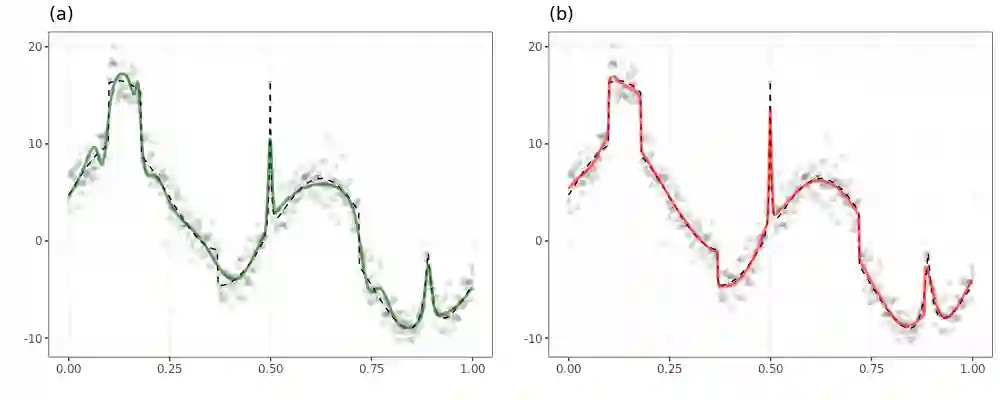
The estimation of functions with varying degrees of smoothness is a challenging problem in the nonparametric function estimation. In this paper, we propose the LABS (L\'{e}vy Adaptive B-Spline regression) model, an extension of LARK and LARMuK models, for the estimation of functions with varying degrees of smoothness. LABS model is a LARK with B-spline bases as generating kernels. The B-spline basis consists of piecewise k degree polynomials with k-1 continuous derivatives and can express systematically functions with varying degrees of smoothness. By changing the orders of the B-spline basis, LABS can systematically adapt the smoothness of functions, i.e., jump discontinuities, sharp peaks, etc. Results of simulation studies and real data examples support that this model catches not only smooth areas but also jumps and sharp peaks of functions. The proposed model also has the best performance in almost all examples. Finally, we provide theoretical results that the mean function for the LABS model belongs to the certain Besov spaces based on the orders of the B-spline basis and that the prior of the model has the full support on the Besov spaces.


翻译:平滑度不同功能的估算是非参数函数估计中一个具有挑战性的难题。 在本文中,我们提议LABS(L\'{{{{{{{{{{{{{{{{{{适应性B-Spline Region)模型)模型、LARMEK和LARMEK模型的扩展,以便以不同程度的平滑度估计函数。LABS模型是一个LARK(B-spline base)模型,其B-Spline基点为生成内核核内核内核内核的基点。B- 1连续衍生物的B- 1连续衍生物含有小k- 度多元性,并能够以不同程度的平滑度表示系统性功能。通过改变B-spline基点的顺序,LABS可以系统地调整功能的顺畅度,即跳动不连续、尖峰值等。模拟研究和真实数据实例的结果支持这一模型不仅能够捕捉到光区域,而且还能跳跃出功能的峰值。提议的模型在几乎所有例子中都有最佳性。最后,我们提供了理论结果,表明LABSBSB-spline基础上的某些贝索夫空间属于某些贝索夫空间。

0
下载
关闭预览

相关内容

专知会员服务
52+阅读 · 2020年12月14日
【干货书】机器学习速查手册,135页pdf
专知会员服务
127+阅读 · 2020年11月20日
Linux导论,Introduction to Linux,96页ppt
专知会员服务
82+阅读 · 2020年7月26日
强化学习最新教程,17页pdf
专知会员服务
182+阅读 · 2019年10月11日
知识图谱本体结构构建论文合集
专知会员服务
110+阅读 · 2019年10月9日
CCF推荐 | 国际会议信息8条
Call4Papers
9+阅读 · 2019年5月23日
Hierarchically Structured Meta-learning
CreateAMind
27+阅读 · 2019年5月22日
A Technical Overview of AI & ML in 2018 & Trends for 2019
待字闺中
18+阅读 · 2018年12月24日
LibRec 精选:推荐系统的论文与源码
LibRec智能推荐
14+阅读 · 2018年11月29日
LibRec 精选:连通知识图谱与推荐系统
LibRec智能推荐
3+阅读 · 2018年8月9日
推荐|深度强化学习聊天机器人(附论文)!
全球人工智能
4+阅读 · 2018年1月30日
计算机视觉近一年进展综述
机器学习研究会
9+阅读 · 2017年11月25日
【推荐】卷积神经网络类间不平衡问题系统研究
机器学习研究会
6+阅读 · 2017年10月18日
【学习】(Python)SVM数据分类
机器学习研究会
6+阅读 · 2017年10月15日
【推荐】决策树/随机森林深入解析
机器学习研究会
5+阅读 · 2017年9月21日
Scalable computation for Bayesian hierarchical models
Arxiv
0+阅读 · 2021年3月19日
VIP会员
最新内容
(译文)认知战:以士兵为目标,塑造战略
专知会员服务
2+阅读 · 今天3:12
(中文)认知战的本体论基础(2026报告)
专知会员服务
17+阅读 · 今天1:45
美空军条令(2026):外国对内防御
专知会员服务
3+阅读 · 今天1:32
美国与以色列如何在攻击伊朗中使用人工智能
专知会员服务
7+阅读 · 4月16日
《自动化战略情报管控》
专知会员服务
3+阅读 · 4月16日
得失评估:审视对伊朗战争的轨迹(简报)
专知会员服务
3+阅读 · 4月16日
【CMU博士论文】迈向可解释机器学习的理论基础
相关VIP内容
专知会员服务
52+阅读 · 2020年12月14日
【干货书】机器学习速查手册,135页pdf
专知会员服务
127+阅读 · 2020年11月20日
Linux导论,Introduction to Linux,96页ppt
专知会员服务
82+阅读 · 2020年7月26日
强化学习最新教程,17页pdf
专知会员服务
182+阅读 · 2019年10月11日
知识图谱本体结构构建论文合集
专知会员服务
110+阅读 · 2019年10月9日
相关资讯
CCF推荐 | 国际会议信息8条
Call4Papers
9+阅读 · 2019年5月23日
Hierarchically Structured Meta-learning
CreateAMind
27+阅读 · 2019年5月22日
A Technical Overview of AI & ML in 2018 & Trends for 2019
待字闺中
18+阅读 · 2018年12月24日
LibRec 精选:推荐系统的论文与源码
LibRec智能推荐
14+阅读 · 2018年11月29日
LibRec 精选:连通知识图谱与推荐系统
LibRec智能推荐
3+阅读 · 2018年8月9日
推荐|深度强化学习聊天机器人(附论文)!
全球人工智能
4+阅读 · 2018年1月30日
计算机视觉近一年进展综述
机器学习研究会
9+阅读 · 2017年11月25日
【推荐】卷积神经网络类间不平衡问题系统研究
机器学习研究会
6+阅读 · 2017年10月18日
【学习】(Python)SVM数据分类
机器学习研究会
6+阅读 · 2017年10月15日
【推荐】决策树/随机森林深入解析
机器学习研究会
5+阅读 · 2017年9月21日
Top
微信扫码咨询专知VIP会员