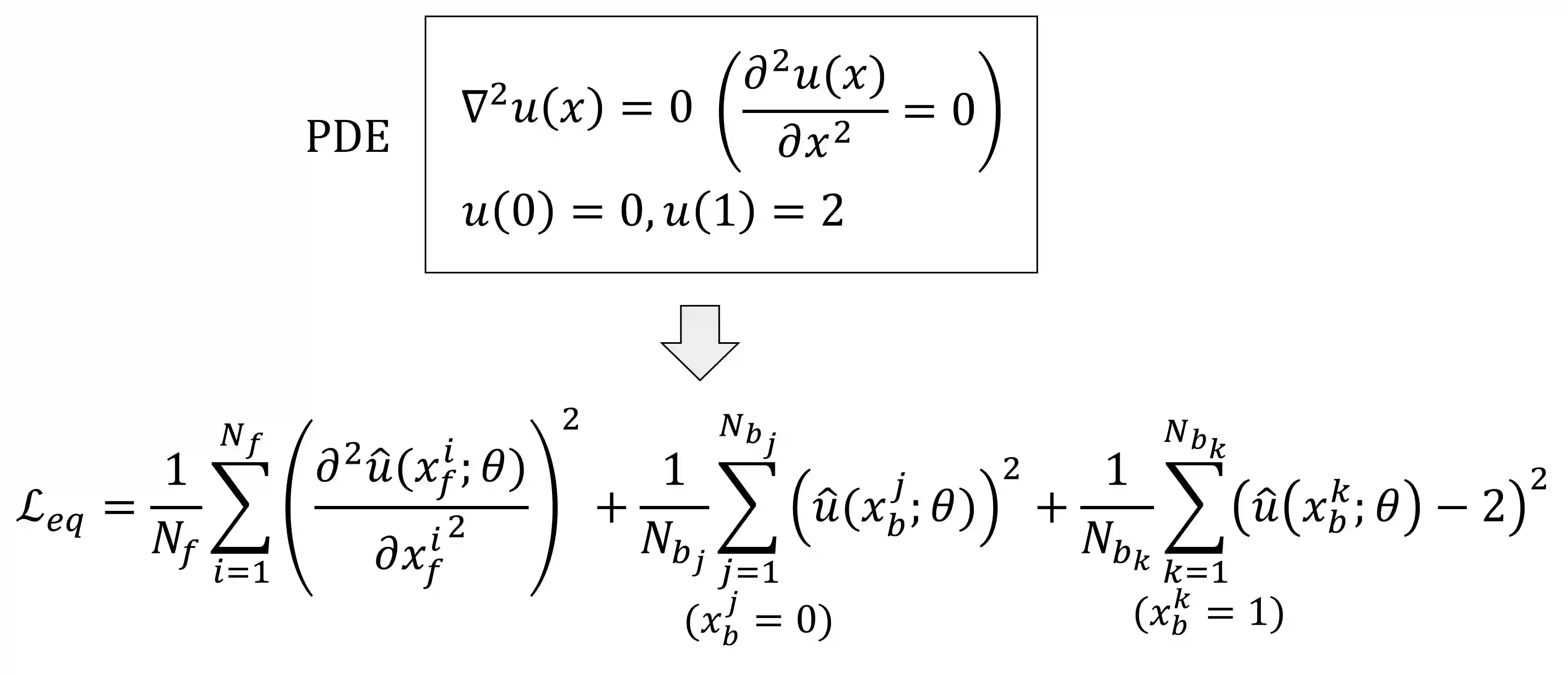
Recently, researchers have utilized neural networks to accurately solve partial differential equations (PDEs), enabling the mesh-free method for scientific computation. Unfortunately, the network performance drops when encountering a high nonlinearity domain. To improve the generalizability, we introduce the novel approach of employing multi-task learning techniques, the uncertainty-weighting loss and the gradients surgery, in the context of learning PDE solutions. The multi-task scheme exploits the benefits of learning shared representations, controlled by cross-stitch modules, between multiple related PDEs, which are obtainable by varying the PDE parameterization coefficients, to generalize better on the original PDE. Encouraging the network pay closer attention to the high nonlinearity domain regions that are more challenging to learn, we also propose adversarial training for generating supplementary high-loss samples, similarly distributed to the original training distribution. In the experiments, our proposed methods are found to be effective and reduce the error on the unseen data points as compared to the previous approaches in various PDE examples, including high-dimensional stochastic PDEs.


翻译:最近,研究人员利用神经网络准确解决部分差异方程式(PDEs),使无网状科学计算方法得以实现。不幸的是,当遇到高非线性域时,网络性能下降。为了改进一般性,我们在学习PDE解决方案的背景下,引入了采用多任务学习技术、不确定性加权损失和梯度外科手术的新方法。多任务计划利用了学习由交叉切入模块控制的多相关PDEs之间共享演示的优势,而多相关PDEs可以通过不同的PDE参数化系数获得,从而更好地普及原PDE。鼓励网络更密切地关注更难于学习的高非线性域域域区。我们还建议进行对抗性培训,以产生补充性高损失样本,类似地分配给最初的培训分布。在实验中,我们提出的方法被认为有效,并减少了与以往各种PDE实例中的方法相比,包括高维度随机PDEPDE中的数据点的错误。

0
下载
关闭预览

相关内容

专知会员服务
54+阅读 · 2020年11月3日
【斯坦福大学】Gradient Surgery for Multi-Task Learning
专知会员服务
47+阅读 · 2020年1月23日
专知会员服务
119+阅读 · 2019年12月24日
强化学习最新教程,17页pdf
专知会员服务
182+阅读 · 2019年10月11日
GAN新书《生成式深度学习》,Generative Deep Learning,379页pdf
专知会员服务
208+阅读 · 2019年9月30日
Multi-Task Learning的几篇综述文章
深度学习自然语言处理
15+阅读 · 2020年6月15日
Hierarchically Structured Meta-learning
CreateAMind
27+阅读 · 2019年5月22日
Transferring Knowledge across Learning Processes
CreateAMind
29+阅读 · 2019年5月18日
19篇ICML2019论文摘录选读!
专知
28+阅读 · 2019年4月28日
逆强化学习-学习人先验的动机
CreateAMind
16+阅读 · 2019年1月18日
Unsupervised Learning via Meta-Learning
CreateAMind
44+阅读 · 2019年1月3日
meta learning 17年:MAML SNAIL
CreateAMind
11+阅读 · 2019年1月2日
Disentangled的假设的探讨
CreateAMind
9+阅读 · 2018年12月10日
Hierarchical Imitation - Reinforcement Learning
CreateAMind
19+阅读 · 2018年5月25日
Arxiv
8+阅读 · 2018年5月21日
Arxiv
5+阅读 · 2018年5月21日
VIP会员
最新内容
大语言模型平台在国防情报应用中的对比
专知会员服务
1+阅读 · 今天3:12
美海军“超配项目”
专知会员服务
1+阅读 · 今天2:13
《美陆军条例:陆军指挥政策(2026版)》
专知会员服务
10+阅读 · 4月21日
《军用自主人工智能系统的治理与安全》
专知会员服务
7+阅读 · 4月21日
《系统簇式多域作战规划范畴论框架》
专知会员服务
10+阅读 · 4月20日
相关资讯
Multi-Task Learning的几篇综述文章
深度学习自然语言处理
15+阅读 · 2020年6月15日
Hierarchically Structured Meta-learning
CreateAMind
27+阅读 · 2019年5月22日
Transferring Knowledge across Learning Processes
CreateAMind
29+阅读 · 2019年5月18日
19篇ICML2019论文摘录选读!
专知
28+阅读 · 2019年4月28日
逆强化学习-学习人先验的动机
CreateAMind
16+阅读 · 2019年1月18日
Unsupervised Learning via Meta-Learning
CreateAMind
44+阅读 · 2019年1月3日
meta learning 17年:MAML SNAIL
CreateAMind
11+阅读 · 2019年1月2日
Disentangled的假设的探讨
CreateAMind
9+阅读 · 2018年12月10日
Hierarchical Imitation - Reinforcement Learning
CreateAMind
19+阅读 · 2018年5月25日
Top
微信扫码咨询专知VIP会员