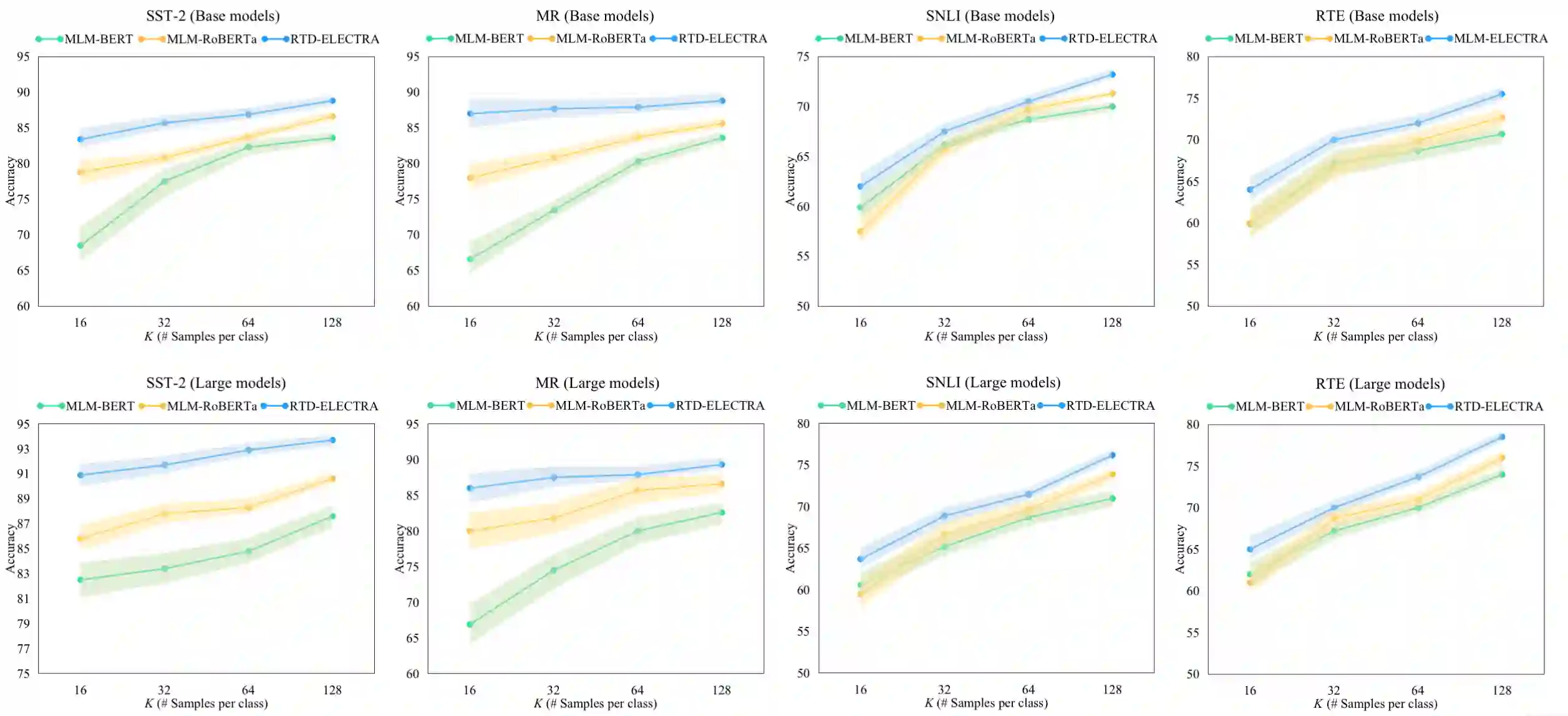
Recently, for few-shot or even zero-shot learning, the new paradigm "pre-train, prompt, and predict" has achieved remarkable achievements compared with the "pre-train, fine-tune" paradigm. After the success of prompt-based GPT-3, a series of masked language model (MLM)-based (e.g., BERT, RoBERTa) prompt learning methods became popular and widely used. However, another efficient pre-trained discriminative model, ELECTRA, has probably been neglected. In this paper, we attempt to accomplish several NLP tasks in the zero-shot scenario using a novel our proposed replaced token detection (RTD)-based prompt learning method. Experimental results show that ELECTRA model based on RTD-prompt learning achieves surprisingly state-of-the-art zero-shot performance. Numerically, compared to MLM-RoBERTa-large and MLM-BERT-large, our RTD-ELECTRA-large has an average of about 8.4% and 13.7% improvement on all 15 tasks. Especially on the SST-2 task, our RTD-ELECTRA-large achieves an astonishing 90.1% accuracy without any training data. Overall, compared to the pre-trained masked language models, the pre-trained replaced token detection model performs better in zero-shot learning. The source code is available at: https://github.com/nishiwen1214/RTD-ELECTRA.


翻译:最近,对于几发甚至零发的学习,新的范式“培训前、迅速和预测”与“培训前、微调、微调”范式相比,取得了显著成就。在以快速为基础的GPT-3成功之后,一系列以隐蔽语言模式(MLM)为基础的隐蔽语言模式(例如BERT、ROBERTA)获得了流行和广泛使用。然而,另一个高效的事先培训前歧视模式(ELECTRA)或许被忽略了。在本文中,我们试图利用我们提议的替代象征性检测(RTD)的零发式快速学习方法,在零发式情景中完成几项NLP任务。实验结果显示,基于RTD-Prompt学习的ELTRA模式取得了惊人的零发效(例如BERT、ROBERTA)模式。与M-ROBERTA大和MM-M-BERT模型相比,我们的RTD-ELTRA-GA模型在所有15个任务中平均有8.4%和13.7 %的改进源。特别是在SST-2号任务中,在STRA-S-TA-S-S-SLSLA 之前的升级的测试中,任何可改进的RTRA-S-I-S-S-S-ID-S-S-S-S-S-I-I-S-S-I-S-S-S-I-S-SD-SD-S-I-SD-S-SD-SD-SD-SD-SD-SD-SD-SD-SD-SD-SD-SD-SB-S-S-S-SD-S-S-S-S-S-S-S-S-S-S-S-S-S-I-S-S-S-S-S-I-S-I-I-SD-SD-SD-C-SD-SD-SD-I-SD-S-S-SB-I-S-S-S-S-S-S-S-S-S-S-S-S-S-S-S-S-I-I-S-S-I-I-S-I-I-S

0
下载
关闭预览

相关内容

零样本文本分类,Zero-Shot Learning for Text Classification
专知会员服务
97+阅读 · 2020年5月31日
2019年机器学习框架回顾
专知会员服务
36+阅读 · 2019年10月11日
[综述]深度学习下的场景文本检测与识别
专知会员服务
78+阅读 · 2019年10月10日
机器学习入门的经验与建议
专知会员服务
94+阅读 · 2019年10月10日
【SIGGRAPH2019】TensorFlow 2.0深度学习计算机图形学应用
专知会员服务
41+阅读 · 2019年10月9日
【ICIG2021】Latest News & Announcements of the Workshop
中国图象图形学学会CSIG
0+阅读 · 2021年12月20日
【ICIG2021】Check out the hot new trailer of ICIG2021 Symposium9
中国图象图形学学会CSIG
0+阅读 · 2021年12月17日
【ICIG2021】Check out the hot new trailer of ICIG2021 Symposium8
中国图象图形学学会CSIG
0+阅读 · 2021年11月16日
【ICIG2021】Check out the hot new trailer of ICIG2021 Symposium6
中国图象图形学学会CSIG
2+阅读 · 2021年11月12日
【ICIG2021】Check out the hot new trailer of ICIG2021 Symposium5
中国图象图形学学会CSIG
1+阅读 · 2021年11月11日
【ICIG2021】Check out the hot new trailer of ICIG2021 Symposium4
中国图象图形学学会CSIG
0+阅读 · 2021年11月10日
【ICIG2021】Check out the hot new trailer of ICIG2021 Symposium2
中国图象图形学学会CSIG
0+阅读 · 2021年11月8日
【ICIG2021】Check out the hot new trailer of ICIG2021 Symposium1
中国图象图形学学会CSIG
0+阅读 · 2021年11月3日
Transferring Knowledge across Learning Processes
CreateAMind
29+阅读 · 2019年5月18日
A Technical Overview of AI & ML in 2018 & Trends for 2019
待字闺中
18+阅读 · 2018年12月24日
国家自然科学基金
0+阅读 · 2014年12月31日
国家自然科学基金
0+阅读 · 2014年12月31日
国家自然科学基金
0+阅读 · 2014年12月31日
国家自然科学基金
0+阅读 · 2014年12月31日
国家自然科学基金
0+阅读 · 2014年12月31日
国家自然科学基金
0+阅读 · 2013年12月31日
国家自然科学基金
1+阅读 · 2013年12月31日
国家自然科学基金
1+阅读 · 2013年12月31日
Arxiv
17+阅读 · 2021年2月15日
Arxiv
10+阅读 · 2017年7月4日
VIP会员
最新内容
BES:让语言模型通过双向进化搜索自我改进
专知会员服务
3+阅读 · 5月30日
以色列-美国-伊朗战争中的无人机:关键要点
专知会员服务
4+阅读 · 5月30日
《Palantir任务保障性软件安全标准(MA-S2)》
专知会员服务
10+阅读 · 5月30日
基于声学的无人机检测技术综述
专知会员服务
7+阅读 · 5月30日
《当代混合战争分析框架:俄乌战争经验教训》
战略前沿人工智能的再思考(中文)
专知会员服务
8+阅读 · 5月29日
《量化地基防空系统间接效应的博弈论方法》
专知会员服务
6+阅读 · 5月29日
相关资讯
【ICIG2021】Latest News & Announcements of the Workshop
中国图象图形学学会CSIG
0+阅读 · 2021年12月20日
【ICIG2021】Check out the hot new trailer of ICIG2021 Symposium9
中国图象图形学学会CSIG
0+阅读 · 2021年12月17日
【ICIG2021】Check out the hot new trailer of ICIG2021 Symposium8
中国图象图形学学会CSIG
0+阅读 · 2021年11月16日
【ICIG2021】Check out the hot new trailer of ICIG2021 Symposium6
中国图象图形学学会CSIG
2+阅读 · 2021年11月12日
【ICIG2021】Check out the hot new trailer of ICIG2021 Symposium5
中国图象图形学学会CSIG
1+阅读 · 2021年11月11日
【ICIG2021】Check out the hot new trailer of ICIG2021 Symposium4
中国图象图形学学会CSIG
0+阅读 · 2021年11月10日
【ICIG2021】Check out the hot new trailer of ICIG2021 Symposium2
中国图象图形学学会CSIG
0+阅读 · 2021年11月8日
【ICIG2021】Check out the hot new trailer of ICIG2021 Symposium1
中国图象图形学学会CSIG
0+阅读 · 2021年11月3日
Transferring Knowledge across Learning Processes
CreateAMind
29+阅读 · 2019年5月18日
A Technical Overview of AI & ML in 2018 & Trends for 2019
待字闺中
18+阅读 · 2018年12月24日
相关基金
国家自然科学基金
0+阅读 · 2014年12月31日
国家自然科学基金
0+阅读 · 2014年12月31日
国家自然科学基金
0+阅读 · 2014年12月31日
国家自然科学基金
0+阅读 · 2014年12月31日
国家自然科学基金
0+阅读 · 2014年12月31日
国家自然科学基金
0+阅读 · 2013年12月31日
国家自然科学基金
1+阅读 · 2013年12月31日
国家自然科学基金
1+阅读 · 2013年12月31日
Top
微信扫码咨询专知VIP会员