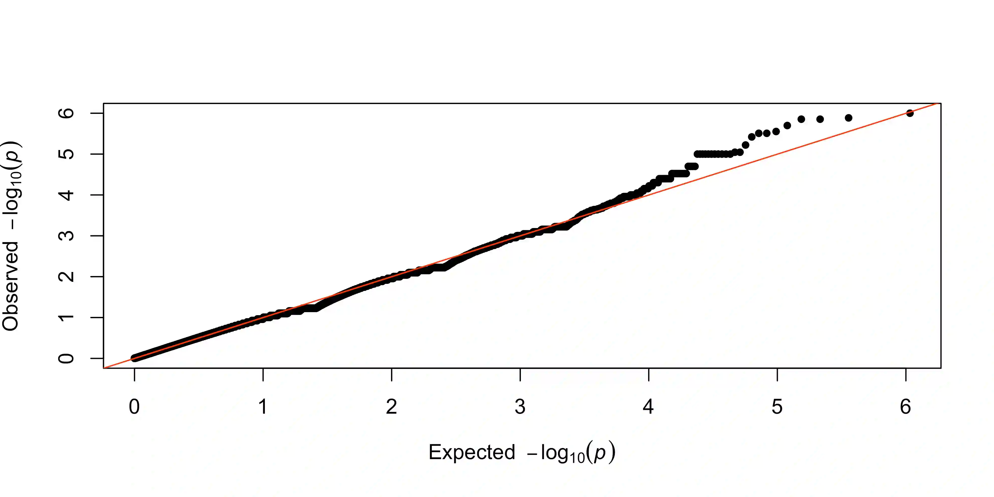
In genome-wide association studies (GWASs), there is an increasing need for detecting the associations between a genetic variant and multiple traits. In studies of complex diseases, it is common to measure several potentially correlated traits in a single GWAS. Despite the multivariate nature of the studies, single-trait-based methods remain the most widely-adopted analysis procedure, owing to their simplicity for studies with multiple traits as their outcome. However, the association between a genetic variant and a single trait sometimes can be weak, and ignoring the actual correlation among traits may lose power. On the contrary, multiple-trait analysis, a method analyzes a group of traits simultaneously, has been proven to be more powerful by incorporating information from the correlated traits. Although existing methods have been developed for multiple traits, several drawbacks limit their wide application in GWASs. In this paper, we propose a multiple-trait adaptive Fisher's (MTAF) method to test associations between a genetic variant and multiple traits at once, by adaptively aggregating evidence from each trait. The proposed method can accommodate both continuous and binary traits and it has reliable performance under various scenarios. Using a simulation study, we compared our proposed method with several existing methods and demonstrated its competitiveness in terms of type I error control and statistical power. By applying the method to the Study of Addiction: Genetics and Environment (SAGE) dataset, we successfully identified several genes associated with substance dependence.


翻译:在全基因组联系研究(GWAS)中,越来越需要发现基因变异和多种特性之间的联系。在复杂疾病的研究中,通常需要同时测量某个基因变异和多种特性之间的关联。尽管研究具有多变性质,单轨基方法仍然是最广泛采用的分析程序,因为其结果具有多种特性,基因变异和单一特性之间的关联可能比较弱,而忽视基因变异和多种特性之间的实际关联可能会丧失力量。相反,多轨分析、同时分析一组特性的方法通过纳入相关特性的信息而证明更为有力。尽管现有方法具有多种特性,但单轨基方法仍然是最广泛采用的分析程序,因为其结果是具有多种特性的研究简单易行,然而,我们建议采用多轨适应性适应性渔业公司(MTAFAF)方法来测试遗传变异异和多种特性之间的关联,同时忽略每个特性之间的实际关联性关联性。提议的方法可以适应连续和双轨分析一组特性,同时通过纳入相关特性的信息,证明更强有力。尽管现有方法针对多种基因变异性的研究方法,但以可靠的方式进行了模拟。我们用各种统计变本研究。

0
下载
关闭预览

相关内容

【google】监督对比学习,Supervised Contrastive Learning
专知会员服务
33+阅读 · 2020年4月23日
Keras François Chollet 《Deep Learning with Python 》, 386页pdf
专知会员服务
164+阅读 · 2019年10月12日
Transferring Knowledge across Learning Processes
CreateAMind
29+阅读 · 2019年5月18日
A Technical Overview of AI & ML in 2018 & Trends for 2019
待字闺中
18+阅读 · 2018年12月24日
disentangled-representation-papers
CreateAMind
26+阅读 · 2018年9月12日
Relation Networks for Object Detection 论文笔记
统计学习与视觉计算组
16+阅读 · 2018年4月18日
Hierarchical Disentangled Representations
CreateAMind
4+阅读 · 2018年4月15日
计算机类 | 国际会议信息7条
Call4Papers
3+阅读 · 2017年11月17日
【论文】图上的表示学习综述
机器学习研究会
15+阅读 · 2017年9月24日
Auto-Encoding GAN
CreateAMind
7+阅读 · 2017年8月4日
Arxiv
27+阅读 · 2020年12月24日
Arxiv
21+阅读 · 2020年10月11日
Arxiv
4+阅读 · 2018年6月14日
Arxiv
3+阅读 · 2018年5月21日
Arxiv
10+阅读 · 2018年3月10日
Arxiv
4+阅读 · 2017年11月4日
VIP会员
最新内容
以色列军事技术对美国军力发展的持续性赋能
专知会员服务
5+阅读 · 今天8:46
《深度强化学习在兵棋推演中的应用》40页报告
专知会员服务
8+阅读 · 今天5:37
《多域作战面临复杂现实》
专知会员服务
6+阅读 · 今天5:35
《印度的多域作战:条令与能力发展》报告
专知会员服务
2+阅读 · 今天5:24
人工智能赋能无人机:俄乌战争(万字长文)
专知会员服务
7+阅读 · 4月23日
国外海军作战管理系统与作战训练系统
专知会员服务
3+阅读 · 4月23日
相关VIP内容
相关资讯
Transferring Knowledge across Learning Processes
CreateAMind
29+阅读 · 2019年5月18日
A Technical Overview of AI & ML in 2018 & Trends for 2019
待字闺中
18+阅读 · 2018年12月24日
disentangled-representation-papers
CreateAMind
26+阅读 · 2018年9月12日
Relation Networks for Object Detection 论文笔记
统计学习与视觉计算组
16+阅读 · 2018年4月18日
Hierarchical Disentangled Representations
CreateAMind
4+阅读 · 2018年4月15日
计算机类 | 国际会议信息7条
Call4Papers
3+阅读 · 2017年11月17日
【论文】图上的表示学习综述
机器学习研究会
15+阅读 · 2017年9月24日
Auto-Encoding GAN
CreateAMind
7+阅读 · 2017年8月4日
Top
微信扫码咨询专知VIP会员