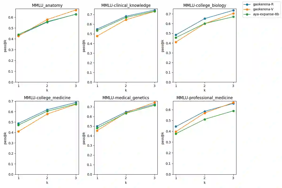
Enhancing reasoning capabilities in small language models is critical for specialized applications such as medical question answering, particularly in underrepresented languages like Persian. In this study, we employ Reinforcement Learning with AI Feedback (RLAIF) and Direct preference optimization (DPO) to improve the reasoning skills of a general-purpose Persian language model. To achieve this, we translated a multiple-choice medical question-answering dataset into Persian and used RLAIF to generate rejected-preferred answer pairs, which are essential for DPO training. By prompting both teacher and student models to produce Chain-of-Thought (CoT) reasoning responses, we compiled a dataset containing correct and incorrect reasoning trajectories. This dataset, comprising 2 million tokens in preferred answers and 2.5 million tokens in rejected ones, was used to train a baseline model, significantly enhancing its medical reasoning capabilities in Persian. Remarkably, the resulting model outperformed its predecessor, gaokerena-V, which was trained on approximately 57 million tokens, despite leveraging a much smaller dataset. These results highlight the efficiency and effectiveness of reasoning-focused training approaches in developing domain-specific language models with limited data availability.


翻译:在医学问答等专业应用中,提升小型语言模型的推理能力至关重要,对于波斯语等代表性不足的语言尤为如此。本研究采用基于人工智能反馈的强化学习(RLAIF)与直接偏好优化(DPO)方法,以增强通用波斯语语言模型的推理能力。为实现这一目标,我们将一个多项选择医学问答数据集翻译为波斯语,并利用RLAIF生成拒绝-偏好答案对,这是DPO训练的关键数据。通过引导教师模型和学生模型生成思维链(CoT)推理响应,我们构建了包含正确与错误推理轨迹的数据集。该数据集包含200万标记的偏好答案与250万标记的拒绝答案,用于训练基线模型,显著提升了其在波斯语医学推理方面的能力。值得注意的是,尽管使用的数据集规模远小于其前代模型,最终模型的表现仍超越了基于约5700万标记训练的gaokerena-V模型。这些结果凸显了以推理为核心的训练方法在数据有限条件下开发领域专用语言模型的高效性与有效性。

0
下载
关闭预览

相关内容

数据集,又称为资料集、数据集合或资料集合,是一种由数据所组成的集合。
Data set(或dataset)是一个数据的集合,通常以表格形式出现。每一列代表一个特定变量。每一行都对应于某一成员的数据集的问题。它列出的价值观为每一个变量,如身高和体重的一个物体或价值的随机数。每个数值被称为数据资料。对应于行数,该数据集的数据可能包括一个或多个成员。
大语言模型的智能体化推理
专知会员服务
33+阅读 · 1月21日
医学领域大型语言模型的新进展
专知会员服务
25+阅读 · 2025年10月5日
强化多模态大语言模型:基于强化学习的推理综述
专知会员服务
36+阅读 · 2025年5月3日
【大模型对齐】利用对齐使大型语言模型更好地推理
专知会员服务
48+阅读 · 2023年9月8日
「大型语言模型推理」综述
专知会员服务
95+阅读 · 2022年12月24日
「知识增强预训练语言模型」最新研究综述
专知
18+阅读 · 2022年11月18日
绝对干货!NLP预训练模型:从transformer到albert
新智元
13+阅读 · 2019年11月10日
理解人类推理的深度学习
论智
19+阅读 · 2018年11月7日
自然语言处理中的语言模型预训练方法
PaperWeekly
14+阅读 · 2018年10月21日
国家自然科学基金
10+阅读 · 2015年12月31日
国家自然科学基金
0+阅读 · 2015年12月31日
国家自然科学基金
2+阅读 · 2015年12月31日
国家自然科学基金
4+阅读 · 2015年12月31日
国家自然科学基金
1+阅读 · 2015年12月31日
国家自然科学基金
3+阅读 · 2014年12月31日
国家自然科学基金
0+阅读 · 2014年12月31日
国家自然科学基金
16+阅读 · 2013年12月31日
国家自然科学基金
18+阅读 · 2012年12月31日
VIP会员
最新内容
《系统簇式多域作战规划范畴论框架》
专知会员服务
2+阅读 · 今天14:54
高效视频扩散模型:进展与挑战
专知会员服务
0+阅读 · 今天13:34
乌克兰前线的五项创新
专知会员服务
6+阅读 · 今天6:14
 军事通信系统与设备的技术演进综述
专知会员服务
4+阅读 · 今天5:59
《北约标准:医疗评估手册》174页
专知会员服务
4+阅读 · 今天5:51
《提升生成模型的安全性与保障》博士论文
专知会员服务
4+阅读 · 今天5:47
美国当前高超音速导弹发展概述
专知会员服务
4+阅读 · 4月19日
无人机蜂群建模与仿真方法
专知会员服务
13+阅读 · 4月19日
相关基金
国家自然科学基金
10+阅读 · 2015年12月31日
国家自然科学基金
0+阅读 · 2015年12月31日
国家自然科学基金
2+阅读 · 2015年12月31日
国家自然科学基金
4+阅读 · 2015年12月31日
国家自然科学基金
1+阅读 · 2015年12月31日
国家自然科学基金
3+阅读 · 2014年12月31日
国家自然科学基金
0+阅读 · 2014年12月31日
国家自然科学基金
16+阅读 · 2013年12月31日
国家自然科学基金
18+阅读 · 2012年12月31日
Top
微信扫码咨询专知VIP会员