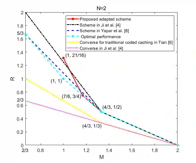
In device-to-device (D2D) coded caching problems, it is possible that not all users will make file requests in the delivery phase. Hence, we propose a new D2D centralized coded caching problem, named the 3-user D2D coded caching with two random requesters and one sender (2RR1S), where in the delivery phase, any two of the three users will make file requests, and the user that does not make any file request is the designated sender. We find the optimal caching and delivery scheme, denoted as the 2RRIS scheme, for any number of files N by proving matching converse and achievability results. It is shown that coded cache placement is needed to achieve the optimal performance. Furthermore, the optimal rate-memory tradeoff has a uniform expression for N>=4 and different expressions for N=2 and 3. To examine the usefulness of the proposed model and scheme, we adapt the 2RR1S scheme to two scenarios. The first one is the 3-user D2D coded caching model proposed by Ji et al. By characterizing the optimal rate-memory tradeoff for the 3-user D2D coded caching when N=2, which was previously unknown, we show that the adapted 2RR1S scheme is in fact optimal for the 3-user D2D coded caching problem when N=2 and the cache size is medium. The benefit comes from coded cache placement which is missing from existing D2D coded caching schemes. The second scenario is where in the delivery phase, each user makes a file request randomly and independently with the same probability p. We call this model the request-random D2D coded caching problem. Adapting the 2RR1S scheme to this scenario, we show the superiority of our adapted scheme over other existing D2D coded caching schemes for medium to large cache size.


翻译:在设备到设备(D2D)编码缓存问题中,传输阶段可能出现部分用户不发起文件请求的情况。为此,我们提出了一种新型D2D集中式编码缓存问题,称为“两随机请求者与一发送者的三用户D2D编码缓存”(2RR1S),其中传输阶段任意两名用户发起文件请求,不发起请求的用户被指定为发送方。我们通过匹配的对偶性证明与可达性结果,针对任意文件数N,定义了该问题的最优缓存与传输方案——2RR1S方案。研究表明,实现最优性能需要编码缓存放置策略。此外,最优速率-内存折衷关系在N≥4时具有统一表达式,而在N=2和3时呈现不同形式。为验证所提模型与方案的实用性,我们将2RR1S方案适配至两种场景。第一种是Ji等人提出的三用户D2D编码缓存模型。通过刻画N=2时该模型此前未知的最优速率-内存折衷关系,我们证明了适配后的2RR1S方案在缓存容量适中时对N=2的三用户D2D编码缓存问题具有最优性,其优势源于现有D2D编码缓存方案所缺乏的编码缓存放置策略。第二种场景中,传输阶段每位用户以相同概率p随机且独立地发起文件请求,我们将此模型称为“请求随机D2D编码缓存问题”。通过将2RR1S方案适配至该场景,我们证明了适配方案在中大缓存容量条件下优于现有D2D编码缓存方案。

0
下载
关闭预览

相关内容

专知会员服务
46+阅读 · 2020年10月31日
专知会员服务
124+阅读 · 2020年9月8日
100+篇《自监督学习(Self-Supervised Learning)》论文最新合集
专知会员服务
167+阅读 · 2020年3月18日
强化学习最新教程,17页pdf
专知会员服务
182+阅读 · 2019年10月11日
[综述]深度学习下的场景文本检测与识别
专知会员服务
78+阅读 · 2019年10月10日
【SIGGRAPH2019】TensorFlow 2.0深度学习计算机图形学应用
专知会员服务
41+阅读 · 2019年10月9日
Hierarchically Structured Meta-learning
CreateAMind
27+阅读 · 2019年5月22日
Transferring Knowledge across Learning Processes
CreateAMind
29+阅读 · 2019年5月18日
强化学习的Unsupervised Meta-Learning
CreateAMind
18+阅读 · 2019年1月7日
Unsupervised Learning via Meta-Learning
CreateAMind
44+阅读 · 2019年1月3日
A Technical Overview of AI & ML in 2018 & Trends for 2019
待字闺中
18+阅读 · 2018年12月24日
LibRec 精选:推荐系统的论文与源码
LibRec智能推荐
14+阅读 · 2018年11月29日
【推荐】MXNet深度情感分析实战
机器学习研究会
16+阅读 · 2017年10月4日
【推荐】深度学习目标检测全面综述
机器学习研究会
21+阅读 · 2017年9月13日
国家自然科学基金
0+阅读 · 2014年12月31日
国家自然科学基金
0+阅读 · 2014年12月31日
国家自然科学基金
0+阅读 · 2013年12月31日
国家自然科学基金
0+阅读 · 2013年12月31日
国家自然科学基金
0+阅读 · 2012年12月31日
国家自然科学基金
0+阅读 · 2012年12月31日
国家自然科学基金
0+阅读 · 2009年12月31日
国家自然科学基金
0+阅读 · 2008年12月31日
Arxiv
0+阅读 · 2023年6月8日
Arxiv
0+阅读 · 2023年6月6日
Arxiv
0+阅读 · 2023年6月6日
VIP会员
最新内容
超越网格:作战环境对炮兵的影响
专知会员服务
1+阅读 · 今天15:35
KDD 2026 | MixRAGRec:面向LLM推荐的混合专家KG-RAG框架
BES:让语言模型通过双向进化搜索自我改进
专知会员服务
4+阅读 · 5月30日
以色列-美国-伊朗战争中的无人机:关键要点
专知会员服务
4+阅读 · 5月30日
《Palantir任务保障性软件安全标准(MA-S2)》
专知会员服务
14+阅读 · 5月30日
基于声学的无人机检测技术综述
专知会员服务
8+阅读 · 5月30日
《当代混合战争分析框架:俄乌战争经验教训》
相关VIP内容
专知会员服务
46+阅读 · 2020年10月31日
专知会员服务
124+阅读 · 2020年9月8日
100+篇《自监督学习(Self-Supervised Learning)》论文最新合集
专知会员服务
167+阅读 · 2020年3月18日
强化学习最新教程,17页pdf
专知会员服务
182+阅读 · 2019年10月11日
[综述]深度学习下的场景文本检测与识别
专知会员服务
78+阅读 · 2019年10月10日
【SIGGRAPH2019】TensorFlow 2.0深度学习计算机图形学应用
专知会员服务
41+阅读 · 2019年10月9日
相关资讯
Hierarchically Structured Meta-learning
CreateAMind
27+阅读 · 2019年5月22日
Transferring Knowledge across Learning Processes
CreateAMind
29+阅读 · 2019年5月18日
强化学习的Unsupervised Meta-Learning
CreateAMind
18+阅读 · 2019年1月7日
Unsupervised Learning via Meta-Learning
CreateAMind
44+阅读 · 2019年1月3日
A Technical Overview of AI & ML in 2018 & Trends for 2019
待字闺中
18+阅读 · 2018年12月24日
LibRec 精选:推荐系统的论文与源码
LibRec智能推荐
14+阅读 · 2018年11月29日
【推荐】MXNet深度情感分析实战
机器学习研究会
16+阅读 · 2017年10月4日
【推荐】深度学习目标检测全面综述
机器学习研究会
21+阅读 · 2017年9月13日
相关基金
国家自然科学基金
0+阅读 · 2014年12月31日
国家自然科学基金
0+阅读 · 2014年12月31日
国家自然科学基金
0+阅读 · 2013年12月31日
国家自然科学基金
0+阅读 · 2013年12月31日
国家自然科学基金
0+阅读 · 2012年12月31日
国家自然科学基金
0+阅读 · 2012年12月31日
国家自然科学基金
0+阅读 · 2009年12月31日
国家自然科学基金
0+阅读 · 2008年12月31日
Top
微信扫码咨询专知VIP会员