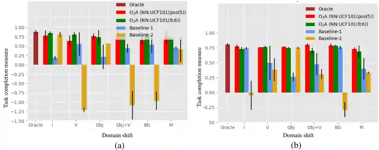
We present O2A, a novel method for learning to perform robotic manipulation tasks from a single (one-shot) third-person demonstration video. To our knowledge, it is the first time this has been done for a single demonstration. The key novelty lies in pre-training a feature extractor for creating a perceptual representation for actions that we call 'action vectors'. The action vectors are extracted using a 3D-CNN model pre-trained as an action classifier on a generic action dataset. The distance between the action vectors from the observed third-person demonstration and trial robot executions is used as a reward for reinforcement learning of the demonstrated task. We report on experiments in simulation and on a real robot, with changes in viewpoint of observation, properties of the objects involved, scene background and morphology of the manipulator between the demonstration and the learning domains. O2A outperforms baseline approaches under different domain shifts and has comparable performance with an oracle (that uses an ideal reward function).


翻译:我们从一个单一的(一发)第三人演示录像中展示了O2A,这是学习执行机器人操纵任务的一种新颖方法。 据我们所知,这是第一次对一个演示进行这样的演示。关键的新颖之处在于对一个为我们称之为“动作矢量”的行动创建概念性代表器进行预培训。动作矢量的提取使用了3D-CNN模型,这是在通用动作数据集上作为行动分类员预先训练过的。观察到的第三人演示和试验机器人处决的动作矢量之间的距离被用来作为奖励,以加强对所展示的任务的学习。我们报告模拟实验和真正的机器人实验,在观察角度、所涉物体特性、场景背景和操控者形态方面的变化,在演示和学习领域之间。O2A在不同的领域变化下优于基线方法,其性能与甲骨文(使用理想的奖励功能)相似。

1
下载
关闭预览

相关内容

商业数据分析,39页ppt
专知会员服务
165+阅读 · 2020年6月2日
零样本文本分类,Zero-Shot Learning for Text Classification
专知会员服务
97+阅读 · 2020年5月31日
【强化学习资源集合】Awesome Reinforcement Learning
专知会员服务
98+阅读 · 2019年12月23日
Stabilizing Transformers for Reinforcement Learning
专知会员服务
60+阅读 · 2019年10月17日
强化学习最新教程,17页pdf
专知会员服务
182+阅读 · 2019年10月11日
Transferring Knowledge across Learning Processes
CreateAMind
29+阅读 · 2019年5月18日
动物脑的好奇心和强化学习的好奇心
CreateAMind
10+阅读 · 2019年1月26日
强化学习的Unsupervised Meta-Learning
CreateAMind
18+阅读 · 2019年1月7日
Unsupervised Learning via Meta-Learning
CreateAMind
44+阅读 · 2019年1月3日
meta learning 17年:MAML SNAIL
CreateAMind
11+阅读 · 2019年1月2日
RL 真经
CreateAMind
6+阅读 · 2018年12月28日
A Technical Overview of AI & ML in 2018 & Trends for 2019
待字闺中
18+阅读 · 2018年12月24日
Hierarchical Imitation - Reinforcement Learning
CreateAMind
19+阅读 · 2018年5月25日
强化学习族谱
CreateAMind
26+阅读 · 2017年8月2日
强化学习 cartpole_a3c
CreateAMind
9+阅读 · 2017年7月21日
Learning to See Through Obstructions
Arxiv
7+阅读 · 2020年4月2日
Arxiv
7+阅读 · 2018年12月26日
VIP会员
最新内容
“Maven计划”的发展演变之“Maven智能系统”应用
《无人机革命:来自俄乌战场的启示》(报告)
专知会员服务
5+阅读 · 今天6:48
《实现联合作战能力所需的技术》58页报告
专知会员服务
2+阅读 · 今天6:30
以色列运用人工智能优化空袭警报系统
专知会员服务
3+阅读 · 今天6:20
以色列在多条战线部署AI智能体
专知会员服务
4+阅读 · 今天6:12
2025年大语言模型进展报告
专知会员服务
19+阅读 · 4月25日
多智能体协作机制
专知会员服务
15+阅读 · 4月25日
相关VIP内容
商业数据分析,39页ppt
专知会员服务
165+阅读 · 2020年6月2日
零样本文本分类,Zero-Shot Learning for Text Classification
专知会员服务
97+阅读 · 2020年5月31日
【强化学习资源集合】Awesome Reinforcement Learning
专知会员服务
98+阅读 · 2019年12月23日
Stabilizing Transformers for Reinforcement Learning
专知会员服务
60+阅读 · 2019年10月17日
强化学习最新教程,17页pdf
专知会员服务
182+阅读 · 2019年10月11日
相关资讯
Transferring Knowledge across Learning Processes
CreateAMind
29+阅读 · 2019年5月18日
动物脑的好奇心和强化学习的好奇心
CreateAMind
10+阅读 · 2019年1月26日
强化学习的Unsupervised Meta-Learning
CreateAMind
18+阅读 · 2019年1月7日
Unsupervised Learning via Meta-Learning
CreateAMind
44+阅读 · 2019年1月3日
meta learning 17年:MAML SNAIL
CreateAMind
11+阅读 · 2019年1月2日
RL 真经
CreateAMind
6+阅读 · 2018年12月28日
A Technical Overview of AI & ML in 2018 & Trends for 2019
待字闺中
18+阅读 · 2018年12月24日
Hierarchical Imitation - Reinforcement Learning
CreateAMind
19+阅读 · 2018年5月25日
强化学习族谱
CreateAMind
26+阅读 · 2017年8月2日
强化学习 cartpole_a3c
CreateAMind
9+阅读 · 2017年7月21日
Top
微信扫码咨询专知VIP会员