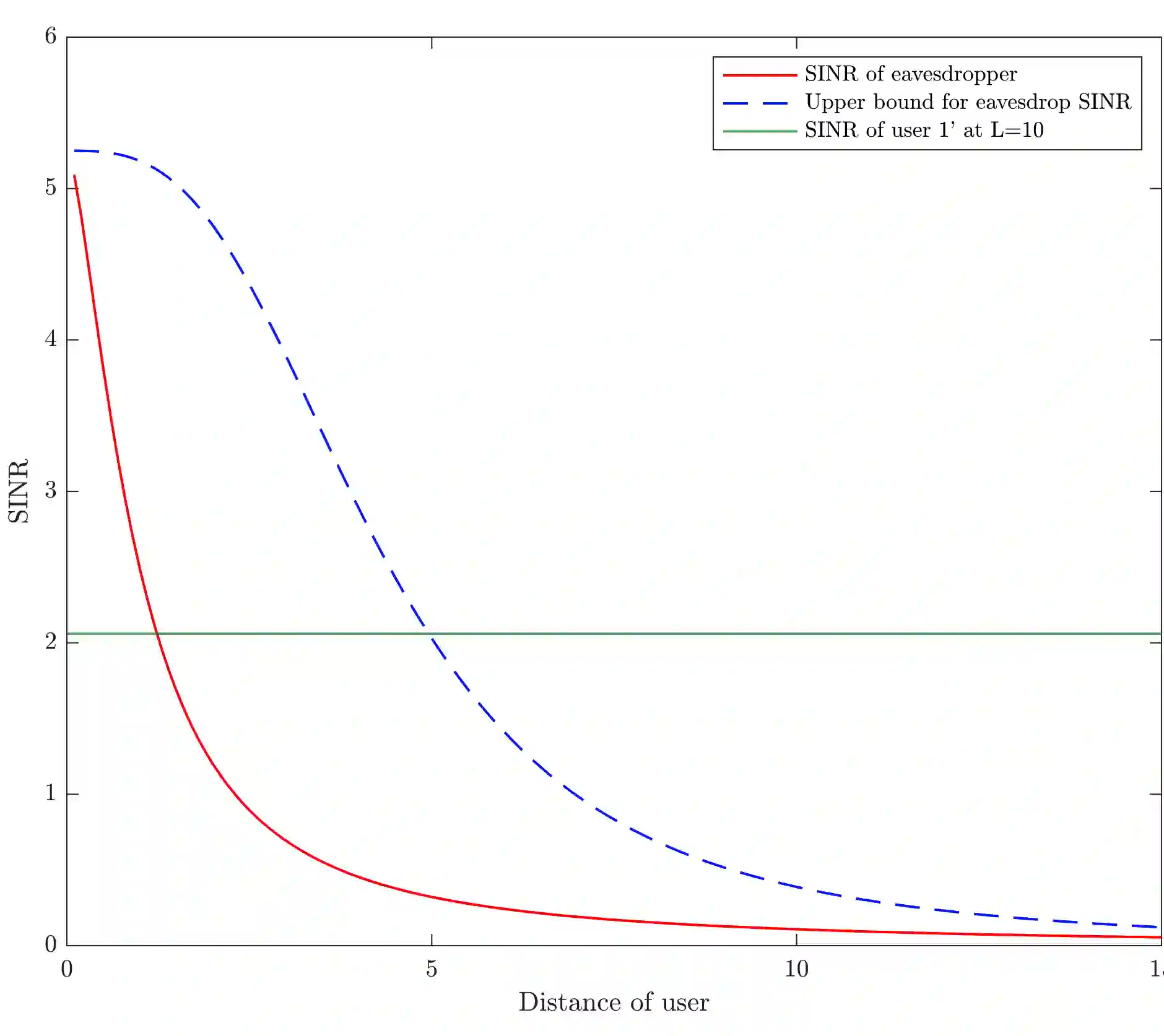
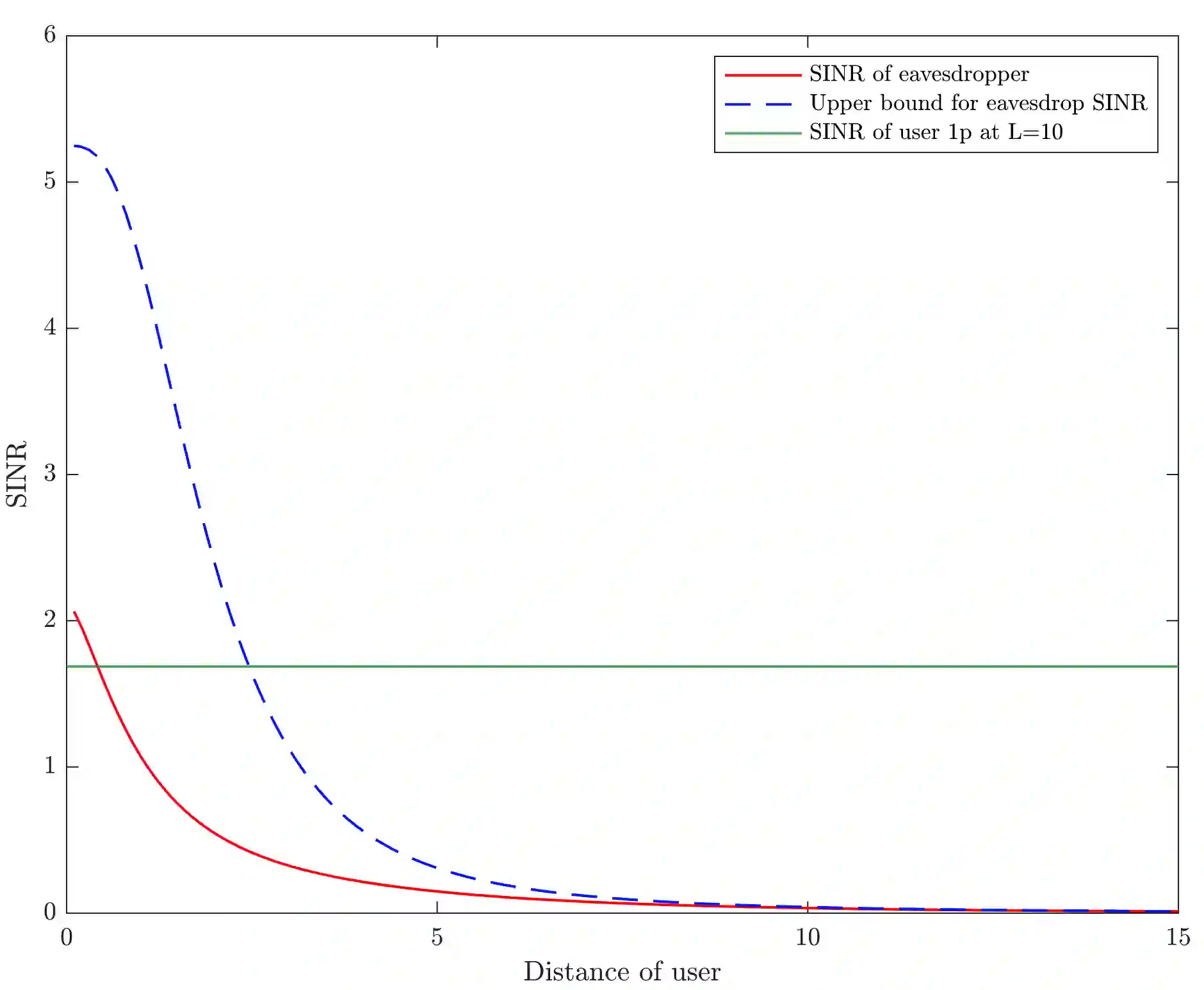
Non-Orthogonal Multiple Access (NOMA) is a multiplexing technique for future wireless, which when combined with Multiple-Input Multiple-Output (MIMO) unlocks higher capacities for systems where users have varying channel strength. NOMA utilises the channel differences to increase the throughput, while MIMO exploits the additional degrees of freedom (DoF) to enhance this. This work analyses the secrecy capacity, demonstrating the robustness of a combined MIMO-NOMA scheme at physical layer, when in the presence of a passive eavesdropper. We present bounds on the eavesdropper performance and show heuristically that, as the number of users and antennas increases, the eavesdropper's SINR becomes small, regardless of how `lucky' they may be with their channel.


翻译:非正统多重存取(NOMA)是未来无线的多轴技术,如果与多输入多输出输出(MIMO)相结合,就能为用户具有不同频道强度的系统打开更高的能力。诺马(NOMA)利用频道差异来增加输送量,而莫马(DOF)则利用更多自由度(DoF)来增强这种能力。这项工作分析保密能力,在有被动窃听器在场的情况下,在物理层显示混合的MIMO-NOMA(MIMO-NOMA)机制的稳健性。 我们展示了窃听器的性能,并高度地显示,随着用户和天线数量的增加,窃听器的SINR变小了,不管它们与频道的关系有多“幸运 ” 。

0
下载
关闭预览

相关内容

专知会员服务
26+阅读 · 2021年4月2日
Keras François Chollet 《Deep Learning with Python 》, 386页pdf
专知会员服务
164+阅读 · 2019年10月12日
强化学习最新教程,17页pdf
专知会员服务
182+阅读 · 2019年10月11日
CCF推荐 | 国际会议信息6条
Call4Papers
9+阅读 · 2019年8月13日
计算机 | IUI 2020等国际会议信息4条
Call4Papers
6+阅读 · 2019年6月17日
Transferring Knowledge across Learning Processes
CreateAMind
29+阅读 · 2019年5月18日
IEEE | DSC 2019诚邀稿件 (EI检索)
Call4Papers
10+阅读 · 2019年2月25日
Unsupervised Learning via Meta-Learning
CreateAMind
44+阅读 · 2019年1月3日
A Technical Overview of AI & ML in 2018 & Trends for 2019
待字闺中
18+阅读 · 2018年12月24日
Hierarchical Disentangled Representations
CreateAMind
4+阅读 · 2018年4月15日
计算机类 | 国际会议信息7条
Call4Papers
3+阅读 · 2017年11月17日
【学习】Hierarchical Softmax
机器学习研究会
4+阅读 · 2017年8月6日
【今日新增】IEEE Trans.专刊截稿信息8条
Call4Papers
7+阅读 · 2017年6月29日
Meta-Learning with Implicit Gradients
Arxiv
13+阅读 · 2019年9月10日
Generalization and Regularization in DQN
Arxiv
6+阅读 · 2019年1月30日
VIP会员
最新内容
《美陆军条例:陆军指挥政策(2026版)》
专知会员服务
10+阅读 · 4月21日
《军用自主人工智能系统的治理与安全》
专知会员服务
6+阅读 · 4月21日
《系统簇式多域作战规划范畴论框架》
专知会员服务
10+阅读 · 4月20日
高效视频扩散模型:进展与挑战
专知会员服务
5+阅读 · 4月20日
乌克兰前线的五项创新
专知会员服务
8+阅读 · 4月20日
 军事通信系统与设备的技术演进综述
专知会员服务
8+阅读 · 4月20日
《北约标准:医疗评估手册》174页
专知会员服务
6+阅读 · 4月20日
相关资讯
CCF推荐 | 国际会议信息6条
Call4Papers
9+阅读 · 2019年8月13日
计算机 | IUI 2020等国际会议信息4条
Call4Papers
6+阅读 · 2019年6月17日
Transferring Knowledge across Learning Processes
CreateAMind
29+阅读 · 2019年5月18日
IEEE | DSC 2019诚邀稿件 (EI检索)
Call4Papers
10+阅读 · 2019年2月25日
Unsupervised Learning via Meta-Learning
CreateAMind
44+阅读 · 2019年1月3日
A Technical Overview of AI & ML in 2018 & Trends for 2019
待字闺中
18+阅读 · 2018年12月24日
Hierarchical Disentangled Representations
CreateAMind
4+阅读 · 2018年4月15日
计算机类 | 国际会议信息7条
Call4Papers
3+阅读 · 2017年11月17日
【学习】Hierarchical Softmax
机器学习研究会
4+阅读 · 2017年8月6日
【今日新增】IEEE Trans.专刊截稿信息8条
Call4Papers
7+阅读 · 2017年6月29日
Top
微信扫码咨询专知VIP会员