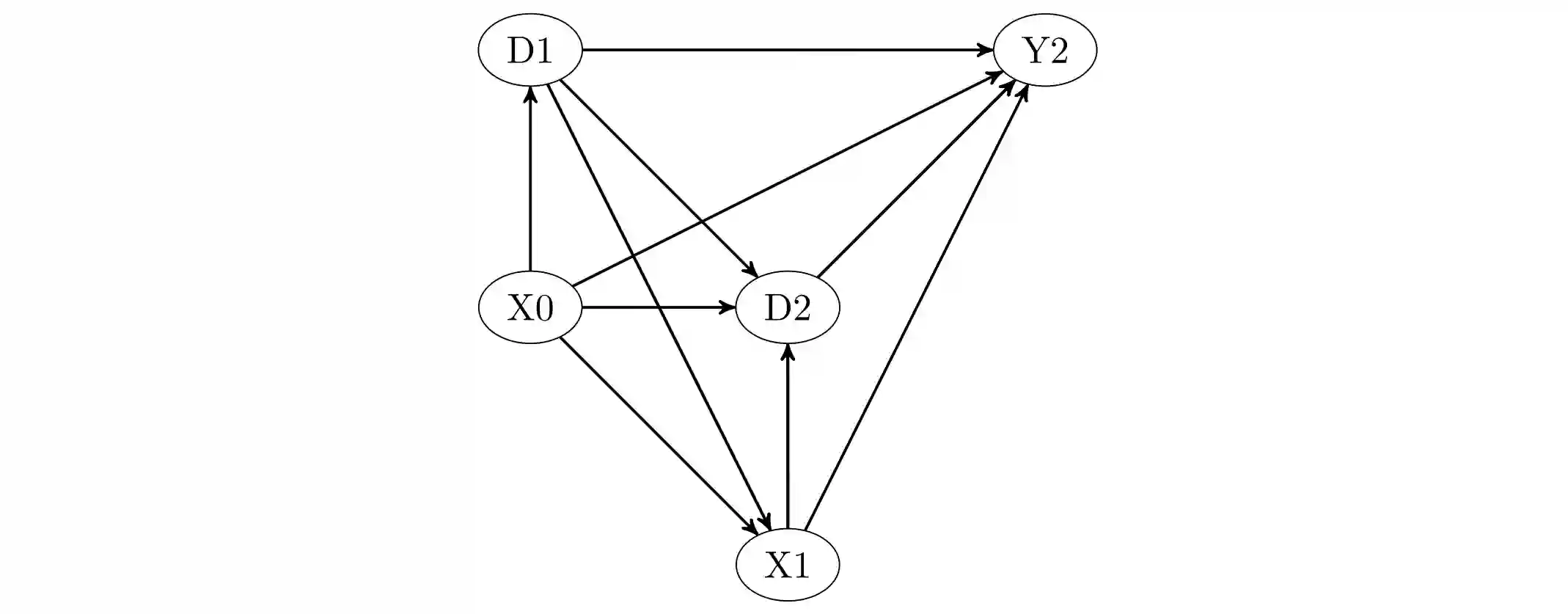
We consider evaluating the causal effects of dynamic treatments, i.e. of multiple treatment sequences in various periods, based on double machine learning to control for observed, time-varying covariates in a data-driven way under a selection-on-observables assumption. To this end, we make use of so-called Neyman-orthogonal score functions, which imply the robustness of treatment effect estimation to moderate (local) misspecifications of the dynamic outcome and treatment models. This robustness property permits approximating outcome and treatment models by double machine learning even under high dimensional covariates and is combined with data splitting to prevent overfitting. In addition to effect estimation for the total population, we consider weighted estimation that permits assessing dynamic treatment effects in specific subgroups, e.g. among those treated in the first treatment period. We demonstrate that the estimators are asymptotically normal and $\sqrt{n}$-consistent under specific regularity conditions and investigate their finite sample properties in a simulation study. Finally, we apply the methods to the Job Corps study in order to assess different sequences of training programs under a large set of covariates.


翻译:我们考虑评估动态治疗的因果关系,即不同时期的多重治疗序列的因果关系,基于双机学习,以可观察、可观察和可观察的假设,以数据驱动的方式,根据双机学习,对观察到的、时间变化的共变情况进行控制;为此,我们使用所谓的Neyman-orthogoal评分功能,这意味着对动态结果和治疗模型的中(当地)误差的治疗效果估计具有稳健性。这种稳健性属性允许即使在高维变量下进行双机学习,以近似结果和治疗模型,并与数据分离相结合,以防止过度匹配。除了对总人口进行估计外,我们考虑加权估计,允许评估特定分组的动态治疗效果,例如,在第一个治疗期接受治疗的分组。我们证明,在特定常规条件下,估计者处于静态正常状态,而美元/qrt{n}$相容,并在模拟研究中调查其有限的抽样特性。最后,我们将这种方法应用于工作团研究,以便评估大型共同培训方案的不同序列。

0
下载
关闭预览

相关内容

专知会员服务
46+阅读 · 2020年10月31日
因果图,Causal Graphs,52页ppt
专知会员服务
253+阅读 · 2020年4月19日
Keras François Chollet 《Deep Learning with Python 》, 386页pdf
专知会员服务
164+阅读 · 2019年10月12日
强化学习最新教程,17页pdf
专知会员服务
182+阅读 · 2019年10月11日
机器学习入门的经验与建议
专知会员服务
94+阅读 · 2019年10月10日
Transferring Knowledge across Learning Processes
CreateAMind
29+阅读 · 2019年5月18日
Unsupervised Learning via Meta-Learning
CreateAMind
44+阅读 · 2019年1月3日
A Technical Overview of AI & ML in 2018 & Trends for 2019
待字闺中
18+阅读 · 2018年12月24日
Disentangled的假设的探讨
CreateAMind
9+阅读 · 2018年12月10日
disentangled-representation-papers
CreateAMind
26+阅读 · 2018年9月12日
Hierarchical Disentangled Representations
CreateAMind
4+阅读 · 2018年4月15日
【论文】变分推断(Variational inference)的总结
机器学习研究会
39+阅读 · 2017年11月16日
【推荐】免费书(草稿):数据科学的数学基础
机器学习研究会
20+阅读 · 2017年10月1日
【学习】Hierarchical Softmax
机器学习研究会
4+阅读 · 2017年8月6日
Arxiv
1+阅读 · 2021年3月3日
VIP会员
最新内容
《系统簇式多域作战规划范畴论框架》
专知会员服务
5+阅读 · 4月20日
高效视频扩散模型:进展与挑战
专知会员服务
2+阅读 · 4月20日
乌克兰前线的五项创新
专知会员服务
7+阅读 · 4月20日
 军事通信系统与设备的技术演进综述
专知会员服务
5+阅读 · 4月20日
《北约标准:医疗评估手册》174页
专知会员服务
5+阅读 · 4月20日
《提升生成模型的安全性与保障》博士论文
专知会员服务
5+阅读 · 4月20日
美国当前高超音速导弹发展概述
专知会员服务
4+阅读 · 4月19日
无人机蜂群建模与仿真方法
专知会员服务
14+阅读 · 4月19日
相关VIP内容
专知会员服务
46+阅读 · 2020年10月31日
因果图,Causal Graphs,52页ppt
专知会员服务
253+阅读 · 2020年4月19日
Keras François Chollet 《Deep Learning with Python 》, 386页pdf
专知会员服务
164+阅读 · 2019年10月12日
强化学习最新教程,17页pdf
专知会员服务
182+阅读 · 2019年10月11日
机器学习入门的经验与建议
专知会员服务
94+阅读 · 2019年10月10日
相关资讯
Transferring Knowledge across Learning Processes
CreateAMind
29+阅读 · 2019年5月18日
Unsupervised Learning via Meta-Learning
CreateAMind
44+阅读 · 2019年1月3日
A Technical Overview of AI & ML in 2018 & Trends for 2019
待字闺中
18+阅读 · 2018年12月24日
Disentangled的假设的探讨
CreateAMind
9+阅读 · 2018年12月10日
disentangled-representation-papers
CreateAMind
26+阅读 · 2018年9月12日
Hierarchical Disentangled Representations
CreateAMind
4+阅读 · 2018年4月15日
【论文】变分推断(Variational inference)的总结
机器学习研究会
39+阅读 · 2017年11月16日
【推荐】免费书(草稿):数据科学的数学基础
机器学习研究会
20+阅读 · 2017年10月1日
【学习】Hierarchical Softmax
机器学习研究会
4+阅读 · 2017年8月6日
Top
微信扫码咨询专知VIP会员