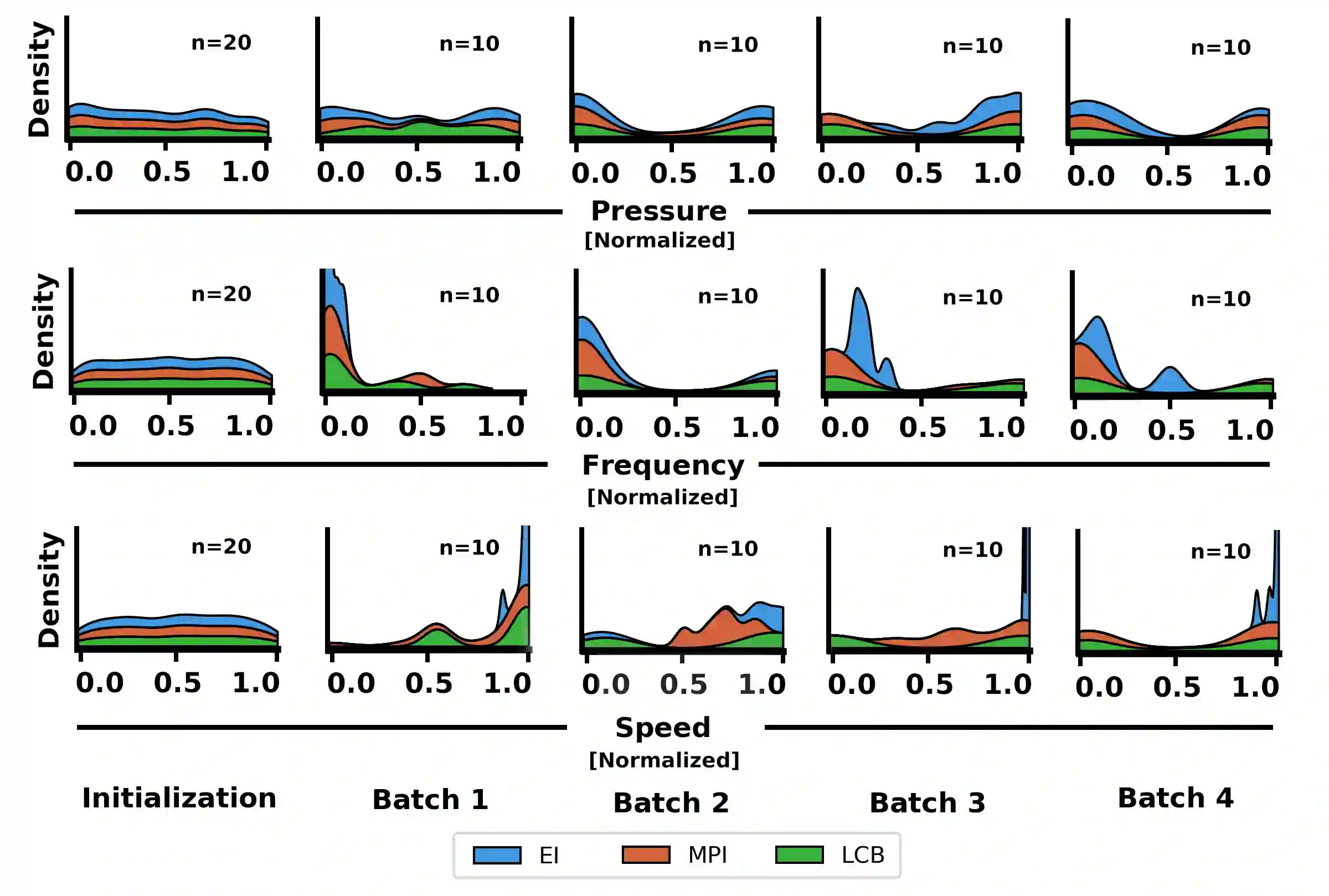
Autonomous optimization is a process by which hardware conditions are discovered that generate an optimized experimental product without the guidance of a domain expert. We design an autonomous optimization framework to discover the experimental conditions within fluid systems that generate discrete and uniform droplet patterns. Generating discrete and uniform droplets requires high-precision control over the experimental conditions of a fluid system. Fluid stream instabilities, such as Rayleigh-Plateau instability and capillary instability, drive the separation of a flow into individual droplets. However, because this phenomenon leverages an instability, by nature the hardware must be precisely tuned to achieve uniform, repeatable droplets. Typically this requires a domain expert in the loop and constant re-tuning depending on the hardware configuration and liquid precursor selection. Herein, we propose a computer vision-driven Bayesian optimization framework to discover the precise hardware conditions that generate uniform, reproducible droplets with the desired features, leveraging flow instability without a domain expert in the loop. This framework is validated on two fluid systems, at the micrometer and millimeter length scales, using microfluidic and inkjet systems, respectively, indicating the application breadth of this approach.


翻译:自动优化是一个过程,通过它发现硬件条件,在没有域专家的指导下产生最佳实验产品; 我们设计一个自主优化框架,以发现流体系统中产生离散和统一的滴子模式的实验条件; 产生离散和统一的滴子,要求对流体的实验条件进行高精度控制; 流体流不稳定,如Raylei-Plateau不稳定和毛细不稳,驱动流体流向单个滴子的分离。 然而,由于这种现象造成不稳定,因此,从性质上来说,硬件必须精确调整,以达到统一和可重复的滴子。 通常这需要根据硬件配置和液体前体选择,在循环和不断调整方面有一名域专家。 在此,我们提出一个计算机驱动的巴耶斯优化框架,以发现产生统一、可复制的滴子及其预期特性的精确硬件条件,在没有循环的域专家的情况下利用流动不稳定。 这个框架在微米计和毫米长度尺度上对两个流体系统进行验证, 分别使用微氟化和内基喷射系统, 表明这一方法的应用范围。

0
下载
关闭预览

相关内容

专知会员服务
32+阅读 · 2021年6月12日
专知会员服务
26+阅读 · 2021年4月2日
Fariz Darari简明《博弈论Game Theory》介绍,35页ppt
专知会员服务
112+阅读 · 2020年5月15日
图神经网络推理,27页ppt精炼讲解
专知会员服务
117+阅读 · 2020年4月24日
专知会员服务
61+阅读 · 2020年3月19日
“CVPR 2020 接受论文列表 1470篇论文都在这了
已删除
将门创投
3+阅读 · 2019年10月18日
计算机 | 入门级EI会议ICVRIS 2019诚邀稿件
Call4Papers
10+阅读 · 2019年6月24日
CCF A类 | 顶级会议RTSS 2019诚邀稿件
Call4Papers
10+阅读 · 2019年4月17日
《自然》(20190221出版)一周论文导读
科学网
6+阅读 · 2019年2月23日
Ray RLlib: Scalable 降龙十八掌
CreateAMind
9+阅读 · 2018年12月28日
vae 相关论文 表示学习 1
CreateAMind
12+阅读 · 2018年9月6日
Arxiv
0+阅读 · 2021年7月30日
VIP会员
最新内容
《美陆军条例:陆军指挥政策(2026版)》
专知会员服务
10+阅读 · 4月21日
《军用自主人工智能系统的治理与安全》
专知会员服务
7+阅读 · 4月21日
《系统簇式多域作战规划范畴论框架》
专知会员服务
10+阅读 · 4月20日
高效视频扩散模型:进展与挑战
专知会员服务
5+阅读 · 4月20日
乌克兰前线的五项创新
专知会员服务
8+阅读 · 4月20日
 军事通信系统与设备的技术演进综述
专知会员服务
8+阅读 · 4月20日
《北约标准:医疗评估手册》174页
专知会员服务
6+阅读 · 4月20日
相关VIP内容
专知会员服务
32+阅读 · 2021年6月12日
专知会员服务
26+阅读 · 2021年4月2日
Fariz Darari简明《博弈论Game Theory》介绍,35页ppt
专知会员服务
112+阅读 · 2020年5月15日
图神经网络推理,27页ppt精炼讲解
专知会员服务
117+阅读 · 2020年4月24日
专知会员服务
61+阅读 · 2020年3月19日
相关资讯
“CVPR 2020 接受论文列表 1470篇论文都在这了
已删除
将门创投
3+阅读 · 2019年10月18日
计算机 | 入门级EI会议ICVRIS 2019诚邀稿件
Call4Papers
10+阅读 · 2019年6月24日
CCF A类 | 顶级会议RTSS 2019诚邀稿件
Call4Papers
10+阅读 · 2019年4月17日
《自然》(20190221出版)一周论文导读
科学网
6+阅读 · 2019年2月23日
Ray RLlib: Scalable 降龙十八掌
CreateAMind
9+阅读 · 2018年12月28日
vae 相关论文 表示学习 1
CreateAMind
12+阅读 · 2018年9月6日
Top
微信扫码咨询专知VIP会员