keras和pyTorch中的关注层

模型的关注层是一个有趣的模块,我们可以分别在Keras和pyTorch的代码中进行比较:

class Attention(Module):
    """    Computes a weighted average of channels across timesteps (1 parameter pr. channel).    """
    def __init__(self, attention_size, return_attention=False):
        """ Initialize the attention layer        # Arguments:            attention_size: Size of the attention vector.            return_attention: If true, output will include the weight for each input token                              used for the prediction        """
        super(Attention, self).__init__()
        self.return_attention = return_attention
        self.attention_size = attention_size
        self.attention_vector = Parameter(torch.FloatTensor(attention_size))    def __repr__(self):
        s = '{name}({attention_size}, return attention={return_attention})'
        return s.format(name=self.__class__.__name__, **self.__dict__)    def forward(self, inputs, input_lengths):
        """ Forward pass.        # Arguments:            inputs (Torch.Variable): Tensor of input sequences            input_lengths (torch.LongTensor): Lengths of the sequences        # Return:            Tuple with (representations and attentions if self.return_attention else None).        """
        logits = inputs.matmul(self.attention_vector)
        unnorm_ai = (logits - logits.max()).exp()        # Compute a mask for the attention on the padded sequences
        # See e.g. https://discuss.pytorch.org/t/self-attention-on-words-and-masking/5671/5
        max_len = unnorm_ai.size(1)
        idxes = torch.arange(0, max_len, out=torch.LongTensor(max_len)).unsqueeze(0)        if torch.cuda.is_available():
            idxes = idxes.cuda()
        mask = Variable((idxes < input_lengths.unsqueeze(1)).float())        # apply mask and renormalize attention scores (weights)
        masked_weights = unnorm_ai * mask
        att_sums = masked_weights.sum(dim=1, keepdim=True)  # sums per sequence
        attentions = masked_weights.div(att_sums)        # apply attention weights
        weighted = torch.mul(inputs, attentions.unsqueeze(-1).expand_as(inputs))        # get the final fixed vector representations of the sentences
        representations = weighted.sum(dim=1)return (representations, attentions if self.return_attention else None)class AttentionWeightedAverage(Layer):
    """    Computes a weighted average of the different channels across timesteps.    Uses 1 parameter pr. channel to compute the attention value for a single timestep.    """

    def __init__(self, return_attention=False, **kwargs):
        self.init = initializers.get('uniform')
        self.supports_masking = True
        self.return_attention = return_attention
        super(AttentionWeightedAverage, self).__init__(** kwargs)    def build(self, input_shape):
        self.input_spec = [InputSpec(ndim=3)]        assert len(input_shape) == 3

        self.W = self.add_weight(shape=(input_shape[2], 1),
                                 name='{}_W'.format(self.name),
                                 initializer=self.init)
        self.trainable_weights = [self.W]
        super(AttentionWeightedAverage, self).build(input_shape)    def call(self, x, mask=None):
        # computes a probability distribution over the timesteps
        # uses 'max trick' for numerical stability
        # reshape is done to avoid issue with Tensorflow
        # and 1-dimensional weights
        logits = K.dot(x, self.W)
        x_shape = K.shape(x)
        logits = K.reshape(logits, (x_shape[0], x_shape[1]))
        ai = K.exp(logits - K.max(logits, axis=-1, keepdims=True))        # masked timesteps have zero weight
        if mask is not None:
            mask = K.cast(mask, K.floatx())
            ai = ai * mask
        att_weights = ai / K.sum(ai, axis=1, keepdims=True)
        weighted_input = x * K.expand_dims(att_weights)
        result = K.sum(weighted_input, axis=1)        if self.return_attention:            return [result, att_weights]        return result    def get_output_shape_for(self, input_shape):
        return self.compute_output_shape(input_shape)    def compute_output_shape(self, input_shape):
        output_len = input_shape[2]        if self.return_attention:            return [(input_shape[0], output_len), (input_shape[0], input_shape[1])]        return (input_shape[0], output_len)    def compute_mask(self, input, input_mask=None):
        if isinstance(input_mask, list):            return [None] * len(input_mask)        else:return None

如你所见,主要的算法大致相同,但PyTorch代码中的大部分都是注释,而Keras则需要编写几个附加函数并进行调用。

在编写和调试自定义模块和层时,pyTorch是一个更快的选择;而对于快速训练和测试由标准层构建的模型时,Keras显然更加合适。

PackedSequence对象的工作原理

Keras有一个不错的掩码功能可以用来处理可变长度序列。那么在pyTorch中又该如何处理这个呢?可以使用PackedSequences! pyTorch文档中有关PackedSequence的介绍并不是很详细,所以这里会详细描述它的细节。

转自:腾讯云

完整内容请点击“阅读原文”

登录查看更多
6

相关内容

Sklearn 与 TensorFlow 机器学习实用指南,385页pdf
专知会员服务
131+阅读 · 2020年3月15日
Transformer文本分类代码
专知会员服务
118+阅读 · 2020年2月3日
【模型泛化教程】标签平滑与Keras, TensorFlow,和深度学习
专知会员服务
21+阅读 · 2019年12月31日
【干货】用BRET进行多标签文本分类(附代码)
专知会员服务
85+阅读 · 2019年12月27日
【书籍】深度学习框架:PyTorch入门与实践(附代码)
专知会员服务
168+阅读 · 2019年10月28日
开源书:PyTorch深度学习起步
专知会员服务
51+阅读 · 2019年10月11日
初学者的 Keras:实现卷积神经网络
Python程序员
24+阅读 · 2019年9月8日
盘一盘 Python 系列 10 - Keras (上)
平均机器
5+阅读 · 2019年8月26日
开发 | PyTorch好助手:PyTorch Hub一键复现各路模型
基于PyTorch/TorchText的自然语言处理库
专知
28+阅读 · 2019年4月22日
教程 | 用TensorFlow Estimator实现文本分类
机器之心
4+阅读 · 2018年5月17日
深度学习基础之LSTM
全球人工智能
29+阅读 · 2017年12月18日
PyTorch vs. TensorFlow之一个月用户体验
深度学习世界
3+阅读 · 2017年10月21日
【推荐】用Tensorflow理解LSTM
机器学习研究会
36+阅读 · 2017年9月11日
Do RNN and LSTM have Long Memory?
Arxiv
19+阅读 · 2020年6月10日
Arxiv
6+阅读 · 2019年3月19日
Arxiv
11+阅读 · 2018年5月13日
Arxiv
4+阅读 · 2018年3月14日
Arxiv
8+阅读 · 2018年1月12日
Arxiv
4+阅读 · 2015年8月25日
VIP会员
最新内容
基于数据优化的人机协同与机器人僚机
专知会员服务
3+阅读 · 今天2:08
美陆军设想无人系统司令部
专知会员服务
3+阅读 · 4月15日
【博士论文】已对齐人工智能系统的持久脆弱性
扭曲还是编造?视频大语言模型幻觉研究综述
专知会员服务
4+阅读 · 4月15日
相关VIP内容
Sklearn 与 TensorFlow 机器学习实用指南,385页pdf
专知会员服务
131+阅读 · 2020年3月15日
Transformer文本分类代码
专知会员服务
118+阅读 · 2020年2月3日
【模型泛化教程】标签平滑与Keras, TensorFlow,和深度学习
专知会员服务
21+阅读 · 2019年12月31日
【干货】用BRET进行多标签文本分类(附代码)
专知会员服务
85+阅读 · 2019年12月27日
【书籍】深度学习框架:PyTorch入门与实践(附代码)
专知会员服务
168+阅读 · 2019年10月28日
开源书:PyTorch深度学习起步
专知会员服务
51+阅读 · 2019年10月11日
相关资讯
初学者的 Keras:实现卷积神经网络
Python程序员
24+阅读 · 2019年9月8日
盘一盘 Python 系列 10 - Keras (上)
平均机器
5+阅读 · 2019年8月26日
开发 | PyTorch好助手:PyTorch Hub一键复现各路模型
基于PyTorch/TorchText的自然语言处理库
专知
28+阅读 · 2019年4月22日
教程 | 用TensorFlow Estimator实现文本分类
机器之心
4+阅读 · 2018年5月17日
深度学习基础之LSTM
全球人工智能
29+阅读 · 2017年12月18日
PyTorch vs. TensorFlow之一个月用户体验
深度学习世界
3+阅读 · 2017年10月21日
【推荐】用Tensorflow理解LSTM
机器学习研究会
36+阅读 · 2017年9月11日
相关论文
Do RNN and LSTM have Long Memory?
Arxiv
19+阅读 · 2020年6月10日
Arxiv
6+阅读 · 2019年3月19日
Arxiv
11+阅读 · 2018年5月13日
Arxiv
4+阅读 · 2018年3月14日
Arxiv
8+阅读 · 2018年1月12日
Arxiv
4+阅读 · 2015年8月25日
Top
微信扫码咨询专知VIP会员