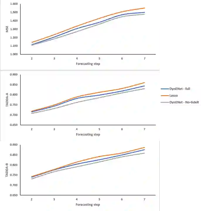
This article illustrates an approach to forecasting change in conflict fatalities designed to address the complexity of the drivers and processes of armed conflicts. The design of this approach is based on two main choices. First, to account for the specificity of conflict drivers and processes over time and space, we model conflicts in each individual country separately. Second, we draw on an adaptive model -- Dynamic Elastic Net, DynENet -- which is able to efficiently select relevant predictors among a large set of covariates. We include over 700 variables in our models, adding event data on top of the data features provided by the con-venors of the forecasting competition. We show that our approach is suitable and computa-tionally efficient enough to address the complexity of conflict dynamics. Moreover, the adaptive nature of our model brings a significant added value. Because for each country our model only selects the variables that are relevant to predict conflict intensity, the retained predictors can be analyzed to describe the dynamic configuration of conflict drivers both across countries and within countries over time. Countries can then be clustered to observe the emergence of broader patterns related to correlates of conflict. In this sense, our ap-proach produces interpretable forecasts, addressing one key limitation of contemporary ap-proaches to forecasting.


翻译:文章展示了预测冲突死亡人数变化的方法,目的是解决武装冲突驱动因素和进程的复杂性。设计这一方法的依据是两个主要选择。首先,为了说明冲突驱动因素和过程在时间和空间上的特殊性,我们分别在每个国家进行冲突模型。第二,我们采用适应性模型 -- -- 动态 Elastic Net, DynENet -- -- 能够有效地在一大批共变体中选择相关预测器。我们在模型中包括700多个变量,在预测竞争召集人提供的数据特征之上添加事件数据。我们显示,我们的方法是合适的,而且兼容高效,足以解决冲突动态的复杂性。此外,我们模型的适应性带来了巨大的附加值。因为对每个国家而言,我们的模型只选择了与预测冲突强度相关的变量,因此,可以对留存的预测器进行分析,以描述不同国家和各国国内冲突驱动因素的动态配置。然后,各国可以聚集在一起观察与冲突相关联的更广泛模式的出现。从这个意义上讲,我们的预测方案将产生一种可解释的当代关键预测。

0
下载
关闭预览

相关内容

100+篇《自监督学习(Self-Supervised Learning)》论文最新合集
专知会员服务
167+阅读 · 2020年3月18日
Keras François Chollet 《Deep Learning with Python 》, 386页pdf
专知会员服务
164+阅读 · 2019年10月12日
【哈佛大学商学院课程Fall 2019】机器学习可解释性
专知会员服务
105+阅读 · 2019年10月9日
AIART 2022 Call for Papers
CCF多媒体专委会
1+阅读 · 2022年2月13日
【ICIG2021】Check out the hot new trailer of ICIG2021 Symposium6
中国图象图形学学会CSIG
2+阅读 · 2021年11月12日
【ICIG2021】Check out the hot new trailer of ICIG2021 Symposium5
中国图象图形学学会CSIG
1+阅读 · 2021年11月11日
【ICIG2021】Check out the hot new trailer of ICIG2021 Symposium1
中国图象图形学学会CSIG
0+阅读 · 2021年11月3日
Hierarchically Structured Meta-learning
CreateAMind
27+阅读 · 2019年5月22日
Transferring Knowledge across Learning Processes
CreateAMind
29+阅读 · 2019年5月18日
Unsupervised Learning via Meta-Learning
CreateAMind
44+阅读 · 2019年1月3日
A Technical Overview of AI & ML in 2018 & Trends for 2019
待字闺中
18+阅读 · 2018年12月24日
利用动态深度学习预测金融时间序列基于Python
量化投资与机器学习
18+阅读 · 2018年10月30日
【推荐】RNN/LSTM时序预测
机器学习研究会
25+阅读 · 2017年9月8日
国家自然科学基金
0+阅读 · 2016年12月31日
国家自然科学基金
0+阅读 · 2015年12月31日
国家自然科学基金
0+阅读 · 2013年12月31日
国家自然科学基金
0+阅读 · 2012年12月31日
国家自然科学基金
0+阅读 · 2012年12月31日
国家自然科学基金
0+阅读 · 2011年12月31日
Arxiv
0+阅读 · 2022年7月15日
Arxiv
15+阅读 · 2021年2月19日
Arxiv
35+阅读 · 2021年1月27日
VIP会员
最新内容
(译文)认知战:以士兵为目标,塑造战略
专知会员服务
2+阅读 · 今天3:12
(中文)认知战的本体论基础(2026报告)
专知会员服务
17+阅读 · 今天1:45
美空军条令(2026):外国对内防御
专知会员服务
3+阅读 · 今天1:32
美国与以色列如何在攻击伊朗中使用人工智能
专知会员服务
7+阅读 · 4月16日
《自动化战略情报管控》
专知会员服务
3+阅读 · 4月16日
得失评估:审视对伊朗战争的轨迹(简报)
专知会员服务
3+阅读 · 4月16日
【CMU博士论文】迈向可解释机器学习的理论基础
相关VIP内容
100+篇《自监督学习(Self-Supervised Learning)》论文最新合集
专知会员服务
167+阅读 · 2020年3月18日
Keras François Chollet 《Deep Learning with Python 》, 386页pdf
专知会员服务
164+阅读 · 2019年10月12日
【哈佛大学商学院课程Fall 2019】机器学习可解释性
专知会员服务
105+阅读 · 2019年10月9日
相关资讯
AIART 2022 Call for Papers
CCF多媒体专委会
1+阅读 · 2022年2月13日
【ICIG2021】Check out the hot new trailer of ICIG2021 Symposium6
中国图象图形学学会CSIG
2+阅读 · 2021年11月12日
【ICIG2021】Check out the hot new trailer of ICIG2021 Symposium5
中国图象图形学学会CSIG
1+阅读 · 2021年11月11日
【ICIG2021】Check out the hot new trailer of ICIG2021 Symposium1
中国图象图形学学会CSIG
0+阅读 · 2021年11月3日
Hierarchically Structured Meta-learning
CreateAMind
27+阅读 · 2019年5月22日
Transferring Knowledge across Learning Processes
CreateAMind
29+阅读 · 2019年5月18日
Unsupervised Learning via Meta-Learning
CreateAMind
44+阅读 · 2019年1月3日
A Technical Overview of AI & ML in 2018 & Trends for 2019
待字闺中
18+阅读 · 2018年12月24日
利用动态深度学习预测金融时间序列基于Python
量化投资与机器学习
18+阅读 · 2018年10月30日
【推荐】RNN/LSTM时序预测
机器学习研究会
25+阅读 · 2017年9月8日
相关基金
国家自然科学基金
0+阅读 · 2016年12月31日
国家自然科学基金
0+阅读 · 2015年12月31日
国家自然科学基金
0+阅读 · 2013年12月31日
国家自然科学基金
0+阅读 · 2012年12月31日
国家自然科学基金
0+阅读 · 2012年12月31日
国家自然科学基金
0+阅读 · 2011年12月31日
Top
微信扫码咨询专知VIP会员