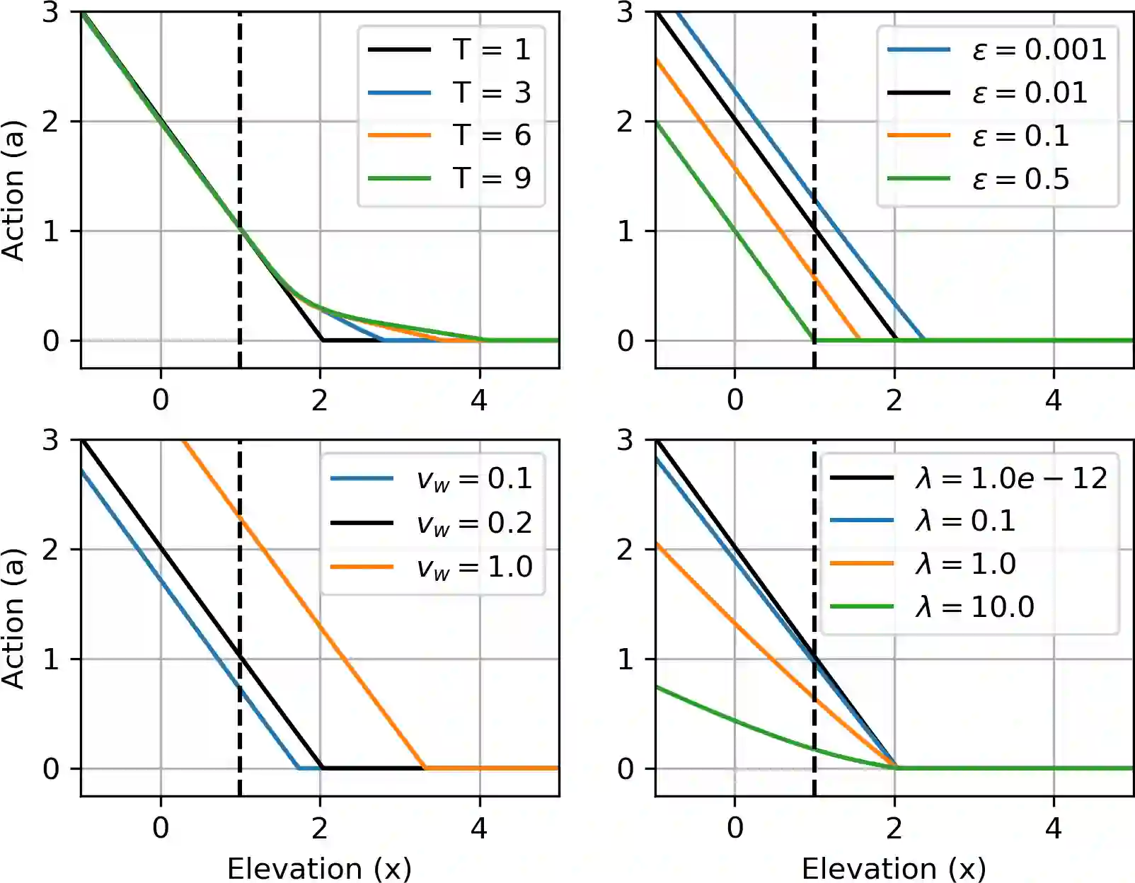
Active Inference (ActInf) is an emerging theory that explains perception and action in biological agents, in terms of minimizing a free energy bound on Bayesian surprise. Goal-directed behavior is elicited by introducing prior beliefs on the underlying generative model. In contrast to prior beliefs, which constrain all realizations of a random variable, we propose an alternative approach through chance constraints, which allow for a (typically small) probability of constraint violation, and demonstrate how such constraints can be used as intrinsic drivers for goal-directed behavior in ActInf. We illustrate how chance-constrained ActInf weights all imposed (prior) constraints on the generative model, allowing e.g., for a trade-off between robust control and empirical chance constraint violation. Secondly, we interpret the proposed solution within a message passing framework. Interestingly, the message passing interpretation is not only relevant to the context of ActInf, but also provides a general purpose approach that can account for chance constraints on graphical models. The chance constraint message updates can then be readily combined with other pre-derived message update rules, without the need for custom derivations. The proposed chance-constrained message passing framework thus accelerates the search for workable models in general, and can be used to complement message-passing formulations on generative neural models.


翻译:积极推论(ActInf)是一个新兴理论,它解释生物制剂的观念和行动,最大限度地减少受巴伊西亚突袭约束的免费能源。目标导向的行为是通过引入对基本基因模型的先入为主的信念来诱导的。与限制随机变数所有实现的先入之见不同的是,我们提出一种通过机会限制的替代方法,这种机会限制允许(通常很小的)受限制的违反概率,并表明如何利用这种限制作为在ActInf中受目标引导的行为的内在驱动因素。我们说明了机会限制的ActInf如何使基因模型受到所有限制(主要),例如允许在稳健的控制和经经验性机会限制的违反之间进行交易。第二,我们在传递信息的框架内解释拟议的解决办法。有趣的是,传递信息的解释不仅与ActInf的背景有关,而且还提供了一种总的目的方法,可以说明对图形模型的风险限制。然后,机会限制信息更新可以很容易地与其他源前信息更新规则结合起来,而不必进行自定义的衍生。拟议的对基因模型加以补充,从而加速搜索。

0
下载
关闭预览

相关内容

最新《联邦学习Federated Learning》报告,Federated Learning
专知会员服务
92+阅读 · 2020年12月2日
【干货书】机器学习速查手册,135页pdf
专知会员服务
127+阅读 · 2020年11月20日
专知会员服务
55+阅读 · 2020年9月7日
【哈佛大学商学院课程Fall 2019】机器学习可解释性
专知会员服务
105+阅读 · 2019年10月9日
最新BERT相关论文清单,BERT-related Papers
专知会员服务
53+阅读 · 2019年9月29日
灾难性遗忘问题新视角:迁移-干扰平衡
CreateAMind
17+阅读 · 2019年7月6日
19篇ICML2019论文摘录选读!
专知
28+阅读 · 2019年4月28日
强化学习的Unsupervised Meta-Learning
CreateAMind
18+阅读 · 2019年1月7日
无监督元学习表示学习
CreateAMind
27+阅读 · 2019年1月4日
Unsupervised Learning via Meta-Learning
CreateAMind
44+阅读 · 2019年1月3日
Science 一周论文导读 | 2018 年 8 月 4 日
科研圈
7+阅读 · 2018年8月11日
【论文】变分推断(Variational inference)的总结
机器学习研究会
39+阅读 · 2017年11月16日
Auto-Encoding GAN
CreateAMind
7+阅读 · 2017年8月4日
【今日新增】IEEE Trans.专刊截稿信息8条
Call4Papers
7+阅读 · 2017年6月29日
Arxiv
0+阅读 · 2021年4月12日
Arxiv
0+阅读 · 2021年4月8日
Arxiv
10+阅读 · 2017年7月4日
VIP会员
最新内容
最新“指挥控制”领域出版物合集(16份)
专知会员服务
7+阅读 · 4月12日
面向军事作战需求开发的人工智能(RAIMOND)
专知会员服务
15+阅读 · 4月12日
远程空中优势:新一代超视距导弹的兴起
专知会员服务
2+阅读 · 4月12日
大语言模型溯因推理的统一分类学与综述
专知会员服务
3+阅读 · 4月12日
相关资讯
灾难性遗忘问题新视角:迁移-干扰平衡
CreateAMind
17+阅读 · 2019年7月6日
19篇ICML2019论文摘录选读!
专知
28+阅读 · 2019年4月28日
强化学习的Unsupervised Meta-Learning
CreateAMind
18+阅读 · 2019年1月7日
无监督元学习表示学习
CreateAMind
27+阅读 · 2019年1月4日
Unsupervised Learning via Meta-Learning
CreateAMind
44+阅读 · 2019年1月3日
Science 一周论文导读 | 2018 年 8 月 4 日
科研圈
7+阅读 · 2018年8月11日
【论文】变分推断(Variational inference)的总结
机器学习研究会
39+阅读 · 2017年11月16日
Auto-Encoding GAN
CreateAMind
7+阅读 · 2017年8月4日
【今日新增】IEEE Trans.专刊截稿信息8条
Call4Papers
7+阅读 · 2017年6月29日
Top
微信扫码咨询专知VIP会员