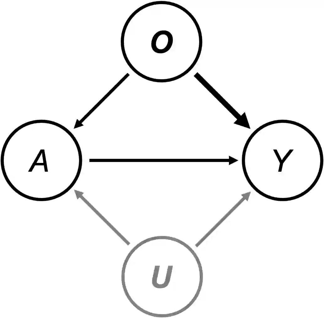
In cohort studies, non-random medication use can pose barriers to estimation of the natural history trend in a mean biomarker value (namely, the association between a predictor of interest and a biomarker outcome that would be observed in the absence of biomarker-specific treatment). Common causes of treatment and outcomes are often unmeasured, obscuring our ability to easily account for medication use with commonly invoked assumptions such as ignorability. Further, absent some variable satisfying the exclusion restriction, use of instrumental variable approaches may be difficult to justify. Heckman's hybrid model with structural shift (sometimes referred to less specifically as the treatment effects model) can be used to correct endogeneity bias via a homogeneity assumption (i.e., that average treatment effects do not vary across covariates) and parametric specification of a joint model for the outcome and treatment. In recent work, we relaxed the homogeneity assumption by allowing observed covariates to serve as treatment effect modifiers. While this method has been shown to be reasonably robust in settings of cross-sectional data, application of this methodology to settings of longitudinal data remains unexplored. We demonstrate how the assumptions of the treatment effects model can be extended to accommodate clustered data arising from longitudinal studies. Our proposed approach is semi-parametric in nature in that valid inference can be obtained without the need to specify the longitudinal correlation structure. As an illustrative example, we use data from the Multi-Ethnic Study of Atherosclerosis to evaluate trends in low-density lipoprotein by age and gender. We confirm that our generalization of the treatment effects model can serve as a useful tool to uncover natural history trends in longitudinal data that are obscured by endogenous treatment.


翻译:在组群研究中,非随机药物的使用可能会对以生物标志值平均值(即,利益预测者与生物标志结果之间的联系)来估计自然历史趋势构成障碍。 治疗和结果的常见原因往往无法测量,从而模糊了我们以通常的假设,如可忽略性等,对药物使用进行简单核算的能力。此外,如果某些变量不能满足排斥限制,使用工具变量变量变量可能难以说明理由。赫克曼的具有结构转变(有时更具体地说,治疗效果模型)的混合性理论模型可以用来通过同质性假设(即,平均治疗效果不会因生物标志而异)和生物标志结果的结果来纠正内向性趋势。 治疗和治疗结果的共同模型的参数往往无法测量,在最近的工作中,我们通过允许观察到的变异性来作为治疗效果的修饰。 在跨部门数据环境下,我们比较可靠的评估方法,将这一方法应用到长度研究周期性数据的模型设置中,从长期数据中可以证明我们长期的变现性数据是无法理解的。 我们的变现数据在分析中可以证明,从长期数据中的变现数据中可以证明,从模型的变现性数据中可以证明,从模型分析结果中可以证明我们数据的变现到变现到变现到变现到变现到变现数据。

1
下载
关闭预览

相关内容

专知会员服务
52+阅读 · 2020年12月14日
多标签学习的新趋势(2020 Survey)
专知会员服务
44+阅读 · 2020年12月6日
【干货书】机器学习速查手册,135页pdf
专知会员服务
127+阅读 · 2020年11月20日
【NeurIPS 2019的主要趋势】Key trends from NeurIPS 2019
专知会员服务
12+阅读 · 2019年12月19日
机器学习入门的经验与建议
专知会员服务
94+阅读 · 2019年10月10日
【哈佛大学商学院课程Fall 2019】机器学习可解释性
专知会员服务
105+阅读 · 2019年10月9日
【SIGGRAPH2019】TensorFlow 2.0深度学习计算机图形学应用
专知会员服务
41+阅读 · 2019年10月9日
MIT新书《强化学习与最优控制》
专知会员服务
282+阅读 · 2019年10月9日
计算机 | 国际会议信息5条
Call4Papers
3+阅读 · 2019年7月3日
计算机 | 入门级EI会议ICVRIS 2019诚邀稿件
Call4Papers
10+阅读 · 2019年6月24日
逆强化学习-学习人先验的动机
CreateAMind
16+阅读 · 2019年1月18日
A Technical Overview of AI & ML in 2018 & Trends for 2019
待字闺中
18+阅读 · 2018年12月24日
计算机类 | LICS 2019等国际会议信息7条
Call4Papers
3+阅读 · 2018年12月17日
Disentangled的假设的探讨
CreateAMind
9+阅读 · 2018年12月10日
分布式TensorFlow入门指南
机器学习研究会
4+阅读 · 2017年11月28日
已删除
将门创投
5+阅读 · 2017年11月20日
计算机类 | 国际会议信息7条
Call4Papers
3+阅读 · 2017年11月17日
【今日新增】IEEE Trans.专刊截稿信息8条
Call4Papers
7+阅读 · 2017年6月29日
Arxiv
4+阅读 · 2018年4月29日
Arxiv
4+阅读 · 2018年1月15日
VIP会员
最新内容
BES:让语言模型通过双向进化搜索自我改进
专知会员服务
3+阅读 · 5月30日
以色列-美国-伊朗战争中的无人机:关键要点
专知会员服务
4+阅读 · 5月30日
《Palantir任务保障性软件安全标准(MA-S2)》
专知会员服务
10+阅读 · 5月30日
基于声学的无人机检测技术综述
专知会员服务
7+阅读 · 5月30日
《当代混合战争分析框架:俄乌战争经验教训》
战略前沿人工智能的再思考(中文)
专知会员服务
8+阅读 · 5月29日
《量化地基防空系统间接效应的博弈论方法》
专知会员服务
6+阅读 · 5月29日
相关VIP内容
专知会员服务
52+阅读 · 2020年12月14日
多标签学习的新趋势(2020 Survey)
专知会员服务
44+阅读 · 2020年12月6日
【干货书】机器学习速查手册,135页pdf
专知会员服务
127+阅读 · 2020年11月20日
【NeurIPS 2019的主要趋势】Key trends from NeurIPS 2019
专知会员服务
12+阅读 · 2019年12月19日
机器学习入门的经验与建议
专知会员服务
94+阅读 · 2019年10月10日
【哈佛大学商学院课程Fall 2019】机器学习可解释性
专知会员服务
105+阅读 · 2019年10月9日
【SIGGRAPH2019】TensorFlow 2.0深度学习计算机图形学应用
专知会员服务
41+阅读 · 2019年10月9日
MIT新书《强化学习与最优控制》
专知会员服务
282+阅读 · 2019年10月9日
相关资讯
计算机 | 国际会议信息5条
Call4Papers
3+阅读 · 2019年7月3日
计算机 | 入门级EI会议ICVRIS 2019诚邀稿件
Call4Papers
10+阅读 · 2019年6月24日
逆强化学习-学习人先验的动机
CreateAMind
16+阅读 · 2019年1月18日
A Technical Overview of AI & ML in 2018 & Trends for 2019
待字闺中
18+阅读 · 2018年12月24日
计算机类 | LICS 2019等国际会议信息7条
Call4Papers
3+阅读 · 2018年12月17日
Disentangled的假设的探讨
CreateAMind
9+阅读 · 2018年12月10日
分布式TensorFlow入门指南
机器学习研究会
4+阅读 · 2017年11月28日
已删除
将门创投
5+阅读 · 2017年11月20日
计算机类 | 国际会议信息7条
Call4Papers
3+阅读 · 2017年11月17日
【今日新增】IEEE Trans.专刊截稿信息8条
Call4Papers
7+阅读 · 2017年6月29日
Top
微信扫码咨询专知VIP会员