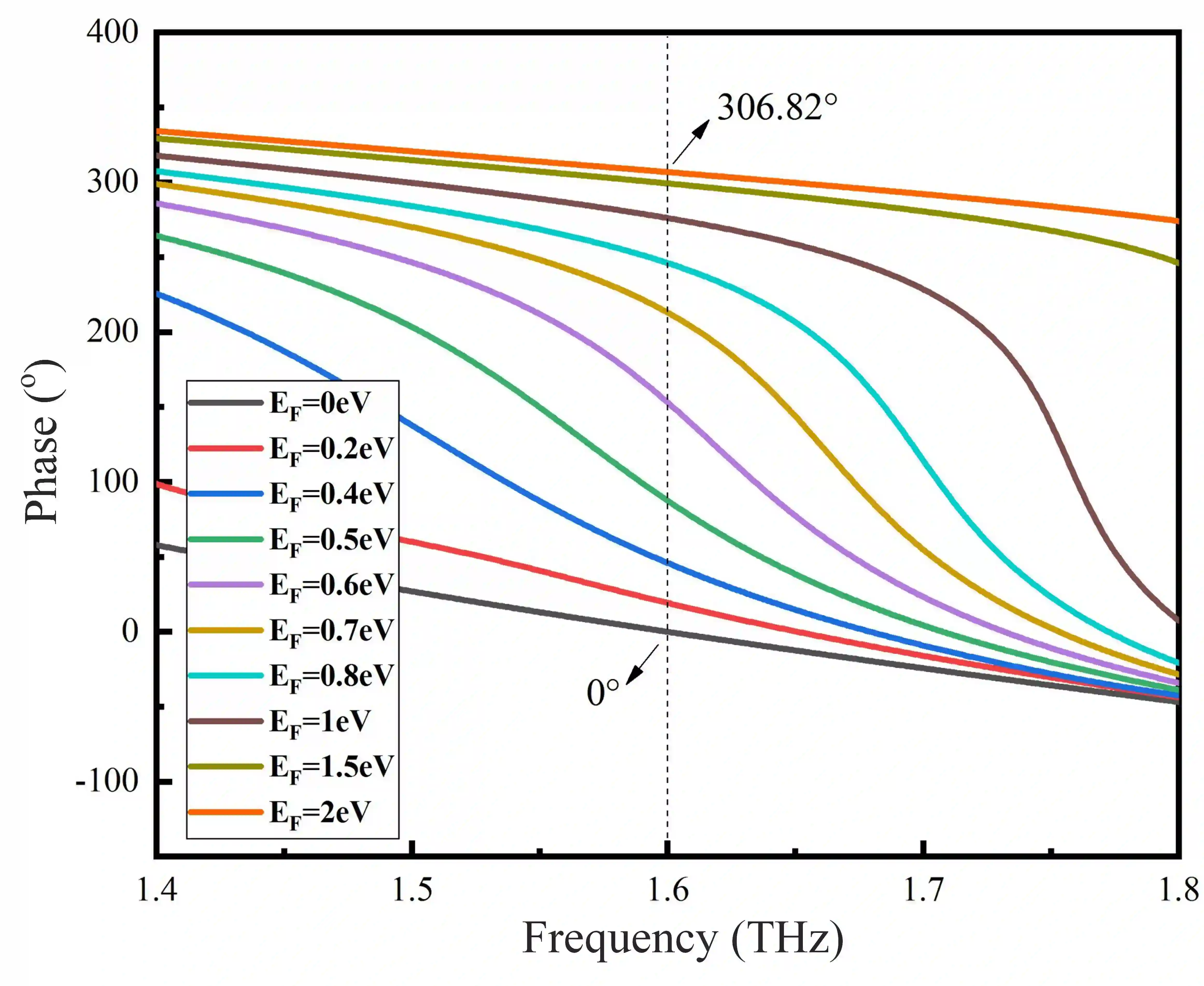
Terahertz (THz) communications have been envisioned as a promising enabler to provide ultra-high data transmission for sixth generation (6G) wireless networks. To tackle the blockage vulnerability brought by severe attenuation and poor diffraction of THz waves, a nanoscale reconfigurable intelligent surface (NRIS) is developed to smartly manipulate the propagation directions of incident THz waves. In this paper, the electric properties of the graphene are investigated by revealing the relationship between conductivity and applied voltages, and then an efficient hardware structure of electrically-controlled NRIS is designed based on Fabry-Perot resonance model. Particularly, the phase response of NRIS can be programmed up to 306.82 degrees. To analyze the hardware performance, we jointly design the passive and active beamforming for NRIS aided THz communication system. Particularly, an adaptive gradient descent (A-GD) algorithm is developed to optimize the phase shift matrix of NRIS by dynamically updating the step size during the iterative process. Finally, numerical results demonstrate the effectiveness of our designed hardware architecture as well as the developed algorithm.


翻译:Terahertz (THZ) 通信被认为是为第六代(6G)无线网络提供超高数据传输的极高数据传输的有希望的推进器。为了应对因严重减速和低度分解THZ波造成的阻塞性脆弱性,我们开发了纳米的可重新配置智能表面,以便明智地操纵事件THZ波的传播方向。在本文中,通过披露导电率与应用电压之间的关系,对石墨的电子特性进行了调查,然后根据Fabry-Perot Resonance模型设计了一个由电力控制的NRIS高效硬件结构。特别是,NRIS的阶段反应可编程到306.82度。为了分析硬件性能,我们联合设计了NRIS辅助THZ通信系统的被动和主动成型。特别是,正在开发一个适应性梯度下降(A-GD)算法,以优化NRIS的阶段转移矩阵,在迭接过程中动态更新步骤尺寸。最后,数字结果表明我们设计的硬件结构作为发达的算法的有效性。

0
下载
关闭预览

相关内容

不可错过!《机器学习100讲》课程,UBC Mark Schmidt讲授
专知会员服务
76+阅读 · 2022年6月28日
Stabilizing Transformers for Reinforcement Learning
专知会员服务
60+阅读 · 2019年10月17日
[综述]深度学习下的场景文本检测与识别
专知会员服务
78+阅读 · 2019年10月10日
【哈佛大学商学院课程Fall 2019】机器学习可解释性
专知会员服务
105+阅读 · 2019年10月9日
【SIGGRAPH2019】TensorFlow 2.0深度学习计算机图形学应用
专知会员服务
41+阅读 · 2019年10月9日
VCIP 2022 Call for Demos
CCF多媒体专委会
1+阅读 · 2022年6月6日
VCIP 2022 Call for Special Session Proposals
CCF多媒体专委会
1+阅读 · 2022年4月1日
ACM TOMM Call for Papers
CCF多媒体专委会
2+阅读 · 2022年3月23日
AIART 2022 Call for Papers
CCF多媒体专委会
1+阅读 · 2022年2月13日
【ICIG2021】Latest News & Announcements of the Plenary Talk1
中国图象图形学学会CSIG
0+阅读 · 2021年11月1日
会议交流 | IJCKG: International Joint Conference on Knowledge Graphs
【ICIG2021】Latest News & Announcements of the Industry Talk1
中国图象图形学学会CSIG
0+阅读 · 2021年7月28日
Hierarchically Structured Meta-learning
CreateAMind
27+阅读 · 2019年5月22日
Transferring Knowledge across Learning Processes
CreateAMind
29+阅读 · 2019年5月18日
Unsupervised Learning via Meta-Learning
CreateAMind
44+阅读 · 2019年1月3日
国家自然科学基金
1+阅读 · 2014年12月31日
国家自然科学基金
0+阅读 · 2013年12月31日
国家自然科学基金
4+阅读 · 2013年2月4日
国家自然科学基金
0+阅读 · 2012年12月31日
国家自然科学基金
1+阅读 · 2012年12月31日
国家自然科学基金
0+阅读 · 2012年12月31日
国家自然科学基金
0+阅读 · 2011年12月31日
国家自然科学基金
0+阅读 · 2009年12月31日
国家自然科学基金
0+阅读 · 2009年12月31日
Arxiv
0+阅读 · 2022年8月25日
Neural Architecture Search without Training
Arxiv
10+阅读 · 2021年6月11日
VIP会员
最新内容
基于数据优化的人机协同与机器人僚机
专知会员服务
4+阅读 · 今天2:08
美陆军设想无人系统司令部
专知会员服务
3+阅读 · 4月15日
【博士论文】已对齐人工智能系统的持久脆弱性
扭曲还是编造?视频大语言模型幻觉研究综述
专知会员服务
5+阅读 · 4月15日
相关资讯
VCIP 2022 Call for Demos
CCF多媒体专委会
1+阅读 · 2022年6月6日
VCIP 2022 Call for Special Session Proposals
CCF多媒体专委会
1+阅读 · 2022年4月1日
ACM TOMM Call for Papers
CCF多媒体专委会
2+阅读 · 2022年3月23日
AIART 2022 Call for Papers
CCF多媒体专委会
1+阅读 · 2022年2月13日
【ICIG2021】Latest News & Announcements of the Plenary Talk1
中国图象图形学学会CSIG
0+阅读 · 2021年11月1日
会议交流 | IJCKG: International Joint Conference on Knowledge Graphs
【ICIG2021】Latest News & Announcements of the Industry Talk1
中国图象图形学学会CSIG
0+阅读 · 2021年7月28日
Hierarchically Structured Meta-learning
CreateAMind
27+阅读 · 2019年5月22日
Transferring Knowledge across Learning Processes
CreateAMind
29+阅读 · 2019年5月18日
Unsupervised Learning via Meta-Learning
CreateAMind
44+阅读 · 2019年1月3日
相关基金
国家自然科学基金
1+阅读 · 2014年12月31日
国家自然科学基金
0+阅读 · 2013年12月31日
国家自然科学基金
4+阅读 · 2013年2月4日
国家自然科学基金
0+阅读 · 2012年12月31日
国家自然科学基金
1+阅读 · 2012年12月31日
国家自然科学基金
0+阅读 · 2012年12月31日
国家自然科学基金
0+阅读 · 2011年12月31日
国家自然科学基金
0+阅读 · 2009年12月31日
国家自然科学基金
0+阅读 · 2009年12月31日
Top
微信扫码咨询专知VIP会员