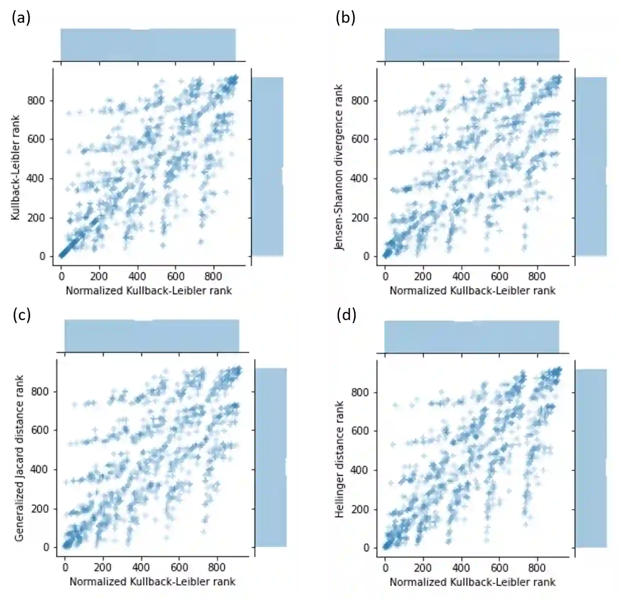
This work presents an upper-bound to value that the Kullback-Leibler (KL) divergence can reach for a class of probability distributions called quantum distributions (QD). The aim is to find a distribution $U$ which maximizes the KL divergence from a given distribution $P$ under the assumption that $P$ and $U$ have been generated by distributing a given discrete quantity, a quantum. Quantum distributions naturally represent a wide range of probability distributions that are used in practical applications. Moreover, such a class of distributions can be obtained as an approximation of any probability distribution. The retrieving of an upper-bound for the entropic divergence is here shown to be possible under the condition that the compared distributions are quantum distributions over the same quantum value, thus they become comparable. Thus, entropic divergence acquires a more powerful meaning when it is applied to comparable distributions. This aspect should be taken into account in future developments of divergences. The theoretical findings are used for proposing a notion of normalized KL divergence that is empirically shown to behave differently from already known measures.


翻译:这项工作呈现出一个上限值值, 即 Kullback- Leiber (KL) 差值对于被称为量子分布(QD) 的概率分布类别可能达到的值值值值。 目的是找到一个分配值美元, 使 KL 与给定分配值P美元的差异最大化, 前提是分配量( 量子) 和 美元是通过分配给定的离散数量( 量子) 产生的。 量子分布自然代表了实际应用中所使用的各种概率分布。 此外, 这种分配值类别可以作为任何概率分布的近似值获得。 这里显示, 在比较分配量分布为同一量值的量分布量分布因而变得可比的条件下, 收回一个上限值差异是可能的。 因此, 当对可比较的分布值应用到可比较的分布量值时, 则获得更强烈的含义。 这个问题应该在今后的差异发展中加以考虑。 理论结论用于提出一个标准化的 KL差值概念, 其经验表明, 与已知的措施不同。

0
下载
关闭预览

相关内容

因果图,Causal Graphs,52页ppt
专知会员服务
254+阅读 · 2020年4月19日
强化学习最新教程,17页pdf
专知会员服务
182+阅读 · 2019年10月11日
【哈佛大学商学院课程Fall 2019】机器学习可解释性
专知会员服务
105+阅读 · 2019年10月9日
MIT新书《强化学习与最优控制》
专知会员服务
282+阅读 · 2019年10月9日
meta learning 17年:MAML SNAIL
CreateAMind
11+阅读 · 2019年1月2日
Disentangled的假设的探讨
CreateAMind
9+阅读 · 2018年12月10日
disentangled-representation-papers
CreateAMind
26+阅读 · 2018年9月12日
Hierarchical Disentangled Representations
CreateAMind
4+阅读 · 2018年4月15日
条件GAN重大改进!cGANs with Projection Discriminator
CreateAMind
8+阅读 · 2018年2月7日
【论文】变分推断(Variational inference)的总结
机器学习研究会
39+阅读 · 2017年11月16日
Capsule Networks解析
机器学习研究会
11+阅读 · 2017年11月12日
Adversarial Variational Bayes: Unifying VAE and GAN 代码
CreateAMind
7+阅读 · 2017年10月4日
【推荐】决策树/随机森林深入解析
机器学习研究会
5+阅读 · 2017年9月21日
Auto-Encoding GAN
CreateAMind
7+阅读 · 2017年8月4日
Arxiv
0+阅读 · 2021年2月12日
VIP会员
最新内容
超越网格:作战环境对炮兵的影响
专知会员服务
1+阅读 · 今天15:35
KDD 2026 | MixRAGRec:面向LLM推荐的混合专家KG-RAG框架
BES:让语言模型通过双向进化搜索自我改进
专知会员服务
4+阅读 · 5月30日
以色列-美国-伊朗战争中的无人机:关键要点
专知会员服务
4+阅读 · 5月30日
《Palantir任务保障性软件安全标准(MA-S2)》
专知会员服务
14+阅读 · 5月30日
基于声学的无人机检测技术综述
专知会员服务
8+阅读 · 5月30日
《当代混合战争分析框架:俄乌战争经验教训》
相关VIP内容
因果图,Causal Graphs,52页ppt
专知会员服务
254+阅读 · 2020年4月19日
强化学习最新教程,17页pdf
专知会员服务
182+阅读 · 2019年10月11日
【哈佛大学商学院课程Fall 2019】机器学习可解释性
专知会员服务
105+阅读 · 2019年10月9日
MIT新书《强化学习与最优控制》
专知会员服务
282+阅读 · 2019年10月9日
相关资讯
meta learning 17年:MAML SNAIL
CreateAMind
11+阅读 · 2019年1月2日
Disentangled的假设的探讨
CreateAMind
9+阅读 · 2018年12月10日
disentangled-representation-papers
CreateAMind
26+阅读 · 2018年9月12日
Hierarchical Disentangled Representations
CreateAMind
4+阅读 · 2018年4月15日
条件GAN重大改进!cGANs with Projection Discriminator
CreateAMind
8+阅读 · 2018年2月7日
【论文】变分推断(Variational inference)的总结
机器学习研究会
39+阅读 · 2017年11月16日
Capsule Networks解析
机器学习研究会
11+阅读 · 2017年11月12日
Adversarial Variational Bayes: Unifying VAE and GAN 代码
CreateAMind
7+阅读 · 2017年10月4日
【推荐】决策树/随机森林深入解析
机器学习研究会
5+阅读 · 2017年9月21日
Auto-Encoding GAN
CreateAMind
7+阅读 · 2017年8月4日
Top
微信扫码咨询专知VIP会员