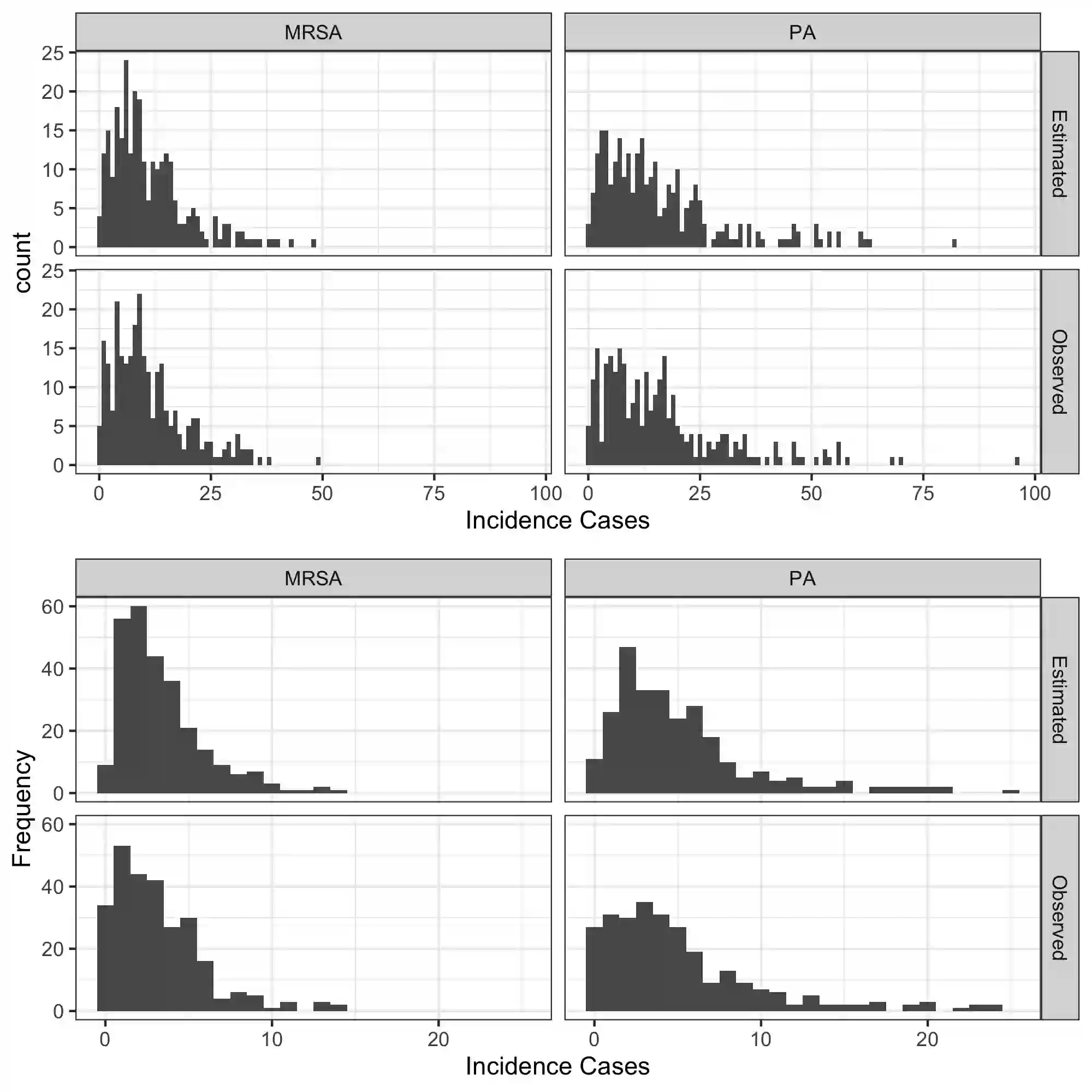
There is a constant need for many healthcare programs to timely address problems with infection prevention and control (IP&C). For example, pathogens can be transmitted among patients with cystic fibrosis (CF) in both the inpatient and outpatient settings within the healthcare system even with the existing recommended IP&C practices, and these pathogens are often associated with negative clinical outcomes. Because of limited and delayed data sharing, CF programs need a reliable method to track infection rates. There are three complex structures in CF registry data: recurrent infections, missing data, and multilevel correlation due to repeated measures within a patient and patient-to-patient transmissions. A step-by-step analysis pipeline was proposed to develop and validate a risk-adjusted model to help healthcare programs monitor the number of recurrent events while taking into account missing data and the hierarchies of repeated measures in right-censored data. We extended the mixed-effect Andersen-Gill model (the frailty model), adjusted for important risk factors, and provided confidence intervals for the predicted number of events where the variability of the prediction was estimated from three identified sources. The coverage of the estimated confidence intervals was used to evaluate model performance. Simulation results indicated that the coverage of our method was close to the desired confidence level. To demonstrate its clinical practicality, our pipeline was applied to monitor the infection incidence rate of two key CF pathogens using a U.S. registry. Results showed that years closer to the time of interest were better at predicting future incidence rates in the CF example.


翻译:许多保健方案不断需要及时解决感染预防和控制问题。例如,病原体可以在保健系统内的住院和门诊病人中传播到囊肿纤维化(CF)病人中,即使采用了现有的建议IP & C做法,这些病原体往往与负面临床结果有关。由于数据分享有限和延迟,CF方案需要可靠的方法来跟踪感染率。CF登记数据有三个复杂的结构:经常感染、缺失的数据和多层次的相互关系,这是病人和病人之间传染的反复措施造成的。建议逐步分析管道开发和验证一个风险调整模型,以帮助保健方案监测经常性事件的数量,同时考虑到缺失的数据和正确检查数据中反复措施的等级。我们推广了安得森-吉尔模式(脆弱模式),根据重要的风险因素进行了调整,并为预测预测事件的数量提供了信心间隔,预测的变异性来自三个来源。建议逐步分析管道将开发并验证一个风险调整模型,以帮助保健方案监测经常性事件的数量,同时考虑缺失的数据和正确数据,同时考虑到正确数据,这些病原病原体的等级。我们采用了一个更精确的利率模型,用来评估未来预测的准确率。在精确的频率上,用一个比较精确的频率来评估。我们测测测测测测度的方法,以测测测了准确的进度的进度的进度,以测测测度的进度,以测测测度为两年。我们测测测度为了准确的进度的进度。

0
下载
关闭预览

相关内容

CF:ACM International Conference on Computing Frontiers。 Explanation:计算机前沿国际会议。 Publisher: ACM。 SIT: http://dblp.uni-trier.de/db/conf/cf
专知会员服务
124+阅读 · 2020年9月8日
Linux导论,Introduction to Linux,96页ppt
专知会员服务
82+阅读 · 2020年7月26日
强化学习最新教程,17页pdf
专知会员服务
182+阅读 · 2019年10月11日
【哈佛大学商学院课程Fall 2019】机器学习可解释性
专知会员服务
105+阅读 · 2019年10月9日
【SIGGRAPH2019】TensorFlow 2.0深度学习计算机图形学应用
专知会员服务
41+阅读 · 2019年10月9日
VCIP 2022 Call for Special Session Proposals
CCF多媒体专委会
1+阅读 · 2022年4月1日
ACM MM 2022 Call for Papers
CCF多媒体专委会
5+阅读 · 2022年3月29日
AIART 2022 Call for Papers
CCF多媒体专委会
1+阅读 · 2022年2月13日
【ICIG2021】Check out the hot new trailer of ICIG2021 Symposium9
中国图象图形学学会CSIG
0+阅读 · 2021年12月17日
【ICIG2021】Check out the hot new trailer of ICIG2021 Symposium8
中国图象图形学学会CSIG
0+阅读 · 2021年11月16日
【ICIG2021】Check out the hot new trailer of ICIG2021 Symposium1
中国图象图形学学会CSIG
0+阅读 · 2021年11月3日
Hierarchically Structured Meta-learning
CreateAMind
27+阅读 · 2019年5月22日
Transferring Knowledge across Learning Processes
CreateAMind
29+阅读 · 2019年5月18日
A Technical Overview of AI & ML in 2018 & Trends for 2019
待字闺中
18+阅读 · 2018年12月24日
LibRec 精选:推荐系统的论文与源码
LibRec智能推荐
14+阅读 · 2018年11月29日
国家自然科学基金
0+阅读 · 2014年12月31日
国家自然科学基金
0+阅读 · 2014年12月31日
国家自然科学基金
0+阅读 · 2013年12月31日
国家自然科学基金
0+阅读 · 2013年12月31日
国家自然科学基金
1+阅读 · 2013年12月31日
国家自然科学基金
0+阅读 · 2009年12月31日
国家自然科学基金
1+阅读 · 2008年12月31日
国家自然科学基金
1+阅读 · 2008年12月31日
国家自然科学基金
0+阅读 · 2008年12月31日
Arxiv
20+阅读 · 2018年10月25日
VIP会员
最新内容
《美陆军条例:陆军指挥政策(2026版)》
专知会员服务
3+阅读 · 今天8:10
《军用自主人工智能系统的治理与安全》
专知会员服务
3+阅读 · 今天8:02
《系统簇式多域作战规划范畴论框架》
专知会员服务
7+阅读 · 4月20日
高效视频扩散模型:进展与挑战
专知会员服务
3+阅读 · 4月20日
乌克兰前线的五项创新
专知会员服务
7+阅读 · 4月20日
 军事通信系统与设备的技术演进综述
专知会员服务
6+阅读 · 4月20日
《北约标准:医疗评估手册》174页
专知会员服务
5+阅读 · 4月20日
相关资讯
VCIP 2022 Call for Special Session Proposals
CCF多媒体专委会
1+阅读 · 2022年4月1日
ACM MM 2022 Call for Papers
CCF多媒体专委会
5+阅读 · 2022年3月29日
AIART 2022 Call for Papers
CCF多媒体专委会
1+阅读 · 2022年2月13日
【ICIG2021】Check out the hot new trailer of ICIG2021 Symposium9
中国图象图形学学会CSIG
0+阅读 · 2021年12月17日
【ICIG2021】Check out the hot new trailer of ICIG2021 Symposium8
中国图象图形学学会CSIG
0+阅读 · 2021年11月16日
【ICIG2021】Check out the hot new trailer of ICIG2021 Symposium1
中国图象图形学学会CSIG
0+阅读 · 2021年11月3日
Hierarchically Structured Meta-learning
CreateAMind
27+阅读 · 2019年5月22日
Transferring Knowledge across Learning Processes
CreateAMind
29+阅读 · 2019年5月18日
A Technical Overview of AI & ML in 2018 & Trends for 2019
待字闺中
18+阅读 · 2018年12月24日
LibRec 精选:推荐系统的论文与源码
LibRec智能推荐
14+阅读 · 2018年11月29日
相关基金
国家自然科学基金
0+阅读 · 2014年12月31日
国家自然科学基金
0+阅读 · 2014年12月31日
国家自然科学基金
0+阅读 · 2013年12月31日
国家自然科学基金
0+阅读 · 2013年12月31日
国家自然科学基金
1+阅读 · 2013年12月31日
国家自然科学基金
0+阅读 · 2009年12月31日
国家自然科学基金
1+阅读 · 2008年12月31日
国家自然科学基金
1+阅读 · 2008年12月31日
国家自然科学基金
0+阅读 · 2008年12月31日
Top
微信扫码咨询专知VIP会员