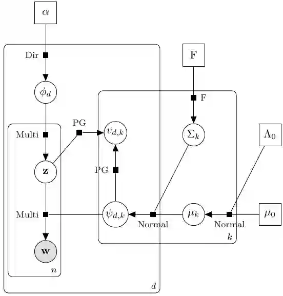
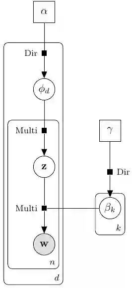
Mixed-membership (MM) models such as Latent Dirichlet Allocation (LDA) have been applied to microbiome compositional data to identify latent subcommunities of microbial species. These subcommunities are informative for understanding the biological interplay of microbes and for predicting health outcomes. However, microbiome compositions typically display substantial cross-sample heterogeneities in subcommunity compositions -- that is, the variability in the proportions of microbes in shared subcommunities across samples -- which is not accounted for in prior analyses. To address this limitation, we incorporate the logistic-tree normal (LTN) model into LDA to form a new MM model. This model allows cross-sample variation in the composition of each subcommunity around some "centroid" composition that defines the subcommunity. Incorporation of auxiliary P\'olya-Gamma variables enables a computationally efficient collapsed blocked Gibbs sampler to carry out Bayesian inference under this model. We compare the LDA and the new model and show that in the presence of large cross-sample heterogeneity, LDA can produce inference which is sensitive to the specification of the number of subcommunities. As such, the popular strategy of overspecifying the number of subcommunities and hoping that some meaningful subcommunities will emerge alongside artificial ones can lead to misleading conclusions. In contrast, by accounting for such heterogeneity, our new model restores the robustness of the inference in the specification of the number of subcommunities and allows meaningful subcommunities to be identified.


翻译:混合成员(MM) 模型,如Lentant Dirichlet 分配(LDA) 模型,已经应用到微生物构成数据中,以确定微生物物种的潜在亚群落。这些亚群群是了解微生物的生物相互作用和预测健康结果的丰富信息。然而,微生物组成通常在亚群落构成中表现出大量的跨相模异性 -- -- 也就是说,在样本之间共享子群落中微生物比例的变化性 -- -- 在先前的分析中没有考虑到这一点。为了应对这一限制,我们将物流-树正常(LTN)模型纳入LDA,以形成一个新的MM模型。这个模型可以使每个亚群落的构成围绕某些“centroid”组成进行交叉抽样变异性,从而界定亚群落。结合辅助的P\'olya-Gamma变量,可以计算高效地阻断Gibbbs取样器,从而根据这个模型将Bayesales的推断结果传播出去。我们比较LADA和新模型,并表明,在大型跨树群群群群群群域(LTAA)的分类和亚群落的精确度定义中,可以使这些亚群落的亚群落的亚群落的亚群落的亚群落的亚群落能够将我们的次群落变成变成变变变变变。

0
下载
关闭预览

相关内容

【干货书】机器学习速查手册,135页pdf
专知会员服务
127+阅读 · 2020年11月20日
专知会员服务
55+阅读 · 2020年9月7日
知识图谱推理,50页ppt,Salesforce首席科学家Richard Socher
专知会员服务
111+阅读 · 2020年6月10日
商业数据分析,39页ppt
专知会员服务
165+阅读 · 2020年6月2日
自回归模型:PixelCNN
专知会员服务
29+阅读 · 2020年3月21日
Keras François Chollet 《Deep Learning with Python 》, 386页pdf
专知会员服务
164+阅读 · 2019年10月12日
CCF推荐 | 国际会议信息10条
Call4Papers
8+阅读 · 2019年5月27日
Hierarchically Structured Meta-learning
CreateAMind
27+阅读 · 2019年5月22日
Transferring Knowledge across Learning Processes
CreateAMind
29+阅读 · 2019年5月18日
IEEE | DSC 2019诚邀稿件 (EI检索)
Call4Papers
10+阅读 · 2019年2月25日
逆强化学习-学习人先验的动机
CreateAMind
16+阅读 · 2019年1月18日
A Technical Overview of AI & ML in 2018 & Trends for 2019
待字闺中
18+阅读 · 2018年12月24日
Disentangled的假设的探讨
CreateAMind
9+阅读 · 2018年12月10日
人工智能 | 国际会议/SCI期刊约稿信息9条
Call4Papers
3+阅读 · 2018年1月12日
Adversarial Variational Bayes: Unifying VAE and GAN 代码
CreateAMind
7+阅读 · 2017年10月4日
【学习】Hierarchical Softmax
机器学习研究会
4+阅读 · 2017年8月6日
A causal view on compositional data
Arxiv
0+阅读 · 2022年1月14日
Arxiv
0+阅读 · 2022年1月7日
Arxiv
4+阅读 · 2018年1月15日
VIP会员
最新内容
2026“人工智能+”行业发展蓝皮书(附下载)
专知会员服务
9+阅读 · 4月26日
《强化学习数学基础》
专知会员服务
5+阅读 · 4月26日
“Maven计划”的发展演变之“Maven智能系统”应用
《无人机革命:来自俄乌战场的启示》(报告)
《实现联合作战能力所需的技术》58页报告
专知会员服务
7+阅读 · 4月26日
以色列运用人工智能优化空袭警报系统
专知会员服务
5+阅读 · 4月26日
以色列在多条战线部署AI智能体
专知会员服务
7+阅读 · 4月26日
相关资讯
CCF推荐 | 国际会议信息10条
Call4Papers
8+阅读 · 2019年5月27日
Hierarchically Structured Meta-learning
CreateAMind
27+阅读 · 2019年5月22日
Transferring Knowledge across Learning Processes
CreateAMind
29+阅读 · 2019年5月18日
IEEE | DSC 2019诚邀稿件 (EI检索)
Call4Papers
10+阅读 · 2019年2月25日
逆强化学习-学习人先验的动机
CreateAMind
16+阅读 · 2019年1月18日
A Technical Overview of AI & ML in 2018 & Trends for 2019
待字闺中
18+阅读 · 2018年12月24日
Disentangled的假设的探讨
CreateAMind
9+阅读 · 2018年12月10日
人工智能 | 国际会议/SCI期刊约稿信息9条
Call4Papers
3+阅读 · 2018年1月12日
Adversarial Variational Bayes: Unifying VAE and GAN 代码
CreateAMind
7+阅读 · 2017年10月4日
【学习】Hierarchical Softmax
机器学习研究会
4+阅读 · 2017年8月6日
Top
微信扫码咨询专知VIP会员