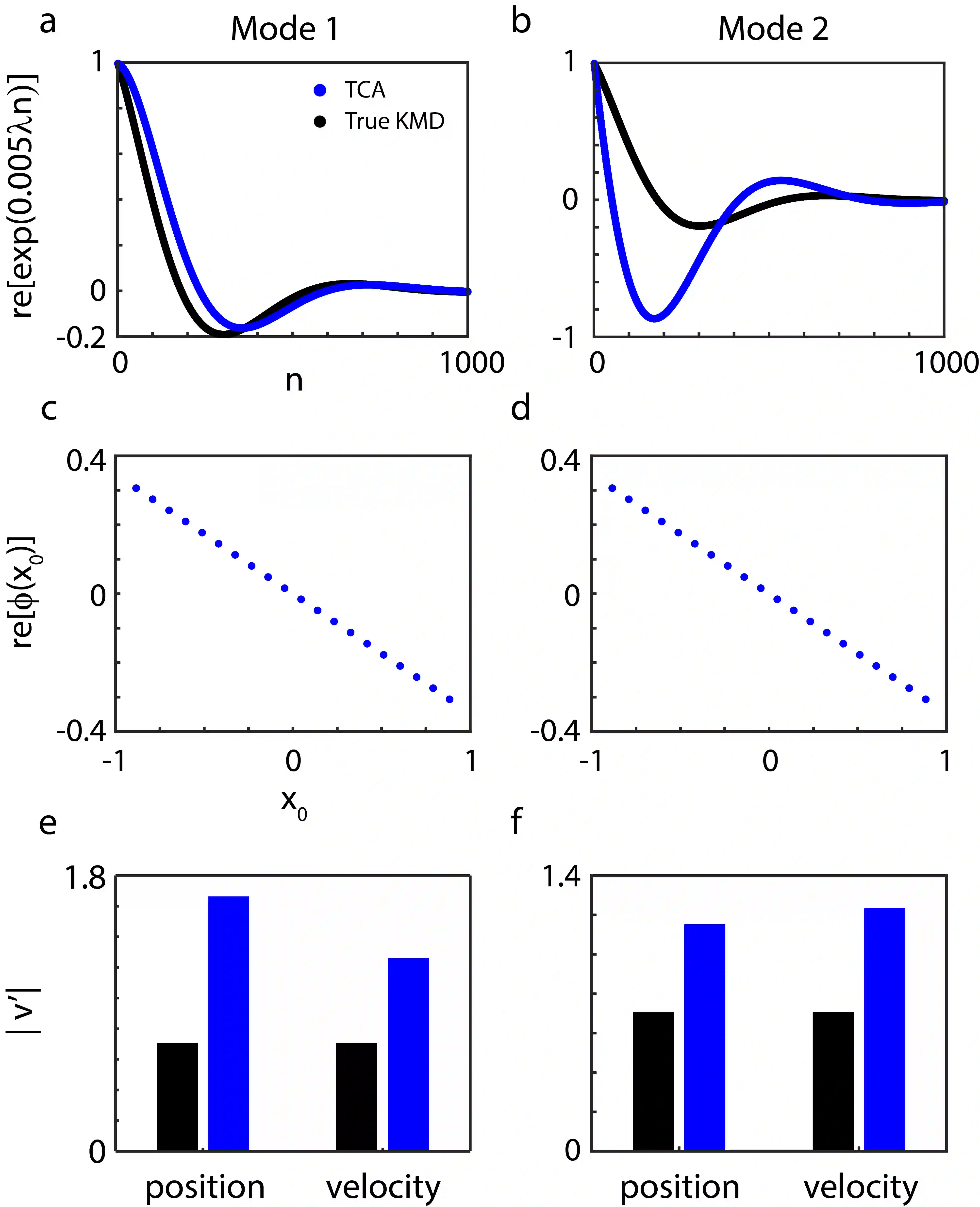
Koopman mode decomposition and tensor component analysis (also known as CANDECOMP/PARAFAC or canonical polyadic decomposition) are two popular approaches of decomposing high dimensional data sets into low dimensional modes that capture the most relevant features and/or dynamics. Despite their similar goal, the two methods are largely used by different scientific communities and formulated in distinct mathematical languages. We examine the two together and show that, under a certain (reasonable) condition on the data, the theoretical decomposition given by tensor component analysis is the \textit{same} as that given by Koopman mode decomposition. This provides a "bridge" with which the two communities should be able to more effectively communicate. When this condition is not met, Koopman mode decomposition still provides a tensor decomposition with an \textit{a priori} computable error, providing an alternative to the non-convex optimization that tensor component analysis requires. Our work provides new possibilities for algorithmic approaches to Koopman mode decomposition and tensor component analysis, provides a new perspective on the success of tensor component analysis, and builds upon a growing body of work showing that dynamical systems, and Koopman operator theory in particular, can be useful for problems that have historically made use of optimization theory.


翻译:Koopman 模式分解尽管目标相似,但两种方法大多由不同的科学界使用,并且以不同的数学语言制定。我们一起研究这两种方法,并表明,在数据某种(合理)条件下, Exor 组件分析给出的理论分解是Koopman 模式分解所给出的\ textit{same}。这提供了将高维数据集分解成低维模式的两种流行方法,即将高维数据集分解成能够捕捉最相关特征和/或动态的低维模式。尽管其目标相似,但这两种方法大多由不同的科学界使用,并以不同的数学语言制定。我们一起研究这两种方法,并表明,在数据分析的某种(合理)条件下, 高压组件分析给出的理论分解为Koopman 模式拆解和高压组件拆解提供了新的算方法。这为两个社区提供了一种“连接”方法,可以更有效地进行交流。在不满足这一条件时,Koopman 模式分解模式的“连接”, 提供了一种新的理论, 也就是对高压系统的成功性分析的理论, 能够形成一种动态的理论,, 使高压系统在不断的系统上展示成型分析中不断形成的理论, 能够形成一个动态的理论, 成为一种动态的理论。

0
下载
关闭预览

相关内容

专知会员服务
52+阅读 · 2020年12月14日
Linux导论,Introduction to Linux,96页ppt
专知会员服务
82+阅读 · 2020年7月26日
商业数据分析,39页ppt
专知会员服务
165+阅读 · 2020年6月2日
【陈天奇】TVM:端到端自动深度学习编译器,244页ppt
专知会员服务
87+阅读 · 2020年5月11日
【SIGGRAPH2019】TensorFlow 2.0深度学习计算机图形学应用
专知会员服务
41+阅读 · 2019年10月9日
已删除
将门创投
3+阅读 · 2020年8月3日
Hierarchically Structured Meta-learning
CreateAMind
27+阅读 · 2019年5月22日
Unsupervised Learning via Meta-Learning
CreateAMind
44+阅读 · 2019年1月3日
A Technical Overview of AI & ML in 2018 & Trends for 2019
待字闺中
18+阅读 · 2018年12月24日
Disentangled的假设的探讨
CreateAMind
9+阅读 · 2018年12月10日
笔记 | Sentiment Analysis
黑龙江大学自然语言处理实验室
10+阅读 · 2018年5月6日
Hierarchical Disentangled Representations
CreateAMind
4+阅读 · 2018年4月15日
【计算机类】期刊专刊/国际会议截稿信息6条
Call4Papers
3+阅读 · 2017年10月13日
【推荐】SVM实例教程
机器学习研究会
17+阅读 · 2017年8月26日
【今日新增】IEEE Trans.专刊截稿信息8条
Call4Papers
7+阅读 · 2017年6月29日
Arxiv
0+阅读 · 2021年3月30日
Physical Primitive Decomposition
Arxiv
4+阅读 · 2018年9月13日
VIP会员
最新内容
2026“人工智能+”行业发展蓝皮书(附下载)
专知会员服务
8+阅读 · 4月26日
《强化学习数学基础》
专知会员服务
5+阅读 · 4月26日
“Maven计划”的发展演变之“Maven智能系统”应用
《无人机革命:来自俄乌战场的启示》(报告)
《实现联合作战能力所需的技术》58页报告
专知会员服务
7+阅读 · 4月26日
以色列运用人工智能优化空袭警报系统
专知会员服务
5+阅读 · 4月26日
以色列在多条战线部署AI智能体
专知会员服务
7+阅读 · 4月26日
相关资讯
已删除
将门创投
3+阅读 · 2020年8月3日
Hierarchically Structured Meta-learning
CreateAMind
27+阅读 · 2019年5月22日
Unsupervised Learning via Meta-Learning
CreateAMind
44+阅读 · 2019年1月3日
A Technical Overview of AI & ML in 2018 & Trends for 2019
待字闺中
18+阅读 · 2018年12月24日
Disentangled的假设的探讨
CreateAMind
9+阅读 · 2018年12月10日
笔记 | Sentiment Analysis
黑龙江大学自然语言处理实验室
10+阅读 · 2018年5月6日
Hierarchical Disentangled Representations
CreateAMind
4+阅读 · 2018年4月15日
【计算机类】期刊专刊/国际会议截稿信息6条
Call4Papers
3+阅读 · 2017年10月13日
【推荐】SVM实例教程
机器学习研究会
17+阅读 · 2017年8月26日
【今日新增】IEEE Trans.专刊截稿信息8条
Call4Papers
7+阅读 · 2017年6月29日
Top
微信扫码咨询专知VIP会员