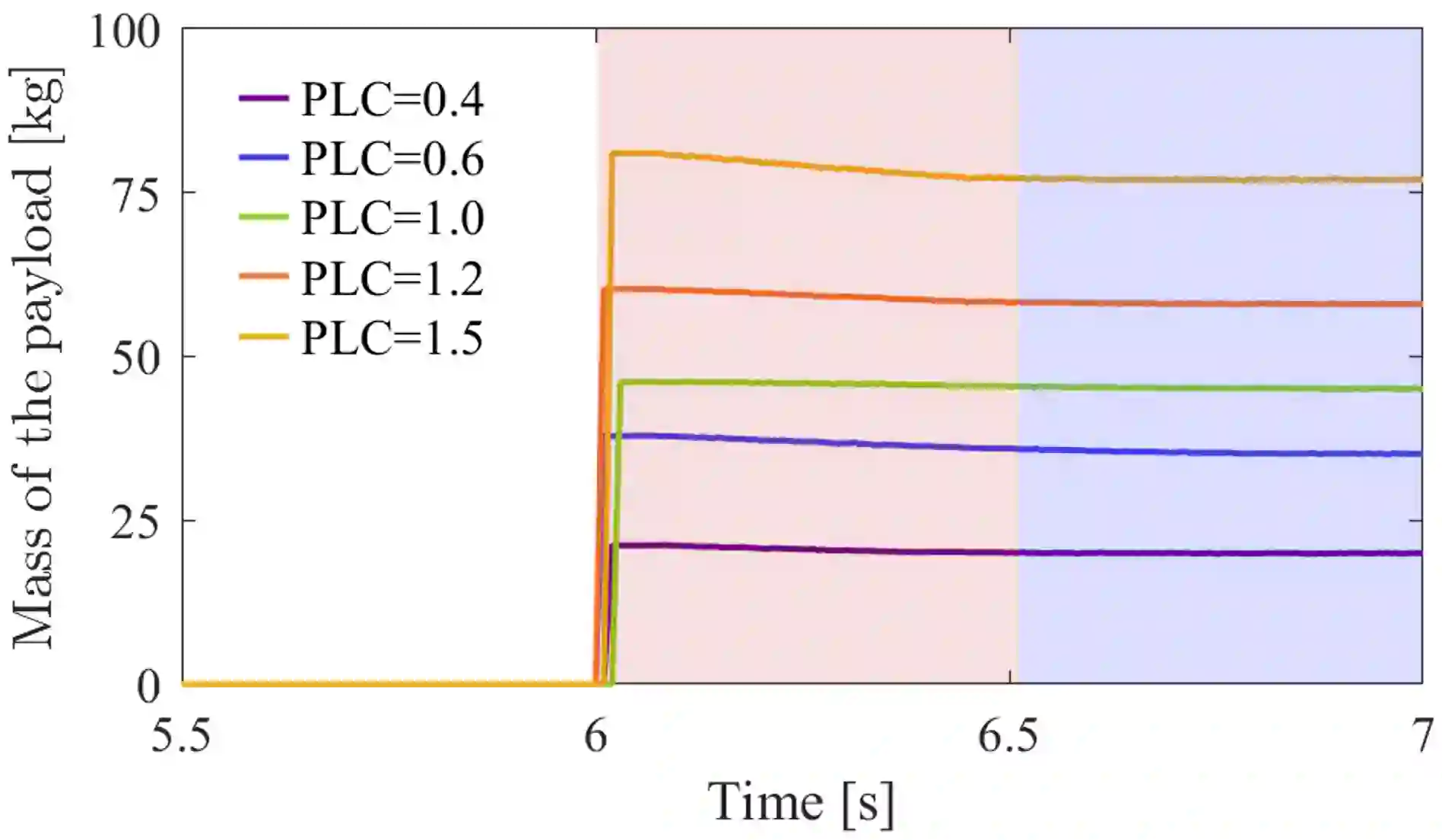
Quadruped robots manifest great potential to traverse rough terrains with payload. Numerous traditional control methods for legged dynamic locomotion are model-based and exhibit high sensitivity to model uncertainties and payload variations. Therefore, high-performance model parameter estimation becomes indispensable. However, the inertia parameters of payload are usually unknown and dynamically changing when the quadruped robot is deployed in versatile tasks. To address this problem, online identification of the inertia parameters and the Center of Mass (CoM) position of the payload for the quadruped robots draw an increasing interest. This study presents an adaptive controller based on the online payload identification for the high payload capacity (the ratio between payload and robot's self-weight) quadruped locomotion. We name it as Adaptive Controller for Quadruped Locomotion (ACQL), which consists of a recursive update law and a control law. ACQL estimates the external forces and torques induced by the payload online. The estimation is incorporated in inverse-dynamics-based Quadratic Programming (QP) to realize a trotting gait. As such, the tracking accuracy of the robot's CoM and orientation trajectories are improved. The proposed method, ACQL, is verified in a real quadruped robot platform. Experiments prove the estimation efficacy for the payload weighing from 20 $kg$ to 75 $kg$ and loaded at different locations of the robot's torso.


翻译:四振机器人显然极有可能用有效载荷穿越粗糙的地形。 有许多传统的腿动动动移动控制方法以模型为基础, 对模型不确定性和有效载荷变异具有高度的敏感性。 因此, 高性能模型参数估计变得不可或缺。 但是, 当四振机器人被部署完成多种任务时, 有效载荷的惯性参数通常是未知的, 并且动态变化。 为了解决这个问题, 在线识别惯性参数和四振机器人有效载荷中心( COM)的位置引起越来越多的兴趣。 这项研究展示了基于高有效载荷( 有效载荷与机器人自重之比之比) 的在线有效载荷识别的适应控制器。 我们把它命名为四振动性 Locomotion (ACQL) 的适应性控制器, 由循环更新更新法和控制法组成。 ACQL 估计了四振动的四振动机器人的外部力量和质量中心位置。 该估计被纳入基于反动力的二次编程程序( QP) 以在高载载有效载荷能力( 有效载荷和机器人自重重量位置之间比率之比 ) 。 将实时的精度的精度定位用于实时机器人, 测试。 。 正在对高载机机机的精度的精度的精度 。 。

0
下载
关闭预览

相关内容

《5G+智慧农业解决方案》22页PPT,三昇农业
专知会员服务
56+阅读 · 2022年3月23日
专知会员服务
32+阅读 · 2021年6月12日
【Google】梯度下降,48页ppt
专知会员服务
81+阅读 · 2020年12月5日
Linux导论,Introduction to Linux,96页ppt
专知会员服务
82+阅读 · 2020年7月26日
强化学习最新教程,17页pdf
专知会员服务
182+阅读 · 2019年10月11日
[综述]深度学习下的场景文本检测与识别
专知会员服务
78+阅读 · 2019年10月10日
ACM MM 2022 Call for Papers
CCF多媒体专委会
5+阅读 · 2022年3月29日
ACM TOMM Call for Papers
CCF多媒体专委会
2+阅读 · 2022年3月23日
AIART 2022 Call for Papers
CCF多媒体专委会
1+阅读 · 2022年2月13日
强化学习三篇论文 避免遗忘等
CreateAMind
20+阅读 · 2019年5月24日
Hierarchically Structured Meta-learning
CreateAMind
27+阅读 · 2019年5月22日
深度自进化聚类:Deep Self-Evolution Clustering
我爱读PAMI
15+阅读 · 2019年4月13日
Unsupervised Learning via Meta-Learning
CreateAMind
44+阅读 · 2019年1月3日
A Technical Overview of AI & ML in 2018 & Trends for 2019
待字闺中
18+阅读 · 2018年12月24日
国家自然科学基金
1+阅读 · 2015年12月31日
国家自然科学基金
0+阅读 · 2013年12月31日
国家自然科学基金
0+阅读 · 2013年12月31日
国家自然科学基金
0+阅读 · 2012年12月31日
国家自然科学基金
0+阅读 · 2012年12月31日
国家自然科学基金
0+阅读 · 2011年12月31日
国家自然科学基金
0+阅读 · 2011年12月31日
国家自然科学基金
1+阅读 · 2011年12月31日
国家自然科学基金
0+阅读 · 2009年12月31日
Model Reduction via Dynamic Mode Decomposition
Arxiv
0+阅读 · 2022年4月20日
Arxiv
0+阅读 · 2022年4月16日
VIP会员
最新内容
美国与以色列如何在攻击伊朗中使用人工智能
专知会员服务
2+阅读 · 今天16:20
《自动化战略情报管控》
专知会员服务
1+阅读 · 今天14:31
得失评估:审视对伊朗战争的轨迹(简报)
专知会员服务
2+阅读 · 今天14:19
【CMU博士论文】迈向可解释机器学习的理论基础
专知会员服务
2+阅读 · 今天12:23
基于数据优化的人机协同与机器人僚机
专知会员服务
5+阅读 · 今天2:08
相关VIP内容
《5G+智慧农业解决方案》22页PPT,三昇农业
专知会员服务
56+阅读 · 2022年3月23日
专知会员服务
32+阅读 · 2021年6月12日
【Google】梯度下降,48页ppt
专知会员服务
81+阅读 · 2020年12月5日
Linux导论,Introduction to Linux,96页ppt
专知会员服务
82+阅读 · 2020年7月26日
强化学习最新教程,17页pdf
专知会员服务
182+阅读 · 2019年10月11日
[综述]深度学习下的场景文本检测与识别
专知会员服务
78+阅读 · 2019年10月10日
相关资讯
ACM MM 2022 Call for Papers
CCF多媒体专委会
5+阅读 · 2022年3月29日
ACM TOMM Call for Papers
CCF多媒体专委会
2+阅读 · 2022年3月23日
AIART 2022 Call for Papers
CCF多媒体专委会
1+阅读 · 2022年2月13日
强化学习三篇论文 避免遗忘等
CreateAMind
20+阅读 · 2019年5月24日
Hierarchically Structured Meta-learning
CreateAMind
27+阅读 · 2019年5月22日
深度自进化聚类:Deep Self-Evolution Clustering
我爱读PAMI
15+阅读 · 2019年4月13日
Unsupervised Learning via Meta-Learning
CreateAMind
44+阅读 · 2019年1月3日
A Technical Overview of AI & ML in 2018 & Trends for 2019
待字闺中
18+阅读 · 2018年12月24日
相关基金
国家自然科学基金
1+阅读 · 2015年12月31日
国家自然科学基金
0+阅读 · 2013年12月31日
国家自然科学基金
0+阅读 · 2013年12月31日
国家自然科学基金
0+阅读 · 2012年12月31日
国家自然科学基金
0+阅读 · 2012年12月31日
国家自然科学基金
0+阅读 · 2011年12月31日
国家自然科学基金
0+阅读 · 2011年12月31日
国家自然科学基金
1+阅读 · 2011年12月31日
国家自然科学基金
0+阅读 · 2009年12月31日
Top
微信扫码咨询专知VIP会员